浙江省杭州市西湖区2024年九年级下学期6月份初中毕业生学业水平模拟考试英语试题
展开浙江省杭州市西湖区2024年6月份初中毕业生学业水平模拟考试英语试题: 这是一份浙江省杭州市西湖区2024年6月份初中毕业生学业水平模拟考试英语试题,共8页。
2024年浙江省杭州市西湖区九年级下学期一模英语试题: 这是一份2024年浙江省杭州市西湖区九年级下学期一模英语试题,共10页。试卷主要包含了本试卷分试题卷和答题卷两部分,考试结束后,只需上交答题卷等内容,欢迎下载使用。
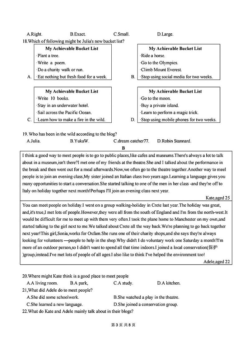
2024年浙江省杭州市西湖区九年级下学期一模英语试题: 这是一份2024年浙江省杭州市西湖区九年级下学期一模英语试题,共9页。

