2025高考数学一轮考点突破训练第二章函数2.7函数的应用第1课时函数的零点与方程的解
展开例1
(1) 函数的零点所在的区间是 ( B )
A. B. C. D.
解:函数 在 上单调递增,且在 上连续.因为,,所以函数的零点所在的区间是.故选.
(2) 若,则函数的两个零点分别位于区间 ( A )
A. 和内B. 和内
C. 和内D. 和内
解:易知,,.因为,所以,,.又该函数是二次函数,且图象开口向上,所以两个零点分别位于区间 和 内.故选.
【点拨】 理解函数零点存在定理要注意三点.
①“函数在区间上的图象是一条连续不断的曲线”和“”这两个条件缺一不可.如图1仅满足前者,图2仅满足后者,两函数均无零点.
图1
图2
②定理不可逆,就是说满足了①中的两个条件的函数一定有零点,但是一个函数有零点,不一定需要具备这两个条件.如图3中,但函数有零点.
图3
③该定理只能判断出零点的存在性,而不能判断出零点的个数.至少存在一个零点,就是说满足了①中的两个条件的函数一定至少有一个零点,但不一定只有一个零点,可能有其他更多的零点,如图4.但若该函数是单调函数,则有唯一零点.
图4
变式1
(1) 方程的解所在的区间是( B )
A. B. C. D.
解:令,,易知 单调递增.又,,故其唯一零点在 内故选.
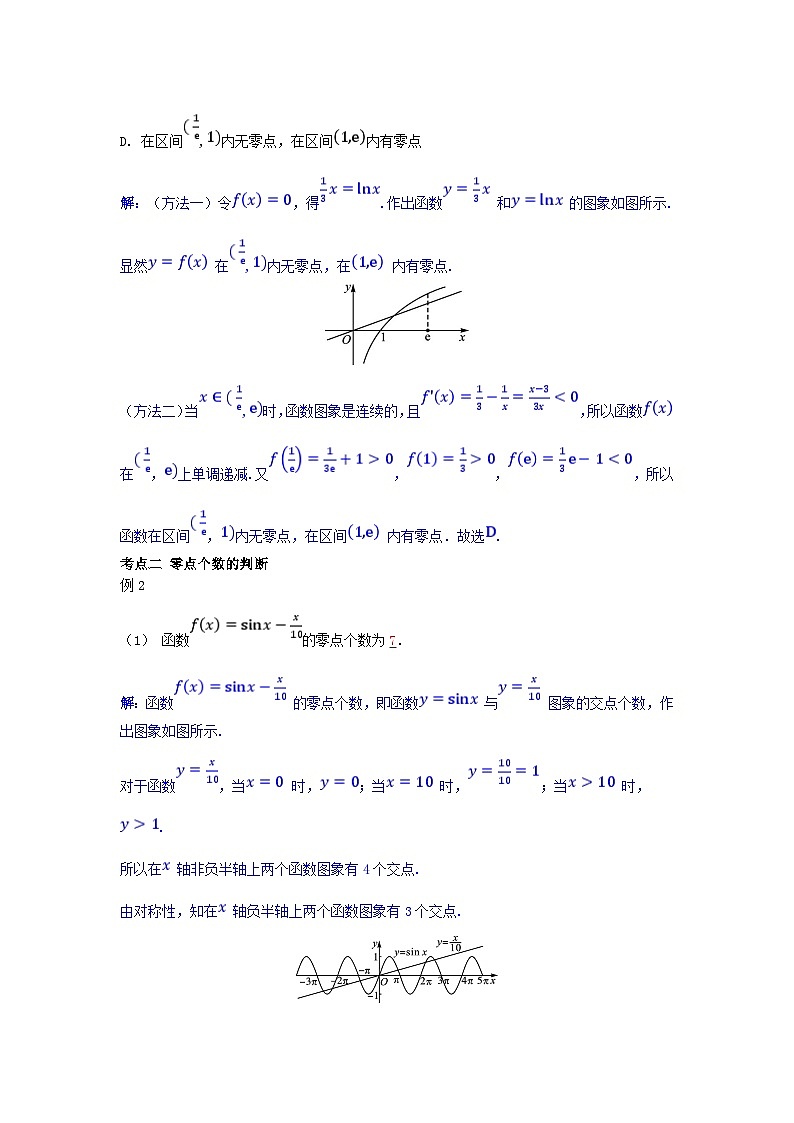
(2) 设函数,则函数( D )
A. 在区间,,内均有零点
B. 在区间,,内均无零点
C. 在区间,内有零点,在区间内无零点
D. 在区间,内无零点,在区间内有零点
解:(方法一)令,得.作出函数 和 的图象如图所示.显然 在,内无零点,在 内有零点.
(方法二)当,时,函数图象是连续的,且,所以函数 在,上单调递减.又,,,所以函数在区间,内无零点,在区间 内有零点.故选.
考点二 零点个数的判断
例2
(1) 函数的零点个数为7.
解:函数 的零点个数,即函数 与 图象的交点个数,作出图象如图所示.
对于函数,当 时,;当 时,;当 时,.
所以在 轴非负半轴上两个函数图象有4个交点.
由对称性,知在 轴负半轴上两个函数图象有3个交点.
综上,函数 的零点个数为7.故填7.
(2) 若定义在上的偶函数满足,当时,,则函数的零点个数是( B )
A. 5B. 4C. 3D. 2
解:由题意,知 是周期为2的偶函数.在同一坐标系内作出函数 及 的图象,如图所示.
观察图象,可以发现它们有4个交点,即函数 有4个零点.故选.
【点拨】判断函数零点个数的主要方法:①解方程法;②数形结合法,即转化为两个函数图象的交点个数;③零点存在性定理结合函数的性质.
变式2
(1) 函数的零点个数是3.
解:当 时,令,.
画出 与 的图象如图所示.
两图象有2个交点,则 有2个零点.
当 时,由,得.
综上,函数 的零点个数为3.故填3.
(2) 偶函数满足,且在时,,则关于的方程在上的解的个数是3.
解:由,得,所以函数 是周期为2的周期函数.又函数 为偶函数,且在 时,,则函数 与 的图象如图所示.
对于,有,当 时,的图象才会在直线 的上方.易知两函数图象有3个交点,故关于 的方程 的解的个数是3.故填3.
考点三 函数零点的应用
例3
(1) 函数的一个零点在区间内,则实数的取值范围是( C )
A. B. C. D.
解:因为函数 在区间 上单调递增,且一个零点在区间 内,所以 且,即 所以.故选.
(2) 已知函数若关于的方程有且只有一个实数根,则实数的取值范围是 .
解:由题意,知函数 的图象与 的图象有且只有一个交点.如图,结合函数图象,可知,故填.
【点拨】 含参的零点分布问题,通常考虑分离参数,将零点问题转化为两个函数图象的交点问题,从而求解参数.分离参数的过程中需要考虑函数的实际情况拆分成便于分析的两个函数.有时还可以通过画函数图象来解决参数问题.
变式3
(1) 若函数在区间上存在一个零点,则实数的取值范围是( B )
A. ,B. ,
C. ,D.
解:显然.因为 在 上为单调函数,且在区间 上存在一个零点,所以,即,解得 或.故选.
(2) 已知函数若关于的方程恰有三个不同的实数解,则实数的取值范围是 ( C )
A. B. C. D.
解: 恰有三个不同的实数解等价于函数 的图象与直线 有三个交点.作出 的图象如图所示.
由图,可知当 的图象与直线 有三个交点时,,解得.
所以实数 的取值范围为.故选.
课外阅读·二次方程根的分布
设,是实系数一元二次方程的两个不同实数根,则,的分布范围与系数之间的关系如表所示.
1. 一元二次方程有一个根比1大,另一个根比小,则的取值范围是( B )
A. B. C. D.
解:设,
抛物线开口向上,所以 解得.
故选.
2. 若函数既有极大值也有极小值,则的取值范围是( A )
A. B. C. D.
解:函数 的定义域为,.由题意,得方程,即 有两个不相等的正根,设为,.则 解得,即 的取值范围为.故选.根的分布(且,,均为常数)
图象
满足的条件
只有一根在区间内,且
2025高考数学一轮考点突破训练第二章函数2.6函数的图象: 这是一份2025高考数学一轮考点突破训练第二章函数2.6函数的图象,共9页。试卷主要包含了作图,识图,用图等内容,欢迎下载使用。
2025高考数学一轮考点突破训练第二章函数2.7函数的应用第2课时函数模型及其应用: 这是一份2025高考数学一轮考点突破训练第二章函数2.7函数的应用第2课时函数模型及其应用,共6页。试卷主要包含了用函数图象刻画变化过程,已知函数模型解决实际问题,建立函数模型解决实际问题等内容,欢迎下载使用。
2025高考数学一轮考点突破训练第二章函数专题突破2函数的值域: 这是一份2025高考数学一轮考点突破训练第二章函数专题突破2函数的值域,共3页。

