2025高考数学一轮考点突破训练第四章三角函数与解三角形专题突破9正余弦定理的综合应用
展开考点一 最值与范围问题
例1 【多选题】设的内角,,的对边分别为,,,若,,则下列选项正确的是( ABC )
A. 外接圆的半径为B. 面积的最大值为
C. 的最大值为D. 的最小值为8
解:对于,由正弦定理,得,可得 外接圆的半径为,所以 正确.
对于,由余弦定理,得,即,当且仅当 时,等号成立,即.所以 面积的最大值为,所以 正确.
对于,由,可得,可得,则.
又由正弦定理,可得 其中,,且,当 时,取得最大值,所以 正确.
对于,由余弦定理,得,得,当且仅当 时,等号成立,故 的最大值为8,所以 错误.
故选.
【点拨】解三角形相关最值范围问题,常见的解题思路有:①化为某一角的三角函数,由三角函数性质确定范围;②化为边的关系,由基本不等式确定范围;③化为关于某变量的函数,通过求函数值域确定范围.
变式1
(1) 在中,内角,,所对的边分别为,,,已知,.则的值为3;若,则周长的最大值为9.
解:,即.因为,,所以,所以.又,所以.
若,由余弦定理可得,则,即,则,解得,即 的最大值为6,当且仅当 时,等号成立.故 周长的最大值为9.故填3;9.
(2) 在锐角三角形中,内角,,所对的边分别为,,,已知,,则的取值范围为(0,).
解:根据正弦定理,
可得,.
所以
.
又因为 为锐角三角形,
所以,,故.
所以,.
所以 的取值范围为(0,).故填(0,).
考点二 多三角形背景问题
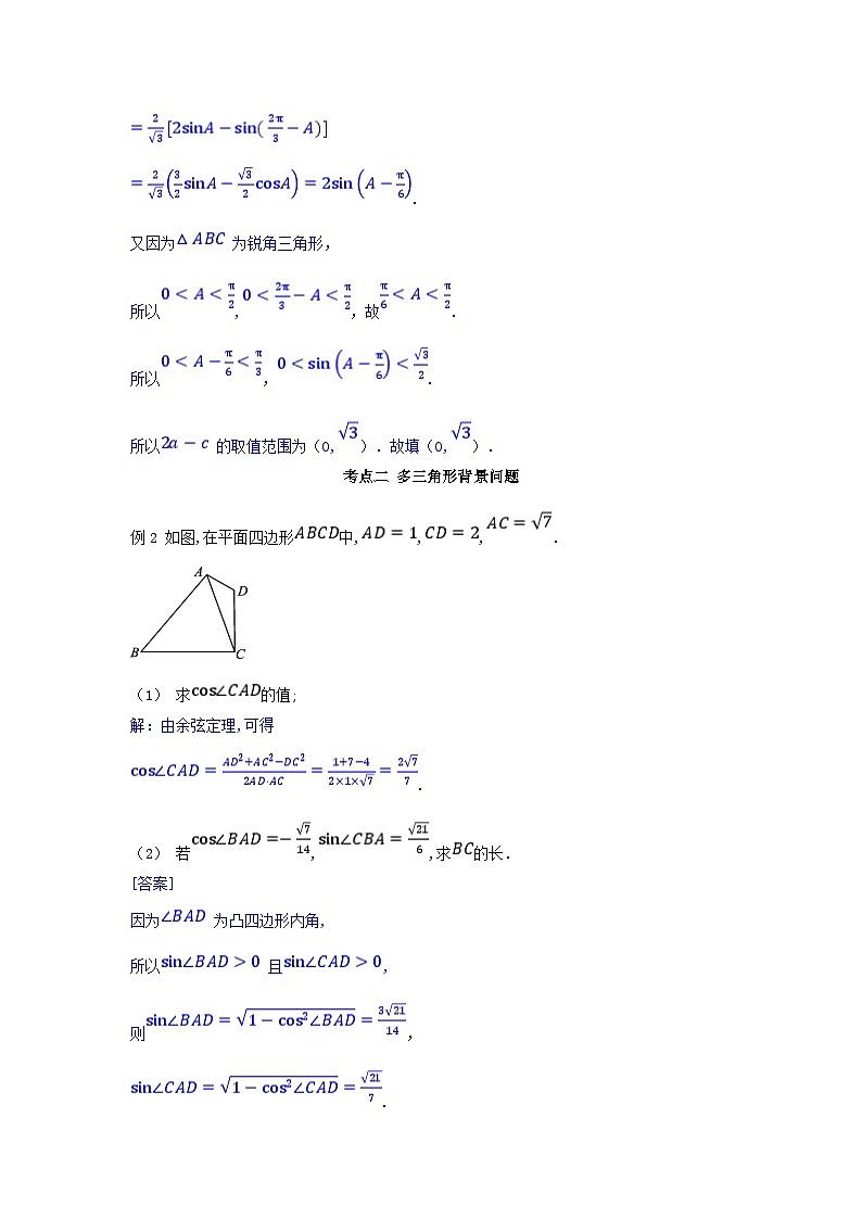
例2 如图,在平面四边形中,,,.
(1) 求的值;
解:由余弦定理,可得
.
(2) 若,,求的长.
[答案]
因为 为凸四边形内角,
所以 且,
则,
.
则
.
由正弦定理,
可得.
【点拨】若已知量与未知量涉及两个或两个以上的三角形,则需作出这些三角形,先解可用正弦定理或余弦定理直接求解的三角形,然后逐步求解其他三角形.有时需设出未知量,从几个三角形中列出方程(组),通过解方程(组)得出所要求的量.
变式2 如图,在平面四边形中,已知,,.在边上取点,使得,连接,.若,.
(1) 求的值;
解:在 中,由正弦定理,
知.
所以.
(2) 求的长.
[答案]
因为,所以.
所以
.
因为,所以 为直角三角形.
又,所以.
在 中,.
所以.
考点三 三角形中线、高线及角平分线问题
例3 【多选题】在中,,,,点在线段上,下列结论正确的是( BC )
A.
B. 若是中线,则
C. 若是角平分线,则
D. 若,则是线段的三等分点
解:对于,在 中,由余弦定理,得.
因为,所以,故 错误.
对于,若 是中线,则,即,所以,故 正确.
对于,若 是角平分线,则,即,解得,故 正确.
对于,若 为线段 的三等分点,则 或,即 或.则,或.
所以 或,故 错误.
故选.
【点拨】①三角形中的角平分线、中线问题的处理策略:
②三角形中的等分点问题主要借助向量解决,高线问题主要借助面积解决.
变式3
(1) [2023年全国甲卷]在中, ,,,为上一点,为的平分线,则2.
解:如图,依题意,
由正弦定理,可得,所以.
又 ,所以 ,所以 .
又 为 的平分线,且 ,所以 .
又 ,所以 ,所以.故填2.
(2) 在中,内角,,的对边分别为,,,且,.
① 证明:.
解:证明:因为,所以
由正弦定理 及余弦定理,得
.
又,所以.
所以,所以.
② 若的面积为,求边上的高.
[答案]
由①,得 或由余弦定理,得.
因为 ,所以.
所以 的面积,所以.
设 边上的高为,
则 的面积.
所以,即 边上的高为.
规范答题——三角函数与解三角形解答题
【范例】 [2023年新课标Ⅱ卷第17题](10分)
记的内角,,的对边分别为,,,已知的面积为,为的中点,且.
(1) 若,求;
解:在 中,因为 为 的中点,,,
所以,解得.(2分)(由面积关系求.)
在 中,,由余弦定理,得,解得.(3分)(求.)
则.(4分)(利用余弦定理求.)
,
所以.(5分)(利用同角三角函数基本关系式求正切.)
(2) 若,求,.
[答案]
在 与 中,由余弦定理,得
整理,得,而,则.(7分)(多三角形联立求.)
由,解得
.而 ,于是.(9分)(利用面积求角.)
所以.(10分)(计算,.)
【拆解】
【一题多解】
(1)在中,由余弦定理,得,解得.由,得,.
如图,过点作于点,于是,,则,
所以.
(2)在中,因为为的中点,所以,又,
于是,即,解得.
又,解得,
而 ,于是,所以.
【总结提升】本题选自2023年新课标Ⅱ卷第17题,难度不大,但具有一定的开放性(思维开放),总体上仍属于解三角形中的多三角形问题,考查中线的应用.解第(1)问这类问题的基本思路是正弦定理、余弦定理、面积公式的应用求值,需要利用三角函数相关公式化简;解第(2)问这类问题的思路,仍是多三角形联立使用正弦定理、余弦定理,也可以用向量法,这对图形的准确把握有一定的要求.分类
参考赋分
难易
审题要点
考查内容
第一问
5分
中
(1)利用三角形面积公式求出,再利用余弦定理求解作答,需要利用同角三角函数基本关系式求正切值.
(2)需要多三角形联立,利用余弦定理求出,再利用三角形面积公式求出即可求解作答.
在基础性的层次上,考查推理论证、运算求解等关键能力,以及同角三角函数基本关系式等基础知识.
第二问
5分
中偏上
在应用性的层次上考查推理论证、运算求解等关键能力,以及平面图形中的三角形的应用等必备知识,对数学思维有一定的要求.
2025届新高考数学专题复习-三角函数与正余弦定理压轴题9题型汇总: 这是一份2025届新高考数学专题复习-三角函数与正余弦定理压轴题9题型汇总,文件包含三角函数与正余弦定理压轴题9题型汇总解析版pdf、三角函数与正余弦定理压轴题9题型汇总学生版pdf等2份试卷配套教学资源,其中试卷共72页, 欢迎下载使用。
2025高考数学一轮考点突破训练第四章三角函数与解三角形4.4三角函数的图象与性质: 这是一份2025高考数学一轮考点突破训练第四章三角函数与解三角形4.4三角函数的图象与性质,共10页。试卷主要包含了三角函数的定义域、值域,三角函数的周期性,三角函数的奇偶性,三角函数图象的对称性,三角函数的单调性等内容,欢迎下载使用。
2025高考数学一轮考点突破训练第四章三角函数与解三角形4.5函数y=Asinωx+φ及三角函数的应用: 这是一份2025高考数学一轮考点突破训练第四章三角函数与解三角形4.5函数y=Asinωx+φ及三角函数的应用,共11页。试卷主要包含了由图象确定的解析式,函数图象与性质的综合应用等内容,欢迎下载使用。

