新高考数学二轮复习课件 专题突破 专题1 培优点3 隐零点问题
展开导函数的零点在很多时候是无法直接求解出来的,我们称之为“隐零点”,既能确定其存在,但又无法用显性的代数进行表达.这类问题的解题思路是对函数的零点设而不求,通过整体代换和过渡,再结合题目条件解决问题.
不含参函数的隐零点问题
(2022·济宁质检)已知函数f(x)=acs x+bex(a,b∈R),曲线y=f(x)在点(0,f(0))处的切线方程为y=-x.(1)求实数a,b的值;
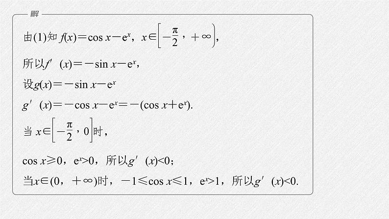
因为f′(x)=-asin x+bex,
所以f′(x)=-sin x-ex,设g(x)=-sin x-exg′(x)=-cs x-ex=-(cs x+ex).
cs x≥0,ex>0,所以g′(x)<0;当x∈(0,+∞)时,-1≤cs x≤1,ex>1,所以g′(x)<0.
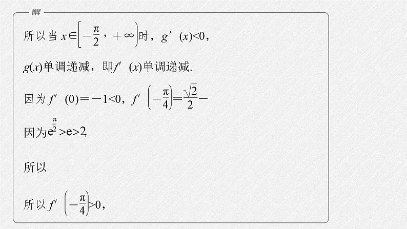
g(x)单调递减,即f′(x)单调递减.
即 =-sin x0.
当x∈(x0,+∞)时,f′(x)<0,f(x)单调递减.所以f(x)max=f(x0)=cs x0-
由题意知,c≥f(x0),所以整数c的最小值为1.
已知不含参函数f(x),导函数方程f′(x)=0的根存在,却无法求出,利用零点存在定理,判断零点存在,设方程f′(x)=0的根为x0,则①有关系式f′(x0)=0成立,②注意确定x0的合适范围.
(1)求函数g(x)的极值;
(2)当x>0时,证明:f(x)≥g(x).
f(x)≥g(x)等价于证明xex+1-2≥ln x+x(x>0),即xex+1-ln x-x-2≥0.令h(x)=xex+1-ln x-x-2(x>0),
当x∈(0,x0)时,φ(x)<0,h′(x)<0,h(x)在x∈(0,x0)上单调递减;当x∈(x0,+∞)时,φ(x)>0,h′(x)>0,h(x)在x∈(x0,+∞)上单调递增,故h(x)min=h(x0)= -ln x0-x0-2,又因为φ(x0)=0,即所以h(x0)=-ln x0-x0-1=(x0+1)-x0-1=0,从而h(x)≥h(x0)=0,即f(x)≥g(x).
已知函数f(x)=ln x-kx(k∈R),g(x)=x(ex-2),若g(x)-f(x)≥1恒成立,求k的取值范围.
依题意,x(ex-2)-(ln x-kx)≥1恒成立,且x>0,
令μ(x)=-ln x-x2ex(x>0),
∴μ(x)在(0,+∞)上单调递减,
两边取对数可得ln(-ln x0)=2ln x0+x0,即ln(-ln x0)+(-ln x0)=x0+ln x0,由函数y=x+ln x为增函数,可得x0=-ln x0,又当0
∴φ(x)在(0,x0)上单调递增,在(x0,+∞)上单调递减,
∴k≥φ(x0)=1,即k的取值范围为k≥1.
已知含参函数f(x,a),其中a为参数,导函数方程f′(x,a)=0的根存在,却无法求出,设方程f′(x)=0的根为x0,则①有关系式f′(x0)=0成立,该关系式给出了x0,a的关系;②注意确定x0的合适范围,往往和a的范围有关.
(2022·湖北新高考协作体联考)已知函数f(x)=2exsin x-ax(e是自然对数的底数).若0∵f(x)=2exsin x-ax,∴f′(x)=2ex(sin x+cs x)-a,令h(x)=f′(x),则h′(x)=4excs x.
①当2-a≥0,即0∴当x∈(0,x0)时,f′(x)>0;当x∈(x0,π)时,f′(x)<0,∴f(x)在(0,x0)上单调递增,在(x0,π)上单调递减.∵f(0)=0,∴f(x0)>0,又f(π)=-aπ<0,∴由函数零点存在定理可得,此时f(x)在(0,π)上仅有一个零点;②若2使得f′(x1)=0,f′(x2)=0, 且当x∈(0,x1),x∈(x2,π)时,f′(x)<0;当x∈(x1,x2)时,f′(x)>0.∴f(x)在(0,x1)和(x2,π)上单调递减,在(x1,x2)上单调递增.∵f(0)=0,∴f(x1)<0,
又∵f(π)=-aπ<0,∴由零点存在定理可得,f(x)在(x1,x2)和(x2,π)内各有一个零点,即此时f(x)在(0,π)上有两个零点.综上所述,当01.已知函数f(x)=-ex+sin x+x,x∈[0,π].证明:(1)函数f(x)有唯一的极大值点;
f(x)=x+sin x-ex,f′(x)=1+cs x-ex,令g(x)=1+cs x-ex,g′(x)=-ex-sin x<0,所以g(x)在区间[0,π]上单调递减.因为g(0)=2-1=1>0,g(π)=-eπ<0,所以存在x0∈(0,π),使得f′(x0)=0,且当0
(1)讨论f(x)的单调性;
①若a≥0,则f′(x)>0,所以f(x)在(0,+∞)上单调递增.
对于函数y=x2-ax-1,Δ=a2+4>0,所以其必有两个零点.又两个零点之积为-1,所以两个零点一正一负,设其中一个零点x0∈(0,+∞),
此时g(x)在(0,x0)上单调递增,在(x0,+∞)上单调递减,
当x∈(0,1)时,h′(x)<0;当x∈(1,+∞)时,h′(x)>0.所以h(x)在(0,1)上单调递减,在(1,+∞)上单调递增.
专题一 培优点2 隐零点问题--高三高考数学复习-PPT: 这是一份专题一 培优点2 隐零点问题--高三高考数学复习-PPT,共44页。PPT课件主要包含了内容索引,考点一,考点二,含参函数的隐零点问题,专题强化练,规律方法等内容,欢迎下载使用。
专题一 培优点2 隐零点问题 2024年高考数学大二轮复习课件(含讲义): 这是一份专题一 培优点2 隐零点问题 2024年高考数学大二轮复习课件(含讲义),文件包含专题一培优点2隐零点问题pptx、专题一培优点2隐零点问题教师版docx、专题一培优点2隐零点问题docx等3份课件配套教学资源,其中PPT共44页, 欢迎下载使用。
新高考版高考数学二轮复习(新高考版) 第1部分 专题突破 专题1 培优点3 隐零点问题课件PPT: 这是一份新高考版高考数学二轮复习(新高考版) 第1部分 专题突破 专题1 培优点3 隐零点问题课件PPT,共39页。PPT课件主要包含了高考数学二轮复习策略,培优点3隐零点问题,含参函数的隐零点问题,专题强化练等内容,欢迎下载使用。

