资料中包含下列文件,点击文件名可预览资料内容
还剩4页未读,
继续阅读
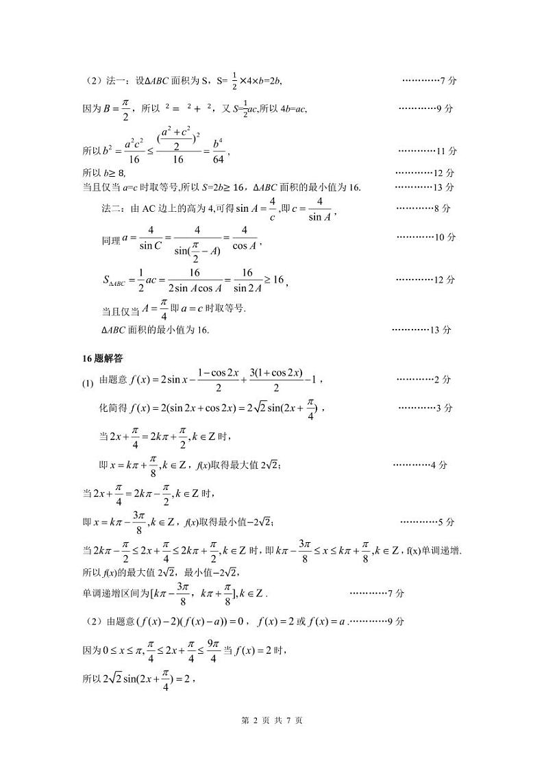
湖北省五市州2024年高一下学期7月期末考试数学试题+答案
展开
这是一份湖北省五市州2024年高一下学期7月期末考试数学试题+答案,文件包含高一数学参考答案00pdf、高一数学1pdf等2份试卷配套教学资源,其中试卷共11页, 欢迎下载使用。
相关试卷
湖北省五市州2023-2024学年高一下学期期末联考数学试题:
这是一份湖北省五市州2023-2024学年高一下学期期末联考数学试题,共2页。
[数学][期末]湖北省七市州新高考联考协作体2023-2024学年高一下学期7月期末考试数学试题:
这是一份[数学][期末]湖北省七市州新高考联考协作体2023-2024学年高一下学期7月期末考试数学试题,共4页。
湖北省部分市州2023-2024学年高一下学期7月期末教学质量监测数学试题:
这是一份湖北省部分市州2023-2024学年高一下学期7月期末教学质量监测数学试题,共8页。

