2025年高考数学一轮复习 第六章 数列-第四节 数列求和【课件】
展开一、特殊数列的求和公式
二、数列求和的几种常用方法
A.100B.105C.90D.95
A.1 360B.1 358C.1 350D.1 348
题型一 倒序相加法求和
题型二 分组转化法或并项法求和
题型三 错位相减法求和
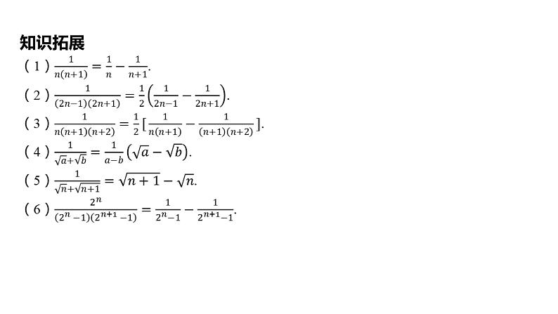
题型四 裂项相消法求和
2024版新教材高考数学全程一轮总复习第六章数列第四节数列求和课件: 这是一份2024版新教材高考数学全程一轮总复习第六章数列第四节数列求和课件,共49页。PPT课件主要包含了必备知识·夯实双基,关键能力·题型突破,答案A,答案C,n-2等内容,欢迎下载使用。
备战2024高考一轮复习数学(理) 第六章 数列 第四节 数列求和课件PPT: 这是一份备战2024高考一轮复习数学(理) 第六章 数列 第四节 数列求和课件PPT,共28页。
高考数学一轮复习配套课件 第六章 第四节 数列求和及综合应用: 这是一份高考数学一轮复习配套课件 第六章 第四节 数列求和及综合应用,共58页。PPT课件主要包含了必备知识基础落实,关键能力考点突破,微专题,答案B,n+1-2+n2,答案C,答案1B,答案A,答案D等内容,欢迎下载使用。

