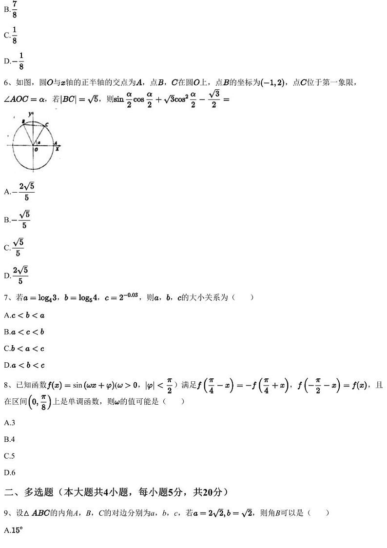
2022~2023学年福建漳州芗城区福建省漳州第一中学高三上学期月考数学试卷(第一次阶段考试)(含答案与解析)
展开2022~2023学年福建漳州芗城区福建省漳州市第三中学高一上学期期中数学试卷: 这是一份2022~2023学年福建漳州芗城区福建省漳州市第三中学高一上学期期中数学试卷,共14页。
2022~2023学年福建漳州芗城区福建省漳州市第二中学高一下学期期中数学试卷: 这是一份2022~2023学年福建漳州芗城区福建省漳州市第二中学高一下学期期中数学试卷,共15页。
2024年福建漳州芗城区福建省漳州市第三中学高三下学期高考模拟数学试卷: 这是一份2024年福建漳州芗城区福建省漳州市第三中学高三下学期高考模拟数学试卷,共4页。

