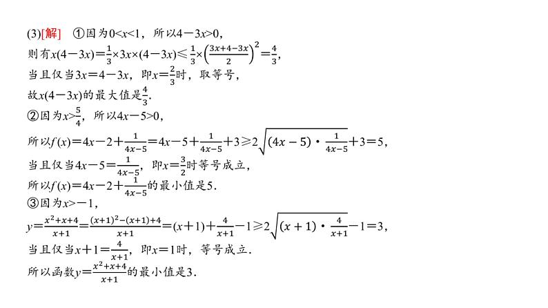
高三数学一轮复习第一章集合、常用逻辑用语、不等式第四课时基本不等式课件
展开点拨 使用基本不等式求最值时,“一正”“二定”“三相等”三个条件缺一不可,特别注意“一正”“三相等”这两类陷阱.
提醒:(1)当两个正数的积为定值时,可以求它们的和的最小值,当两个正数的和为定值时,可以求它们的积的最大值,正所谓“积定和最小,和定积最大”.(2)求最值的条件“一正,二定,三相等”.(3)基本不等式在求最值、比较大小、求变量的取值范围、证明不等式、解决实际问题方面有广泛的应用.
点拨 对于不等式恒成立问题可利用分离参数法,把问题转化为利用基本不等式求最值,大于最大,小于最小.
点拨 (1)理解题意,设出变量,建立函数模型,把实际问题抽象为函数的最值问题.(2)注意定义域,验证取得条件.(3)注意实际问题隐藏的条件,比如整数,单位换算等.
高三数学一轮复习第一章集合、常用逻辑用语、不等式第二课时常用逻辑用语课件: 这是一份高三数学一轮复习第一章集合、常用逻辑用语、不等式第二课时常用逻辑用语课件,共20页。PPT课件主要包含了充分不必要,p⇔q,既不充分也不必要,AB,BA,A=B,∀x∈Mpx,∃x∈Mpx,∃x∈M¬px,∀x∈M¬px等内容,欢迎下载使用。
高三数学一轮复习第一章集合、常用逻辑用语、不等式第一课时集合课件: 这是一份高三数学一轮复习第一章集合、常用逻辑用语、不等式第一课时集合课件,共20页。PPT课件主要包含了列举法,描述法,任意一个元素,B⊇A,x∉A,AB,BA,B⊆A,-1+∞,xx∈A等内容,欢迎下载使用。
2025版高考数学全程一轮复习第一章集合与常用逻辑用语不等式第四节基本不等式课件: 这是一份2025版高考数学全程一轮复习第一章集合与常用逻辑用语不等式第四节基本不等式课件,共49页。PPT课件主要包含了课前自主预习案,课堂互动探究案,a0b0,a=b,x=y,常用结论,答案B,答案25,答案C,答案D等内容,欢迎下载使用。

