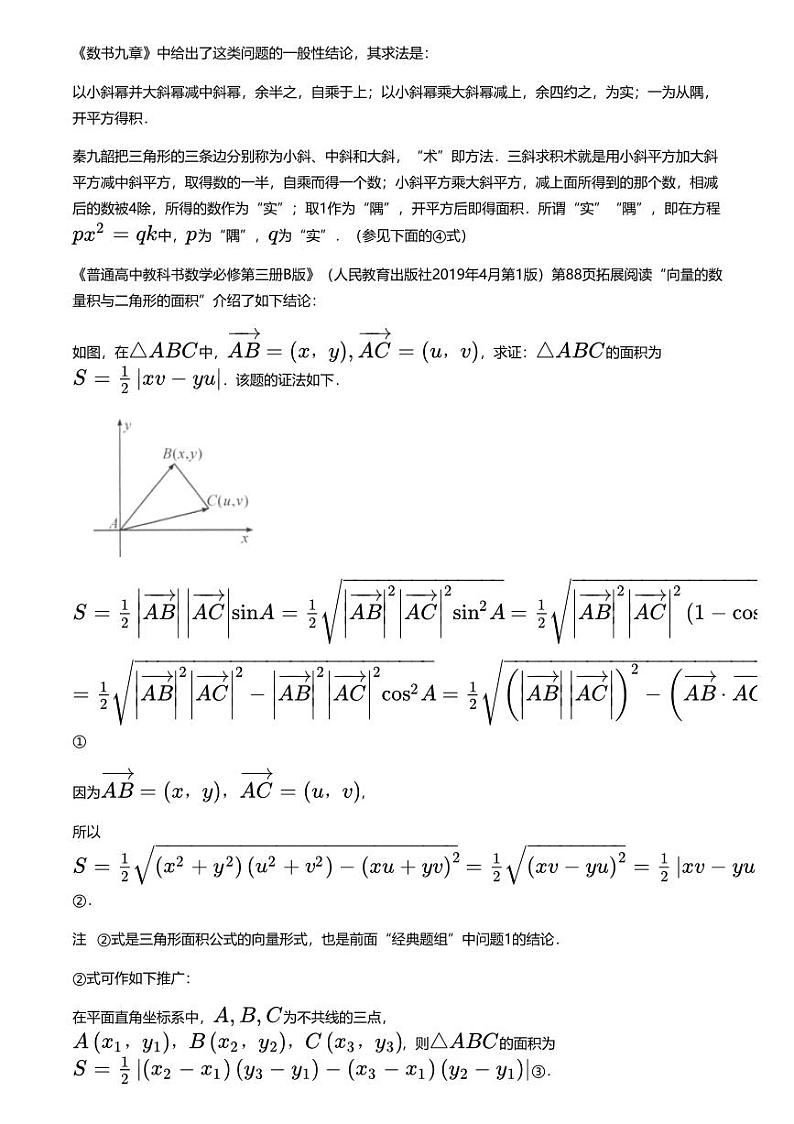
高考数学经典多题一解:平面向量与复数 [专题1] 三斜求积+巧求面积+ 【讲】
展开高考数学经典多题一解:直线与圆锥曲线的位置关系 [专题4] 离心率题 定义方程 【 讲】: 这是一份高考数学经典多题一解:直线与圆锥曲线的位置关系 [专题4] 离心率题 定义方程 【 讲】,共11页。
高考数学经典多题一解:直线与圆锥曲线的位置关系 [专题4] 离心率题 定义方程 【 练】: 这是一份高考数学经典多题一解:直线与圆锥曲线的位置关系 [专题4] 离心率题 定义方程 【 练】,共9页。
高考数学经典多题一解:直线与圆锥曲线的位置关系 [专题2] 垂径定理 拓展延伸 【讲】: 这是一份高考数学经典多题一解:直线与圆锥曲线的位置关系 [专题2] 垂径定理 拓展延伸 【讲】,共11页。

