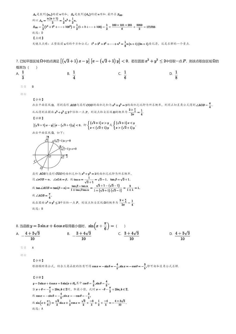
[数学]2024年陕西西安高三下学期高考模拟理科数学试卷(部分学校)(原题版+解析版)
展开这是一份[数学]2024年陕西西安高三下学期高考模拟理科数学试卷(部分学校)(原题版+解析版),文件包含数学2024年陕西西安高三下学期高考模拟理科数学试卷部分学校解析版pdf、数学2024年陕西西安高三下学期高考模拟理科数学试卷部分学校原题版pdf等2份试卷配套教学资源,其中试卷共15页, 欢迎下载使用。
相关试卷
这是一份陕西省西安市第一中学校2024届高三阶段性测试(八)理科数学试题(原卷版+解析版),文件包含陕西省西安市第一中学校2024届高三阶段性测试八理科数学试题原卷版docx、陕西省西安市第一中学校2024届高三阶段性测试八理科数学试题解析版docx等2份试卷配套教学资源,其中试卷共30页, 欢迎下载使用。
这是一份陕西省咸阳市普集街道部分学校2024届高三下学期高考模拟考试(三)数学(理科)试题(原卷版+解析版),文件包含陕西省咸阳市普集街道部分学校2024届高三下学期高考模拟考试三数学理科试题原卷版docx、陕西省咸阳市普集街道部分学校2024届高三下学期高考模拟考试三数学理科试题解析版docx等2份试卷配套教学资源,其中试卷共34页, 欢迎下载使用。
这是一份陕西省西安市部分学校2024届高三下学期二模考试理科数学试题(含解析),共19页。试卷主要包含了单选题,填空题,解答题等内容,欢迎下载使用。

