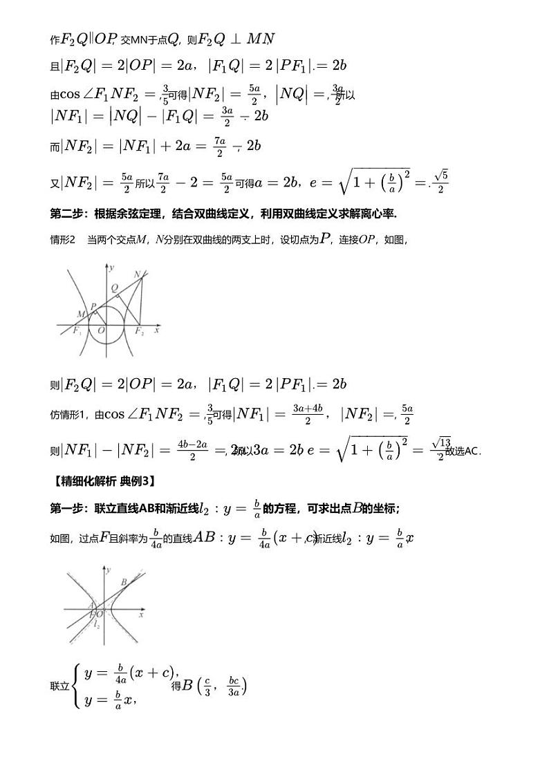
高考数学经典多题一解:直线与圆锥曲线的位置关系 [专题4] 离心率题 定义方程 【 讲】
展开新高考数学二轮复习讲练测 专题11 离心率问题速解(精讲精练): 这是一份新高考数学二轮复习讲练测 专题11 离心率问题速解(精讲精练),文件包含专题11离心率问题速解精讲精练原卷版docx、专题11离心率问题速解精讲精练解析版docx等2份试卷配套教学资源,其中试卷共89页, 欢迎下载使用。
最新高考数学二轮复习(新高考)【专题突破精练】 第29讲 离心率问题速解: 这是一份最新高考数学二轮复习(新高考)【专题突破精练】 第29讲 离心率问题速解,文件包含第29讲离心率问题速解原卷版docx、第29讲离心率问题速解解析版docx等2份试卷配套教学资源,其中试卷共59页, 欢迎下载使用。
2023高考数学二轮专题复习 专题11 离心率问题速解(精讲精练)(解析版): 这是一份2023高考数学二轮专题复习 专题11 离心率问题速解(精讲精练)(解析版),文件包含专题11离心率问题速解精讲精练解析版docx、专题11离心率问题速解精讲精练原卷版docx等2份试卷配套教学资源,其中试卷共88页, 欢迎下载使用。

