资料中包含下列文件,点击文件名可预览资料内容
还剩4页未读,
继续阅读
2024届深圳中学高考押题卷数学试题+答案
展开
这是一份2024届深圳中学高考押题卷数学试题+答案,文件包含深圳中学2024届高三年级高考适应性测试数学参考答案pdf、深圳中学高考押题卷pdf等2份试卷配套教学资源,其中试卷共11页, 欢迎下载使用。
相关试卷
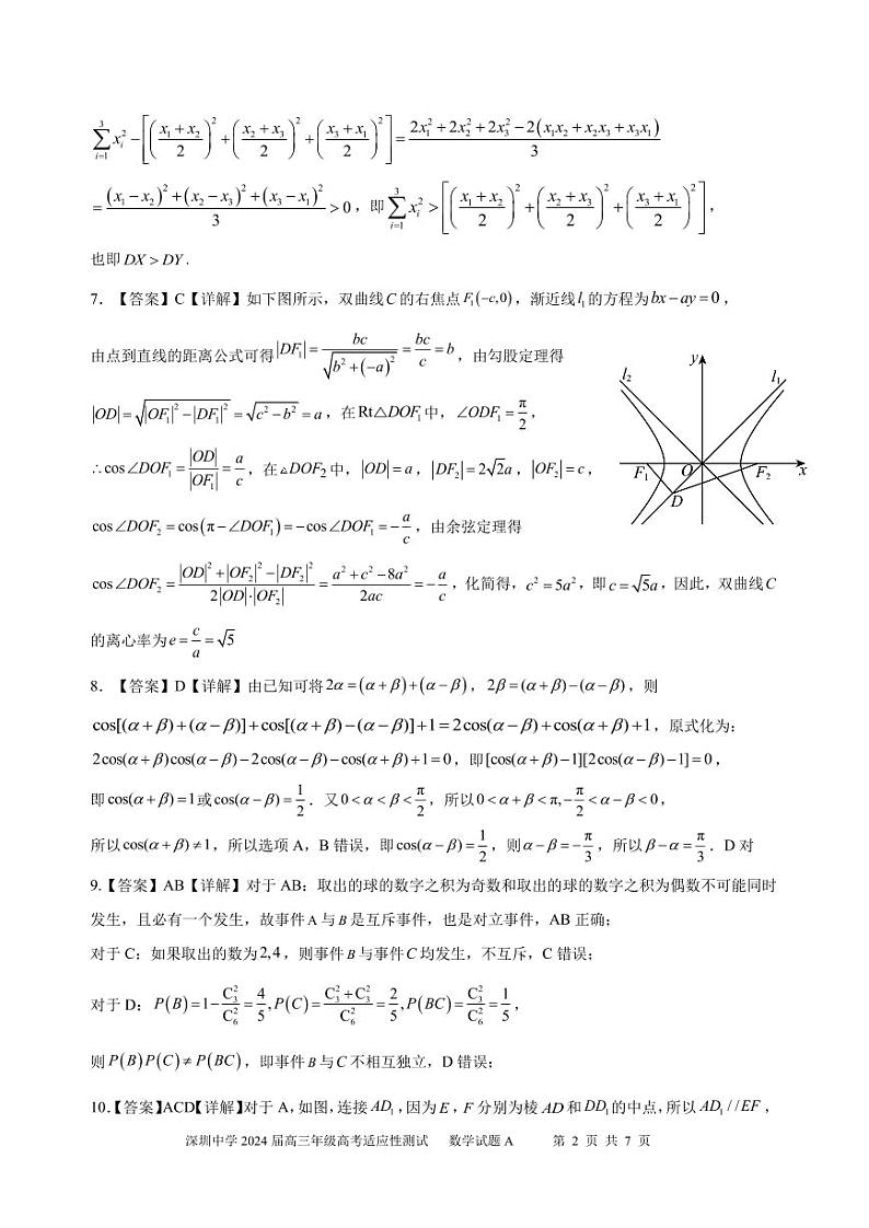
深圳中学2024高考押题数学试卷及答案:
这是一份深圳中学2024高考押题数学试卷及答案,共11页。
2023年高考考前押题密卷(江苏卷)数学试题含答案:
这是一份2023年高考考前押题密卷(江苏卷)数学试题含答案,共20页。试卷主要包含了本试卷分第Ⅰ卷两部分,下列结论正确的是等内容,欢迎下载使用。
2023年高考考前押题密卷数学试题(天津卷)含答案:
这是一份2023年高考考前押题密卷数学试题(天津卷)含答案,共19页。试卷主要包含了本试卷分第Ⅰ卷两部分,已知函数,以下说法中,正确的是等内容,欢迎下载使用。

