江苏省南通市2025届高三上学期九月份调研测试 数学试题(含解析)
展开
这是一份江苏省南通市2025届高三上学期九月份调研测试 数学试题(含解析),文件包含江苏省南通市2025届高三九月份调研考试数学试题docx、答案pdf等2份试卷配套教学资源,其中试卷共17页, 欢迎下载使用。
一、选择题:本题共8小题,每小题5分,共40分。在每小题给出的四个选项中,只有一项是符合题目要求的。
已知集合,,则( )
A.B.C.D.
2.已知命题,;命题,,则( )
A.P和q都是真命题B.和q都是真命题
C.P和都是真命题D.和都是真命题
函数在区间的大致图象为( )
A.B.
C.D.
4.设是空间中的一个平面,l,m,n是三条不同的直线,则下列说法正确的是( )
A.若,,,则
B.若,,,则
C.若,,,则
D.若,,,,则
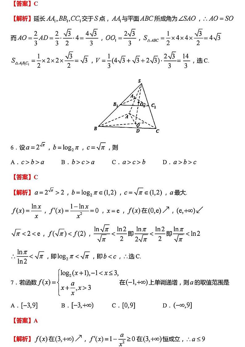
5.在正三棱台中,,,与平面ABC所成角为,则该三棱台的体积为( )
A.B.C.D.
6.设,,,则( )
A.B.C.D.
7.若函数,在上单调递增,则a的取值范围是( )
A.B.C.D.
8.设函数,若,则a的最小值为( )
A.B.C.2D.1
二、选择题:本题共3小题,每小题6分,共18分。在每小题给出的选项中,有多项符合题目要求。全部选对的得6分,部分选对的得部分分,有选错的得0分。
9.下列函数中最小值为4的是( )
A.B.
C.D.
10.定义在R上的偶函数,满足,则( )
A.B.
C.D.
11.在正方体中,M,N分别为AC,的中点,则( )
A.平面
B.
C.直线MN与平面所成角为
D.平面经过棱的三等分点
三、填空题:本题共3小题,每小题5分,共15分。
12.“”是“”的______.
(在“充分不必要条件”,“必要不充分条件”,“充要条件”,“既不充分又不必要条件”中选择一个填空)
13.已知圆柱的高为1,它的两个底面的圆周在直径为2的同一个球的球面上,则该圆柱的侧面积为______.
14.已知,则的最小值为______.
四、解答题:本题共5小题,共77分。解答时应写出文字说明、证明过程或演算步骤。
15.(13分)
如图,在直三棱柱中,D,E,F分别为AB,BC,的中点.
(1)证明:平面;
(2)若,,,求点E到平面的距离.
16.(15分)
已知函数.
(1)判断并证明的奇偶性;
(2)若对任意,,不等式恒成立,求实数a的取值范围.
17.(15分)
如图,四边形ABCD为菱形,平面ABCD.
(1)证明:平面平面PBD;
(2)若,二面角的大小为120°,求PC与BD所成角的余弦值.
18.(17分)
设函数.
(1)若,,求证:有零点:
(2)若,,是否存在正整数m,n,使得不等式的解集为,若存在,求m,n;若不存在,说明理由;
(3)若,非空集合,求的取值范围.
19.(17分)
已知有限集,若,则称A为“完全集”.
(1)判断集合是否为“完全集”,并说明理由;
(2)若集合为“完全集”,且a,b均大于0,证明:a,b中至少有一个大于2;
(3)若A为“完全集”,且,求A.
注意事项:
1.答卷前,考生务必将自己的姓名、准考证号填写在答题卡上。
2.回答选择题时,选出每小题答案后,用铅笔把答题卡上对应题目的答案标号涂黑。如需改动,用橡皮擦干净后,再选涂其他答案标号。回答非选择题时,将案写在答题卡上指定位置上,在其他位置作答一律无效。
3.本卷满分为150分,考试时间为120分钟。考试结束后,将本试卷和答题卡一并交回。
相关试卷
这是一份江苏省南通市2025届高三上学期九月份调研测试数学试题,文件包含江苏省南通市2025届高三九月份调研考试数学试题docx、答案pdf等2份试卷配套教学资源,其中试卷共17页, 欢迎下载使用。
这是一份2023-2024学年江苏省南通市部分重点校高三上学期1月学情调研数学试题(含解析),共19页。试卷主要包含了单选题,多选题,填空题,解答题等内容,欢迎下载使用。
这是一份2023届江苏省南通市高三上学期12月调研测试数学试题(解析版),共18页。试卷主要包含了单选题,多选题,填空题,解答题等内容,欢迎下载使用。

