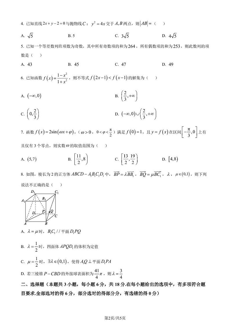
广东茂名2024年高二下学期期末数学试卷+答案
展开[数学]广东省茂名市电白区2023~2024数学年高二下学期期中考试数学试卷((有答案): 这是一份[数学]广东省茂名市电白区2023~2024数学年高二下学期期中考试数学试卷((有答案),共8页。
2023_2024学年5月广东茂名高州市广东高州中学高二下学期月考数学试卷: 这是一份2023_2024学年5月广东茂名高州市广东高州中学高二下学期月考数学试卷,共4页。
广东省茂名市五校2023-2024学年高二下学期3月联考数学试卷(含答案): 这是一份广东省茂名市五校2023-2024学年高二下学期3月联考数学试卷(含答案),共18页。试卷主要包含了选择题,多项选择题,填空题,双空题,解答题等内容,欢迎下载使用。

