辽宁省沈阳市2023-2024学年高一下学期期中考试数学试卷(原卷版)
展开1. 与角终边相同的角是( )
A. B. C. D.
2. 已知,,,若,则( )
A. 10B. 11C. 12D. 13
3. 在扇形中,,且弦,则扇形的面积为( )
A. B. C. D.
4. 在梯形中,,,则( )
A. 25B. 15C. 10D. 5
5. 在与中,已知,若对任意这样两个三角形,总有,则( )
A. B. C. D.
6. 小娟,小明两个人共提一桶水匀速前进,已知水和水桶总重力为,两人手臂上的拉力分别为,,且,与的夹角为,下列结论中正确的是( )
A. 越小越费力,越大越省力B. 始终有
C. 当时,D. 当时,
7. 若,且,,,则,,的大小是( )
A. B.
C. D.
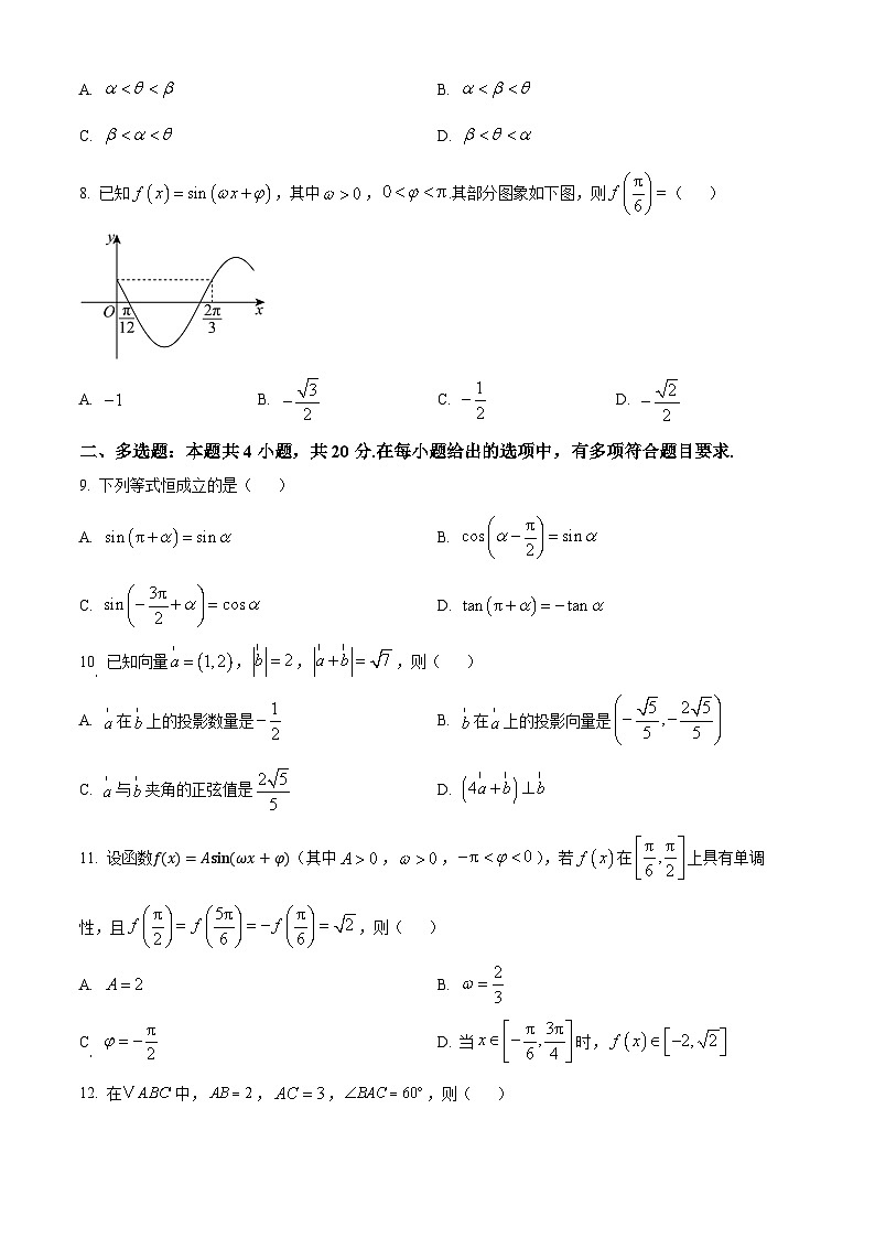
8. 已知,其中,.其部分图象如下图,则( )
A. B. C. D.
二、多选题:本题共4小题,共20分.在每小题给出的选项中,有多项符合题目要求.
9. 下列等式恒成立的是( )
A. B.
C. D.
10 已知向量,,,则( )
A. 在上的投影数量是B. 在上的投影向量是
C. 与夹角的正弦值是D.
11. 设函数fx=Asinωx+φ(其中,,),若在上具有单调性,且,则( )
A. B.
C D. 当时,
12. 在中,,,,则( )
A. 的周长是B. 边上的中线长
C. 边上的角平分线长D. 边上的高长
三、填空题:本题共4小题,每小题5分,共20分.
13. 若,满足条件的集合是_______.
14. 将函数图象上各点向左平移个单位长度,再把横坐标缩短为原来的,得到的图象的函数解析式是________.
15. 已知,则______.
16. 在中,为边上的任一点,若,,则______.
四、解答题:本题共6小题,共70分.解答应写出文字说明,证明过程或演算步骤.
17. 如图,以为始边作角与,它们的终边分别与单位圆相交于点P,Q,已知点Q的坐标为.
(1)求值;
(2)若,求P的坐标.
18. 如图,在平行四边形中,点M为中点,点N在上,.
(1)设,,用,表示向量;
(2)求证:M,N,C三点共线.
19. (1)已知,,求满足,的点D的坐标;
(2)设,为单位向量,且,向量与共线,求的最小值.
20. 在锐角中,内角A,B,C的对边分别为a,b,c,且.
(1)求C;
(2)若,,求的面积.
21. 已知在上是单调函数,函数的图象关于点中心对称,且对任意的,都有.
(1)求解析式;
(2)若函数在上有两个零点,,求的值.
22. 已知a,b,c分别为中角A,B,C的对边,G为的重心,为边上的中线.
(1)若的面积为,且,,求的长;
(2)若,求的最小值.
辽宁省沈阳市第二中学2023-2024学年高一下学期期中考试数学试卷(原卷版+解析版): 这是一份辽宁省沈阳市第二中学2023-2024学年高一下学期期中考试数学试卷(原卷版+解析版),文件包含辽宁省沈阳市第二中学2023-2024学年高一下学期期中考试数学试卷原卷版docx、辽宁省沈阳市第二中学2023-2024学年高一下学期期中考试数学试卷解析版docx等2份试卷配套教学资源,其中试卷共25页, 欢迎下载使用。
辽宁省沈阳市五校2023-2024学年高一下学期期中考试数学试卷(含答案): 这是一份辽宁省沈阳市五校2023-2024学年高一下学期期中考试数学试卷(含答案),共17页。试卷主要包含了选择题,多项选择题,填空题,解答题等内容,欢迎下载使用。
辽宁省本溪市县级重点高中协作体2023-2024学年高一下学期期中考试数学试卷(原卷版+解析版): 这是一份辽宁省本溪市县级重点高中协作体2023-2024学年高一下学期期中考试数学试卷(原卷版+解析版),文件包含辽宁省本溪市县级重点高中协作体2023-2024学年高一下学期期中考试数学试卷原卷版docx、辽宁省本溪市县级重点高中协作体2023-2024学年高一下学期期中考试数学试卷解析版docx等2份试卷配套教学资源,其中试卷共19页, 欢迎下载使用。

