资料中包含下列文件,点击文件名可预览资料内容
还剩3页未读,
继续阅读
湖北省宜荆荆随恩2024年高一下学期6月联考数学试卷【含答案】
展开
这是一份湖北省宜荆荆随恩2024年高一下学期6月联考数学试卷【含答案】,文件包含数学原卷-湖北省宜荆荆随恩2024年高一下学期6月联考pdf、数学答案-湖北省宜荆荆随恩2024年高一下学期6月联考pdf等2份试卷配套教学资源,其中试卷共17页, 欢迎下载使用。
相关试卷
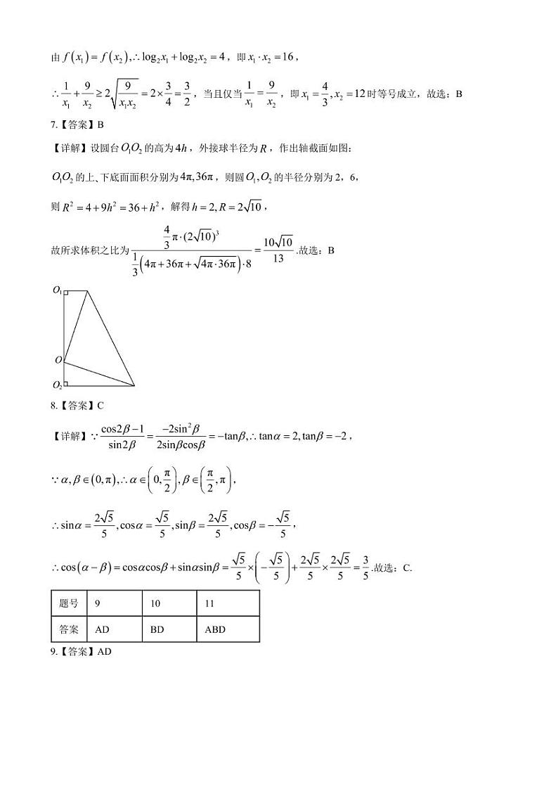
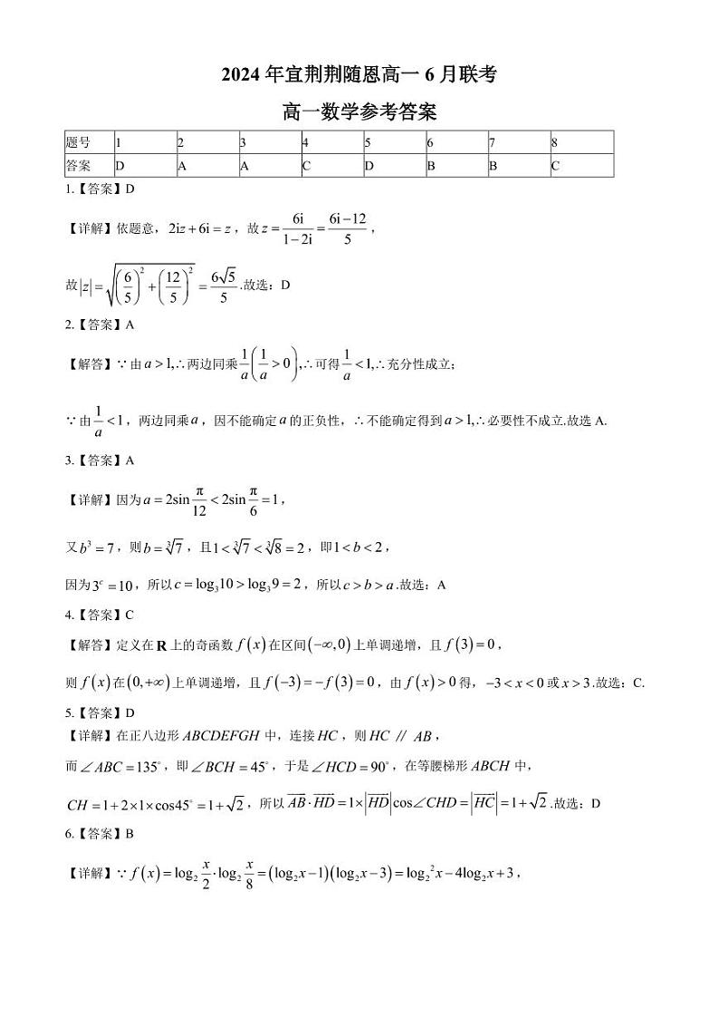
湖北省宜荆荆随恩2024年高一下学期6月联考数学试卷+答案:
这是一份湖北省宜荆荆随恩2024年高一下学期6月联考数学试卷+答案,共17页。
2024届湖北省宜荆荆随恩高三下学期5月联考(宜荆荆随恩二模) 数学试题:
这是一份2024届湖北省宜荆荆随恩高三下学期5月联考(宜荆荆随恩二模) 数学试题,文件包含湖北卷湖北省宜荆荆随恩2024年届高三下学期5月联考宜荆荆随恩二模516-518数学试题pdf、湖北卷湖北省宜荆荆随恩2024年届高三下学期5月联考宜荆荆随恩二模516-518数学试题答案pdf等2份试卷配套教学资源,其中试卷共12页, 欢迎下载使用。
湖北省宜荆荆随恩2023-2024学年高一下学期3月联考数学试卷(含答案):
这是一份湖北省宜荆荆随恩2023-2024学年高一下学期3月联考数学试卷(含答案),共13页。试卷主要包含了选择题,多项选择题,填空题,解答题等内容,欢迎下载使用。

