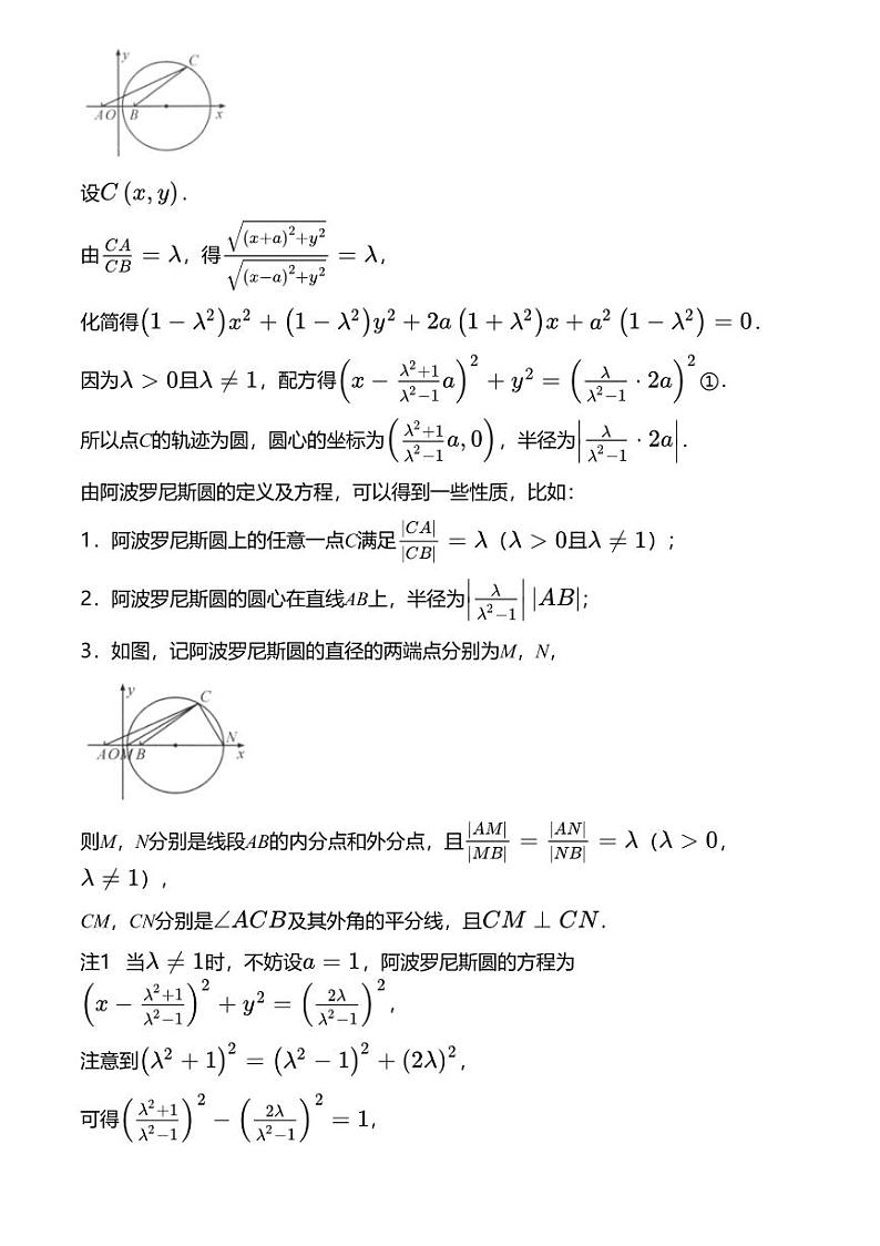
高考数学经典多题一解:直线与圆 [专题1] 超级名圆 性质优先 【讲】
展开新高考数学二轮复习 专题5 第1讲 直线与圆(练) 【新教材·新高考】: 这是一份新高考数学二轮复习 专题5 第1讲 直线与圆(练) 【新教材·新高考】,文件包含第1讲直线与圆练·教师版docx、第1讲直线与圆练·学生版docx等2份试卷配套教学资源,其中试卷共16页, 欢迎下载使用。
新高考数学二轮复习 专题5 第1讲 直线与圆(讲) 【新教材·新高考】: 这是一份新高考数学二轮复习 专题5 第1讲 直线与圆(讲) 【新教材·新高考】,文件包含第1讲直线与圆讲·教师版docx、第1讲直线与圆讲·学生版docx等2份试卷配套教学资源,其中试卷共26页, 欢迎下载使用。
【讲通练透】专题11 直线与圆-2024高考数学题源解密(全国通用): 这是一份【讲通练透】专题11 直线与圆-2024高考数学题源解密(全国通用),文件包含专题11直线与圆原卷版docx、专题11直线与圆解析版docx等2份试卷配套教学资源,其中试卷共50页, 欢迎下载使用。

