2.3有理数的乘方暑假预习练 人教版(2024)数学七年级上册
展开一、单选题
1.据共青团中央2023年5月3日发布的中国共青团团内统计公报,截至2022年12月底,全国共有共青团员7358万.数据7358万用科学记数法表示为( )
A.B.C.D.
2.下列各对数中,数值相等的是( )
A.与B.与C.与D.与
3.统计数据显示,2018年绍兴市进出口贸易总额达2200亿元,其中2200亿元用科学记数法表示为( )
A.2.2×103元B.22×108元
C.2.2×1011元D.0.22×1012元
4.2019年河北省高考人数为55.96万人,则55.96万人用科学记数法表示为( )人
A.B.C.D.
5.下列说法正确的是( )
A.近似数0.21与0.210的精确度相同B.近似数1.3×104精确到十分位
C.数2.9951精确到百分位为3.00D.小明的身高为161 cm中的数是准确数
6.南宁东站某天输送旅客130900人,用科学记数法表示130900是( )
A.B.C.D.
7.下列四个数中,数值不同于其他三个的是( )
A.B.C.D.
8.2022年10月12日,“天宫课堂”第三课在中国空间站开讲,3名航天员演示了在微重力环境下毛细效应实验,水球变“懒”实验等,相应视频在某短视频平台的点赞量达到151万次,数据151万用科学记数法表示为( )
A.B.C.D.
9.已知圆周率,将精确到千分位的结果是( )
A.3.14B.3.140C.3.141D.3.142
10.2013年我国GDP总值为56.9万亿元,增速达7.7%,将56.9万亿元用科学记数法表示为( )
A.56.9×1012元B.5.69×1013元C.5.69×1012元D.0.569×1013元
二、填空题
11.国家统计局新闻发言人盛来运2010年7月15日在国新办的新闻发布会上宣布,据初步测算,上半年国内生产总值是172840亿元,比上年同期增长了3.7个百分点.数据172840亿元用科学记数法表示为 亿元(结果保留三个有效数字).
12.如图,下面每个图形中的四个数都是按相同的规律填写的,根据此规律确定x的值为 .
13.由四舍五入得到的近似数,精确到 位.
14.对于正数x规定,例如:,,,则f (2019)+f (2018)+……+f (2)+f (1)+= .
15.2022年第七次全国人口普查结果显示,我国60岁及以上人口为264000000人,将264000000用科学记数法表示为 .
16.数据60600用科学记数法表示应为 .
17.将4701000000科学记数法表示为 .
18.按如图程序输入一个数x,若输入的数x=4,则输出结果为 .
19.为了适应南通经济快速发展的形势以及铁路运输和客流量大幅上升的需要,南通火车站扩建工程共投资73150000元.将73150000用科学记数法表示为 .
20.用科学记数法表示的数的原数5.001×106= .
三、解答题
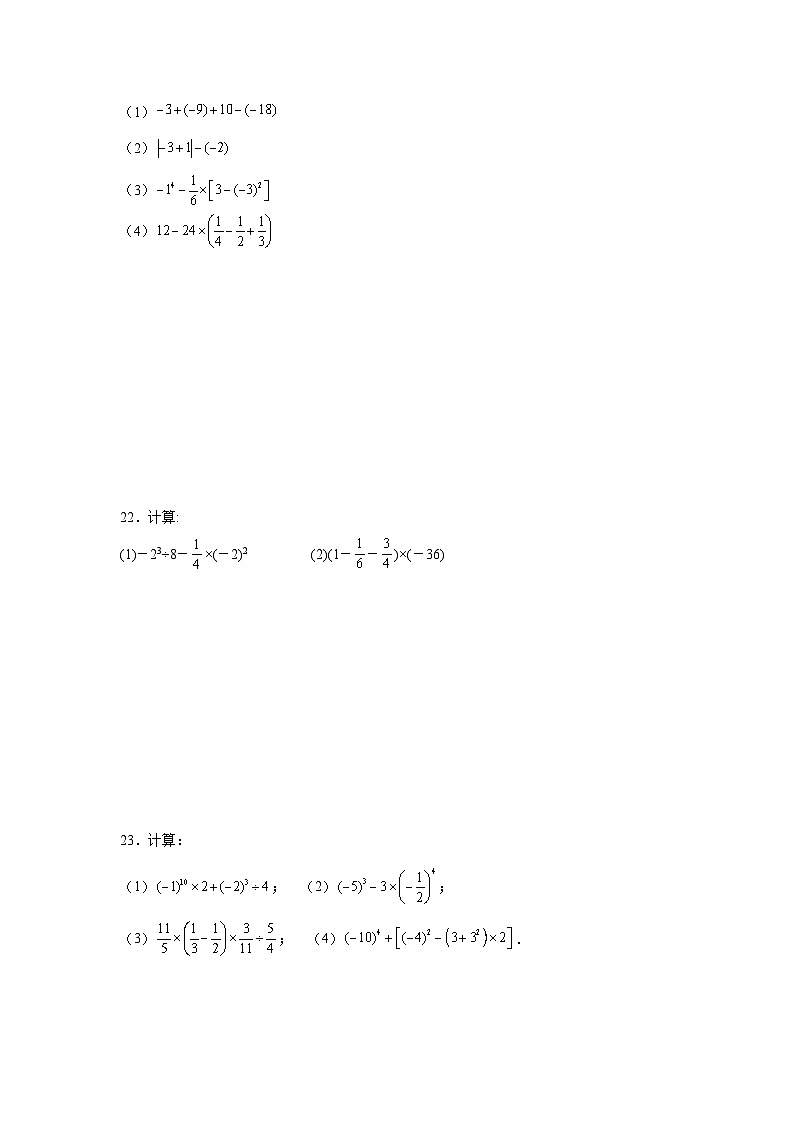
21.计算
(1)
(2)
(3)
(4)
22.计算:
(1)-23÷8-×(-2)2 (2)(1--)×(-36)
23.计算:
(1); (2);
(3); (4).
24.我们知道:,,┅┅
那么反过来也成立.如:,┅┅
则计算:①┅┅
②┅┅.
25.计算:
(1) (﹣3)3﹣()×24
(2)
(3)(结果精确到0.01)
参考答案:
1.A
【分析】科学记数法的表示形式为的形式,其中,为整数.确定的值时,要看把原数变成时,小数点移动了多少位,的绝对值与小数点移动的位数相同.当原数绝对值时,是正数;当原数的绝对值时,是负数.据此可得出结果.
【详解】7358万,
故选:A.
此题主要考查科学记数法的表示方法.正确确定的值以及的值是本题的关键.
2.B
【分析】根据乘方的意义和有理数的乘法分别计算即得答案.
【详解】解:A、=-9,=-8,所以≠,本选项错误;
B、=-8,=-8,所以=,本选项正确;
C、=-9,=9,所以≠,本选项错误;
D、=36,=-12,所以≠,本选项错误.
故选B.
本题考查了有理数的乘方和有理数的乘法,属于基础题型,正确理解乘方的意义是解题的关键.
3.C
【分析】科学记数法的表示形式为a×10n的形式,其中1≤|a|<10,n为整数.确定n的值时,要看把原数变成a时,小数点移动了多少位,n的绝对值与小数点移动的位数相同.当原数绝对值>1时,n是正数;当原数的绝对值<1时,n是负数.
【详解】2200亿元用科学记数法表示为2.2×1011元,
故选C.
本题考查了科学记数法的表示方法.科学记数法的表示形式为a×10n的形式,其中1≤|a|<10,n为整数,表示时关键要正确确定a的值以及n的值.
4.D
【分析】首先把55.96万化为559600,再用科学记数法表示,科学记数法的表示形式为a×10n的形式,其中1≤|a|<10,n为整数.确定n的值时,要看把原数变成a时,小数点移动了多少位,n的绝对值与小数点移动的位数相同.当原数绝对值≥1时,n是正数;当原数的绝对值<1时,n是负数.
【详解】55.96万=559600=5.596×105.
故选:D.
本题考查了科学记数法的表示方法.科学记数法的表示形式为a×10n的形式,其中1≤|a|<10,n为整数,表示时关键要正确确定a的值以及n的值.
5.C
【分析】根据近似数的精确度、四舍五入、准确数的概念逐项判断即可得.
【详解】A、近似数精确到百分位,近似数精确到千分位,则此项错误
B、近似数精确到千位,则此项错误
C、数精确到百分位为,则此项正确
D、小明的身高为中的数是近似数,则此项错误
故选:C.
本题考查了近似数的精确度、四舍五入、准确数的概念,掌握近似数的相关概念是解题关键.
6.C
【分析】科学记数法的表示形式为的形式,其中1≤a<10,n为整数,确定n的值时,要看把原数变成a时,小数点移动了多少位,的绝对值与小数点移动的位数相同.当原数绝对值≥10时,是正数;当原数的绝对值<1时,是负数.
【详解】解:,
故选:C.
此题考查科学记数法的表示方法.科学记数法的表示形式为的形式,其中1≤a<10,n为整数,表示时关键要正确确定a的值以及n的值.
7.C
【分析】根据绝对值、乘方、多重符号化简,逐项计算判断.
【详解】A、=1,B、=1,C、-1,D、=1,
因此A、B、D三个选项的数值相同,
故选:C.
本题考查绝对值、乘方、多重符号化简,属于基础题型.
8.D
【分析】科学记数法的表示形式为的形式,其中,n为整数.确定n的值时,要看把原数变成a时,小数点移动了多少位,n的绝对值与小数点移动的位数相同.当原数绝对值时,n是正数;当原数的绝对值时,n是负数.
【详解】解:151万,
故选:D.
此题考查科学记数法的表示方法.科学记数法的表示形式为的形式,其中,n为整数,表示时关键要正确确定a的值以及n的值.
9.D
【分析】近似数的最后一个数字实际在什么位上,即精确到了什么位,要求精确到某一位,应当对下一位的数字进行四舍五入.
【详解】将精确到千分位的结果是.
故选D.
本题考查了近似数与精确度,熟练掌握精确度的定义是解答本题的关键.经过四舍五入得到的数为近似数,近似数与精确数的接近程度,可以用精确度表示.
10.B
【详解】试题分析:56.9万亿元="56" 900 000 000 000元=5.69×1013元,
考点:科学记数法
11.1.73×105.
【分析】大于1时科学记数法的表示形式为的形式,其中,为整数.而有效数字是从左边第一个不是0的数字起后面所有的数字都是有效数字.用科学记数法表示的数的有效数字只与前面的有关,与10的多少次方无关.
【详解】解:先将172 840用科学记数法表示为:1.728 ,
保留三个有效数字为:.
故答案为:.
此题考查了科学记数法和有效数字,关键是将一个绝对值较大的数写成科学记数法的形式时,其中,为比整数位数少1的数.
12.370.
【详解】试题分析:观察可得左下角数字为偶数,右上角数字为奇数,所以2n=20,m=2n﹣1,解得n=10,m=19,又因右下角数字:第一个:1=1×2﹣1,第二个:10=3×4﹣2,第三个:27=5×6﹣3,由此可得第n个:2n(2n﹣1)﹣n,即可得x=19×20﹣10=370.
考点:数字规律探究题.
13.百
【分析】近似数精确到哪一位,应当看末位数字实际在哪一位.
【详解】解:近似数,精确到百位.
故答案是:百
此题主要考查了科学记数法与近似数,掌握对于用科学记数法表示的数精确到哪一位是解题的关键.
14.
【分析】根据所给计算每一个值,再把所有的数值相加即可.
【详解】解:f(2019)+f(2018)+…+f(2)+f(1)+
=
=()+()+…+
=2018×1+
=.
故答案为.
本题考查了有理数的混合运算,解题的关键是注意利用计算,并能找出f(n)和f()之间的关系.
15.
【分析】科学记数法的表示形式为的形式,其中为整数.确定的值时,要看把原数变成时,小数点移动了多少位,的绝对值与小数点移动的位数相同.当原数绝对值时,是正数;当原数的绝对值时,是负数.
【详解】解:.
故答案为:.
此题考查了科学记数法的表示方法.科学记数法的表示形式为的形式,其中为整数,表示时关键要正确确定的值以及的值.
16.
【分析】本题主要考查科学记数法.科学记数法的表示形式为的形式,其中,n为整数.解题关键是正确确定a的值以及n的值.
科学记数法的表示形式为的形式,其中,n为整数.确定n的值时,要看把原数变成a时,小数点移动了多少位,n的绝对值与小数点移动的位数相同.当原数绝对值时,n是正整数;当原数的绝对值时,n是负整数.
【详解】解:.
故答案为:.
17.4.701×109
【解析】科学记数法的表示形式为a×10n的形式,其中1≤|a|<10,n为整数.确定n的值时,要看把原数变成a时,小数点移动了多少位,n的绝对值与小数点移动的位数相同.当原数绝对值≥10时,n是正整数;当原数的绝对值<1时,n是负整数.
【详解】4701000000=4.701×109.故答案为:4.701×109.
此题考查科学记数法的表示方法.科学记数法的表示形式为a×10n的形式,其中1≤|a|<10,n为整数,表示时关键要正确确定a的值以及n的值.
18.78.
【分析】将x=4代入计算,判断是否大于16,小于16时,将所得结果代入再次计算,直到结果大于16为止即可.
【详解】解:当x=4时,6<16,
当x=6时,14<16,
当x=14时,78>16,
所以输出结果为78.
故答案为:78.
本题主要考查代数式求值,能求出每次的结果是解此题的关键.
19.
【详解】科学记数法的形式,73150000=
20.5001000
【分析】把5.001×106表示成原数的形式,就是把5.001的小数点向右移动6位即可得到.
【详解】解:5.001×106=5001000,
故答案为:5001000.
本题考查了科学记数法,把科学记数法表示的数还原成原数,当n>0时,n是几,小数点就向右移几位.
21.(1)16;(2)4;(3)0;(4)10.
【分析】(1)先把减法化为加法,再分别计算正数、负数的和即可得出答案;
(2)先计算绝对值,再算加减法即可;
(3)先算乘方,再算乘法,最后算加减即可;
(4)先用乘法分配律计算,再算加减即可.
【详解】解:(1)=-12+(10+18)=-12+28=16
(2)=2+2=4
(3)=-1-×(3-9)=-1+1=0
(4)=12-6+12-8=10
本题考查了含乘方的有理数的混合运算,掌握运算法则和运算定律是解题关键.
22.(1)-2;(2)-3
【分析】(1)根据整式的运算法则,先算乘方,再算乘除,后算加减即能解决问题,
(2)若先算括号内的要进行通分,使运算复杂化,直接用-36与括号内的每一个数相乘再进行其它运算即能解决问题.
【详解】(1)原式
(2)原式
=-3
本题考查了整式的运算法则,解决本题的关键是要注意在运算中符号的变化.
23.(1)0;(2);(3);(4)9992.
【分析】(1)先算乘方,再算乘除,最后算加减;
(2)先算乘方,再算乘法,最后算减法;
(3)先算括号里的,再算乘除;
(4)先算小括号,再算中括号的,最后算加法.
【详解】解:(1)原式=
=
=0;
(2)原式=
=
=;
(3)原式=
=
=
=;
(4)原式=
=
=
=.
本题考查了有理数的混合运算,解题的关键是掌握运算法则和运算顺序.
24.①;;
【分析】①首先把每个加数分成两个分数的差的形式,然后应用加法结合律,求出算式┅┅的值是多少即可.
②首先把每个加数分成两个分数的差的形式,然后应用加法结合律,求出算式┅┅的值是多少即可.
【详解】①┅┅,
,
,
;
┅┅,
,
,
.
此题主要考查了有理数的混合运算---数字的变化规律,根据题意得出连续整数积的倒数等于各自倒数的差是解题的关键.
25.(1)-45(2)63(3)-8.90
【分析】(1)先算乘方和乘法运算律,再算加减即可.
(2)先计算乘方,计算括号内的式子,然后进行乘除运算,最后进行加减即可;
(3)先算乘法,再算值,根据四舍五入取近似值即可.
【详解】解:(1)原式=-27-(12+20-14),
=-27-12-20+14,
=-59+14,
=-45
(2)原式=1+(-5)(-8+2)-16×(-2),
=1+(-5)(-6)+32,
=1+30+32,
=63,
(3)原式= ≈-8.90
本题考查了有理数的混合运算,有理数的混合运算的运算顺序是,先乘方,再乘除,最后算加减,有括号先算括号里边的,同级运算从左到右依次计算,然后利用各种运算法则计算,有时可以利用运算律来简化运算.
6.1几何图形暑假预习练 人教版(2024)数学七年级上册: 这是一份6.1几何图形暑假预习练 人教版(2024)数学七年级上册,共15页。试卷主要包含了单选题,填空题,解答题等内容,欢迎下载使用。
6.2直线、射线、线段暑假预习练 人教版(2024)数学七年级上册: 这是一份6.2直线、射线、线段暑假预习练 人教版(2024)数学七年级上册,共19页。试卷主要包含了单选题,填空题,解答题等内容,欢迎下载使用。
6.3角暑假预习练 人教版(2024)数学七年级上册: 这是一份6.3角暑假预习练 人教版(2024)数学七年级上册,共17页。试卷主要包含了单选题,填空题,解答题等内容,欢迎下载使用。

