所属成套资源:高一化学月考期中期末阶段性考试汇总专辑
青海省西宁市海湖中学2024-2025学年高一上学期第一阶段测试化学试卷pdf
展开这是一份青海省西宁市海湖中学2024-2025学年高一上学期第一阶段测试化学试卷pdf,文件包含高一化学pdf、高一化学答案-副本docx等2份试卷配套教学资源,其中试卷共5页, 欢迎下载使用。
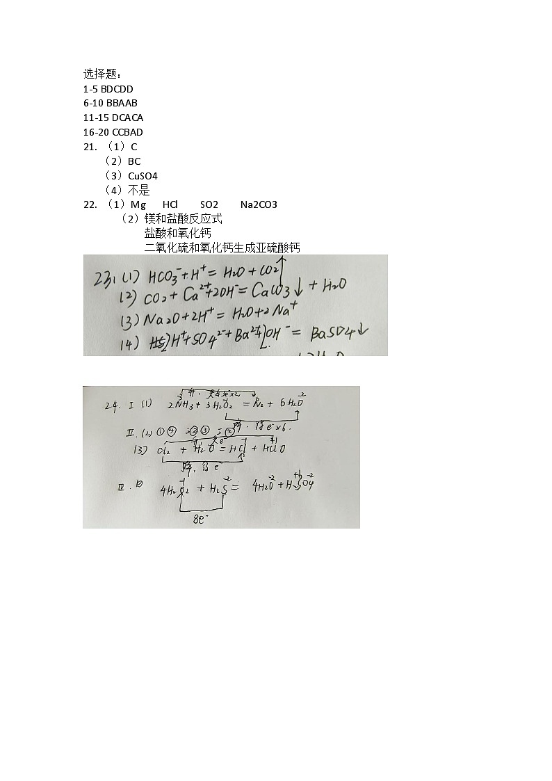
6-10 BBAAB
11-15 DCACA
16-20 CCBAD
21. (1)C
(2)BC
(3)CuSO4
(4)不是
22. (1)Mg HCl SO2 Na2CO3
(2)镁和盐酸反应式
盐酸和氧化钙
二氧化硫和氧化钙生成亚硫酸钙
相关试卷
这是一份青海省西宁市海湖中学2024~2025学年高二上学期第一阶段测试月考化学试题(含答案),共12页。
这是一份青海省西宁市城西区海湖中学2023学年高考考前模拟化学试题(含解析),共28页。
这是一份青海省西宁市城西区海湖中学2023学年高考考前模拟化学试题(含解析),共28页。

