重庆市朝阳中学2024-2025学年高二上学期第一次月考数学试题(Word版附解析)
展开这是一份重庆市朝阳中学2024-2025学年高二上学期第一次月考数学试题(Word版附解析),文件包含重庆市北碚区朝阳中学2024-2025学年高二上学期第一次月考数学试题Word版含解析docx、重庆市北碚区朝阳中学2024-2025学年高二上学期第一次月考数学试题Word版无答案docx等2份试卷配套教学资源,其中试卷共23页, 欢迎下载使用。
1. 设空间向量,,若,则实数k的值为( )
A. 2B. C. D. 10
【答案】A
【解析】
【分析】由向量平行坐标表示求解.
【详解】由题意,解得.
故选:A.
2. 已知空间向量,,则以为单位正交基底时的坐标为( )
A. B. C. D.
【答案】B
【解析】
【分析】由空间向量的线性运算和空间向量基本定理,结合单位正交基底,求向量的坐标.
【详解】空间向量,,则,
故以为单位正交基底时的坐标为.
故选:B.
3. 点关于轴的对称点为,则( )
A. B.
C. D.
【答案】D
【解析】
【分析】根据关于轴的对称点的坐标关系直接列式求解即可.
【详解】因为点关于轴的对称点为,
所以由对称性知,解得,
故选:D
4. 已知空间向量,若共面,则实数的值为( )
A. 4B. 3C. 2D. 1
【答案】B
【解析】
【分析】由空间共面向量可得,代入解方程即可得出答案.
【详解】若空间向量共面,
则,所以,
所以,解得:.
故选:B.
5. 已知,则在方向上的投影数量为( )
A. B. C. D.
【答案】C
【解析】
【分析】运用投影的概念,结合数量积和求模公式求解即可.
【详解】在方向上的投影数量为.
故选:C.
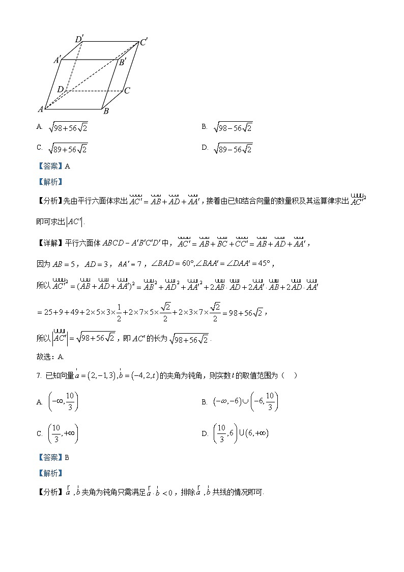
6. 如图,在平行六面体中,,,,则的长为( )
A. B.
C. D.
【答案】A
【解析】
【分析】先由平行六面体求出,接着由已知结合向量的数量积及其运算律求出即可求出.
【详解】平行六面体中,,
因为,,,,
所以
,
所以,即的长为.
故选:A.
7. 已知向量的夹角为钝角,则实数的取值范围为( )
A. B.
C. D.
【答案】B
【解析】
【分析】夹角为钝角只需满足,排除共线的情况即可.
【详解】由,解得
当共线时,由,即解得,
所以当夹角为钝角时,
故选:B
8. 如图,已知正四棱锥的所有棱长均为1,E为PC的中点,则线段PA上的动点M到直线BE的距离的最小值为( )
A. B. C. D.
【答案】D
【解析】
【分析】方法一:建立空间直角坐标系,求向量在上的投影的大小,再求点M到直线BE的距离,由此可求其最小值.
方法二:证明为异面直线的公垂线段,由此可求动点M到直线BE的距离的最小值.
【详解】连接,记直线的交点为,
由已知平面,,
以点为原点,为轴的正方向建立空间直角坐标系,
由已知,
所以,
则,
所以,,,
设,则
,
所以在上的投影向量的模为,
又,
所以动点M到直线BE的距离,
所以,
所以当时,动点M到直线BE的距离最小,最小值为,
故选:D.
方法二:因为为等边三角形,为的中点,所以,
由已知,所以,
所以,
所以为异面直线,的公垂线段,
所以的长为动点M到直线BE的距离最小值,
所以动点M到直线BE的距离最小值为,
故选:D.
二、单项选择题:本题共3小题,每小题6分,共18分.在每小题给出的选项中,有多项符合题口要求.
9. 已知构成空间的一个基底,则下列向量不共面的是( )
A. ,,
B. ,,
C. ,,
D. ,,
【答案】BCD
【解析】
【分析】根据向量共面的定义分别判断各选项.
【详解】A选项:令,则,解得,即,,共面,故A选项不符合题意;
B选项:设,则,此方程组无解,即,,不共面,故B选项符合题意;
C选项:设,则,此方程组无解,即,,不共面,故C选项符合题意;
D选项:设,则,此方程组无解,,,不共面,故D选项符合题意;
故选:BCD.
10. 下列说法错误的是( )
A. 若是空间任意四点,则有
B. 若,则存在唯一的实数,使得
C. 若共线,则
D. 对空间任意一点与不共线的三点,若(其中),则四点共面
【答案】BCD
【解析】
【分析】利用向量加法运算判断A;利用共线向量定理判断B;利用向量共线的意义判断C;利用共面向量定理判断D.
【详解】对于A,,A正确;
对于B,当时,不存在,B错误;
对于C,共线,可以在同一条直线上,C错误;
对于D,当时,四点不共面,D错误.
故选:BCD
11. 如图,在棱长为6的正方体中,E,F分别是棱,BC的中点,则( )
A. 平面
B. 异面直线与EF所成的角是
C. 点到平面的距离是
D. 平面截正方体所得图形的周长为
【答案】BCD
【解析】
【分析】建立空间直角坐标系,利用空间夹角公式、点到面距离公式,结合正方体的性质逐一判断即可.
【详解】如图,以A为坐标原点,的方向分别为x,y,z轴正方向,建立如图所示的空间直角坐标系.
因为,所以,
所以.
设平面的法向量为,
则令,得,所以.
因为,
所以与平面不垂直,则A错误.
设异面直线与EF所成的角为,
则,从而,故B正确.
连接,因为,
所以点到平面的距离是,则C正确.
分别在棱上取点M,N,使得,,
连接.
可知平面截正方体所得图形为五边形.
由题中数据可得,
则平面截正方体所得图形的周长为,故D正确.
故选:BCD
【点睛】关键点睛:本题关键是根据正方体的性质得到截面的形状.
三、填空题(本题共3小题,每小题5分,共15分.)
12. O为空间任意一点,若,若ABCP四点共面,则______________.
【答案】##0.125
【解析】
【分析】利用空间向量共面基本定理的推论可求出的值.
【详解】空间向量共面的基本定理的推论:,且、、不共线,
若、、、四点共面,则,
因为为空间任意一点,若,且、、、四点共面,
所以,,解得.
故答案为:.
13. 在三棱锥中,平面,是边长为2的正三角形,点F满足,则_________.
【答案】
【解析】
【分析】由题意可得,,利用计算可得结论.
【详解】因为平面,平面,所以,,
所以,,
因为,所以,
因为,所以,
因为,
.
故答案为:.
14. 《九章算术》中的“商功”篇主要讲述了以立体几何为主的各种形状体积的计算,其中堑堵是指底面为直角三角形的直棱柱.如图,在堑堵中,M,N分别是的中点,,动点在线段MN上运动,若,则______.
【答案】
【解析】
【分析】利用等和面定理求解即可.
【详解】如图,取的中点,连接AE交于点.
因为M,N分别是的中点,所以.
因为平面,所以平面.
因为平面EMN,所以平面平面,
点在平面EMN内,所以由等和面定理可知,.
故答案为:
四、解答题(本题共5小题,共77分.解答应写出文字说明,证明过程或演算步骤.)
15. 如图,在正方体中,点E在BD上,且;点F在上,且.
求证:(1);
(2).
【答案】(1)证明见解析;(2)证明见解析
【解析】
【分析】建立空间直角坐标系,令正方体的棱长为,表示出点的坐标,利用空间向量法证明线线垂直;
【详解】解:(1)如图建立空间直角坐标系,令正方体的棱长为,则,,,因为,,所以,,所以,,所以,所以
(2)由(1)可知,所以,所以
16. 在正方体中,设,,,,分别是,的中点.
(1)用向量,,表示,;
(2)若,求实数,,的值.
【答案】(1),
(2),,.
【解析】
【分析】(1)利用空间向量的线性运算求解即可;
(2)用,,表示,再利用空间向量基本定理求解即可.
【小问1详解】
连接,则交于点,
,
.
【小问2详解】
连接,
,
又,所以,,.
17. 如图,圆锥的轴截面是边长为4的等边三角形,是的中点,是底面圆周上一点,.
(1)求的值;
(2)求异面直线与所成角的余弦值.
【答案】(1)
(2)
【解析】
【分析】(1)根据余弦定理,即可求解;
(2)以点为原点,建立空间直角坐标系,利用向量法求异面直线所成的角.
【小问1详解】
中,,,,
根据余弦定理,.
小问2详解】
如图,以点原点,为轴和轴,过点作为轴,建立空间直角坐标系,
,,,,
,,
设异面直线与所成角为,
则
所以异面直线与所成角的余弦值为.
18. 如图,在中,,于现将沿折叠,使为直二面角如图,是棱的中点,连接、、.
(1)证明:平面平面;
(2)若,且棱上有一点满足,求二面角的正弦值.
【答案】(1)证明见解析
(2)
【解析】
【分析】(1)证明,,通过底面,证明,然后推出平面,即可证明平面平面;
(2)以、、所在的直线分别为轴、轴、轴,建立空间直角坐标系,求出平面的法向量,平面的一个法向量,利用空间向量的数量积求解二面角的余弦值即可求出正弦值.
【小问1详解】
证明:在图中,,是的中点,,
而,,故为二面角的平面角,
又为直二面角,,
而平面,故平面,
而平面,,且,平面,
因此平面,又平面,平面平面.
【小问2详解】
以、、所在的直线分别为轴、轴、轴,建立如图所示的空间直角坐标系,
则,A1,0,0,,,,
因,所以,那么,
设平面的法向量,
由且,得,取,则,
设平面的一个法向量,,
则,即,令,则,所以,
于是,
所以二面角的正弦值为.
19. 如图,在四棱锥中,平面ABCD,,,.E为PD的中点,点F在PC上,且,设点G是线段PB上的一点.
(1)求证:CD⊥平面PAD;
(2)若.判断直线AG是否在平面AEF内,说明理由.
(3)设CG与平面AEF所成角为,求的范围.
【答案】(1)证明见解析
(2)直线在平面内,理由见解析
(3)
【解析】
【分析】(1)由⊥平面可得,结合利用线面垂直判定定理可证;
(2)由代入坐标建立方程组,由方程组有解可得直线在平面内;
(3)由点G是线段PB上的一点.设,进而得坐标,求平面的一个法向量,由向量方法表示出,再利用换元法求函数值域可得.
【小问1详解】
因为⊥平面,平面,所以,
又因为,,平面,平面,
所以平面.
【小问2详解】
在底面中,过作,交于,
由题意可知,又平面,
则以为坐标原点,分别以所在直线为轴,
建立空间直角坐标系.
则,,,,
、、、.
,,,
若平面,则且,使得,
则有,解得,故.
所以直线平面.
小问3详解】
由(2)可知,.
设,
则,
设平面的法向量为,
则,即,
令,有,故.
故
,
令,则
,
而,,
故.
相关试卷
这是一份浙江省嘉兴市桐乡市茅盾中学2024-2025学年高二上学期第一次月考数学试题(Word版附解析),文件包含浙江省嘉兴市桐乡市茅盾中学2024-2025学年高二上学期第一次月考数学试题Word版含解析docx、浙江省嘉兴市桐乡市茅盾中学2024-2025学年高二上学期第一次月考数学试题Word版无答案docx等2份试卷配套教学资源,其中试卷共20页, 欢迎下载使用。
这是一份浙江省宁波市镇海中学2024-2025学年高二上学期第一次月考数学试题(Word版附解析),文件包含浙江省宁波市镇海中学2024-2025学年高二上学期第一次月考数学试卷Word版含解析docx、浙江省宁波市镇海中学2024-2025学年高二上学期第一次月考数学试卷Word版无答案docx等2份试卷配套教学资源,其中试卷共22页, 欢迎下载使用。
这是一份重庆市江北区字水中学2023-2024学年高二上学期第一次月考数学试题(Word版附解析),共19页。试卷主要包含了单选题,多选题,填空题,解答题等内容,欢迎下载使用。

