圆锥曲线中的定值问题课件-2025届高三数学一轮复习
展开
这是一份圆锥曲线中的定值问题课件-2025届高三数学一轮复习,共34页。PPT课件主要包含了核心考点·分类突破等内容,欢迎下载使用。
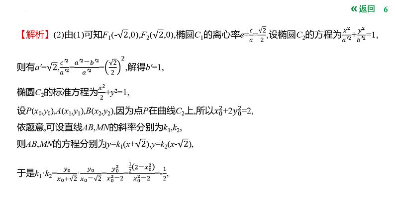
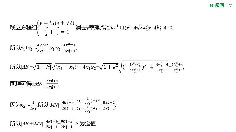
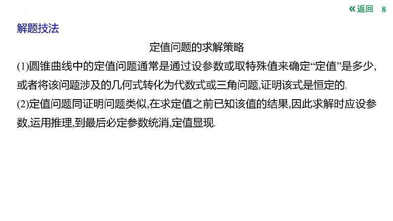
解题技法定值问题的求解策略(1)圆锥曲线中的定值问题通常是通过设参数或取特殊值来确定“定值”是多少,或者将该问题涉及的几何式转化为代数式或三角问题,证明该式是恒定的.(2)定值问题同证明问题类似,在求定值之前已知该值的结果,因此求解时应设参数,运用推理,到最后必定参数统消,定值显现.
对点训练在平面直角坐标系xOy中,已知双曲线C1:2x2-y2=1.设椭圆C2:4x2+y2=1.若M,N分别是C1,C2上的动点,且OM⊥ON,求证:O到直线MN的距离是定值.
解题技法与直线的斜率有关的定值问题的解题策略1.选择合适的参数(倾斜角、点的坐标);2.依据题设条件,求出所求(斜率的或与其有关的)解析式;3.结合题设条件,化简所求解析式得出定值.
解题技法与面积有关的定值问题的解题策略探求圆锥曲线中几何图形的面积的定值问题,一般用直接求解法,即可先利用三角形面积公式(如果是其他凸多边形,可分割成若干个三角形分别求解)把要探求的几何图形的面积表示出来,然后利用题中的条件得到几何图形的面积表达式中的相关量之间的关系式,把这个关系式代入几何图形的面积表达式中,化简即可.
相关课件
这是一份2024届高考数学二轮复习专题4圆锥曲线中的定点、定值、存在性问题课件,共30页。
这是一份2024年新高考数学第一轮复习课件:第44讲 第3课时 圆锥曲线中的定值与定点问题,共11页。
这是一份2024年高考数学一轮复习(新高考版) 第8章 §8.12 圆锥曲线中定点与定值问题课件PPT,共53页。PPT课件主要包含了题型一,定点问题,思维升华,题型二,定值问题,即为曲线C的方程,课时精练,基础保分练,1求C的方程,令y=0等内容,欢迎下载使用。

