所属成套资源:【二轮复习】2024届高考数学《8+3+3》小题强化训练(新高考九省联考题型)
【二轮复习】高考数学“8+3+3”小题强化训练5(新高考九省联考题型).zip
展开
这是一份【二轮复习】高考数学“8+3+3”小题强化训练5(新高考九省联考题型).zip,文件包含二轮复习高中数学“8+3+3”小题强化训练5新高考九省联考题型原卷版docx、二轮复习高中数学“8+3+3”小题强化训练5新高考九省联考题型解析版docx等2份试卷配套教学资源,其中试卷共13页, 欢迎下载使用。
1.样本数据16,24,14,10,20,30,12,14,40的中位数为( )
A. 14B. 16C. 18D. 20
【答案】B
【解析】将这些数据从小到大排列可得:10,12,14,14,16,20,24,30,40,
则其中位数为16.
故选:B.
2.若复数是纯虚数,则实数( )
A. B. C. D.
【答案】A
【解析】,则,有.
故选:A
3.已知圆,圆,则这两圆的位置关系为( )
A. 内含B. 相切C. 相交D. 外离
【答案】A
【解析】由题设,:,:,
∴,半径;,半径;,
∴,即两圆内含.
故选:A
4.有5辆车停放6个并排车位,货车甲车体较宽,停靠时需要占两个车位,并且乙车不与货车甲相邻停放,则共有( )种停放方法.
A. 72B. 144C. 108D. 96
【答案】A
【解析】先停入货车甲,若货车甲不靠边,共有种停法,则乙车有种停法,
除甲、乙外的其它三辆车共有种停法;
若货车甲靠边,共有种停法,则乙车有种停法,
除甲、乙外的其它三辆车的排法共有种,
故共有种停放方法.
故选:A.
5.冬季是流感高发期,其中甲型流感病毒传染性非常强.基本再生数与世代间隔是流行病学基本参考数据.某市疾控中心数据库统计分析,可以用函数模型来描述累计感染甲型流感病毒的人数随时间t,(单位:天)的变化规律,其中指数增长率与基本再生数和世代间隔T之间的关系近似满足,根据已有数据估计出时,.据此回答,累计感染甲型流感病毒的人数增加至的3倍至少需要(参考数据:,)( )
A. 6天B. 7天C. 8天D. 9天
【答案】B
【解析】依题意,,且时,,
即,所以,,
令,两边取以为底对数得,
所以至少需要天.
故选:B
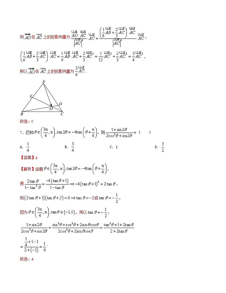
6.在等边中,已知点,满足,,与交于点,则在上的投影向量为( )
A. B. C. D.
【答案】C
【解析】如图,,
,
则,得,,
即,
则在上的投影向量为,
,
所以在上的投影向量为.
故选:C
7.已知,则( )
A. B. C. 1D.
【答案】A
【解析】由题,
得,
则或,
因为,所以,
.
故选:A
8.已知椭圆:的左右焦点分别为,,过的直线交椭圆于A,B两点,若,点满足,且,则椭圆C的离心率为( )
A. B. C. D.
【答案】B
【解析】由椭圆定义可知,由,故,,
点满足,即,则,
又,,
即,又,
故,则,即,
即平分,又,故,
则,则,
,
,
由,
故,
即,即,又,故.
故选:B.
二、选择题:本题共3小题,每小题6分,共18分.在每小题给出的选项中,有多项符合题目要求.全部选对的得6分,部分选对的得部分分,有选错的得0分.
9.某学校高一年级学生有900人,其中男生500人,女生400人,为了获得该校高一全体学生的身高信息,现采用样本量比例分配的分层随机抽样方法抽取了容量为180的样本,经计算得男生样本的均值为170,方差为19,女生样本的均值为161,方差为28,则下列说法中正确的是( )
A. 男生样本容量为100B. 抽取的样本的方差为43
C. 抽取的样本的均值为166D. 抽取的样本的均值为165.5
【答案】ABC
【解析】∵男生样本量男生人数全体学生数总样本量.故A正确;
样本均值.故C正确D错误;
样本方差:
.故B正确.
故选:ABC.
10.在前n项和为的正项等比数列中,,,,则( )
A. B.
C. D. 数列中的最大项为
【答案】BC
【解析】设等比数列的公比为q,由,有,
联立方程解得或(舍去),
有,可得.
对于A选项,由,,
有,故A选项错误;
对于B选项,,故B选项正确;
对于C选项,由,有,故C选项正确;
对于D选项,由,
令,有,
可得有,
可得数列中的最大项为或,故D选项错误,
故选:BC.
11.已知双曲线的左、右焦点分别为、,过左焦点的直线与双曲线的左支相交于两点(在第二象限),点与关于坐标原点对称,点的坐标为),则下列结论正确的是( )
A. 记直线、的斜率分別为、,则3
B. 若,则
C. 的最小值为6
D. 的取值范围是
【答案】ABD
【解析】若直线与渐近线平行时,
根据对称性不妨取直线方程为,
联立,得,
设,,,
由于两点均在双曲线的左支上,所以,,,
对于A:设,,,
则,,
均在双曲线上,,所以,
所以,,A错误.
对于B:由知,,
由对称性得,,则四边形为矩形,则,
设,,则在中,
由余弦定理得,
即,
即,
,
则,
则,B正确;
对于,
当,,三点共线时,,
,则直线,
联立,解得,与矛盾,故C错误;
对于,
又,所以,
结合,得,的取值范围是,故D正确.
故选:BD
三、填空题:本题共3小题,每小题5分,共15分.
12.已知平面向量满足,,,则向量夹角的余弦值为__________.
【答案】##
【解析】由题设,
所以.
故答案为:
13.若函数在区间内没有零点,则正数ω的取值范围是____.
【答案】
【解析】由,可得,即,
令,则
又在区间内没有零点,
则区间内不存在整数,
又,则正数ω满足,
则,则,解之得,
则正数ω的取值范围是.
故答案为:
14.在四面体中,,若,则四面体体积的最大值是__________,它的外接球表面积的最小值为__________.
【答案】 ①. ②.
【解析】由余弦定理可得,
故,所以,
当且仅当时取等号,故,
故面积的最大值为,
,
由于,所以点在以为直径的球上(不包括平面),故当平面平面时,此时最大为半径,
故,
由正弦定理可得:,为外接圆的半径,
设四面体外接球半径为,则,其中分别为球心和外接圆的圆心,故当时,此时最小,
故外接球的表面积为,
故答案为:,
相关试卷
这是一份【二轮复习】高考数学“8+3+3”小题强化训练27(新高考九省联考题型).zip,文件包含二轮复习高中数学“8+3+3”小题强化训练27新高考九省联考题型原卷版docx、二轮复习高中数学“8+3+3”小题强化训练27新高考九省联考题型解析版docx等2份试卷配套教学资源,其中试卷共10页, 欢迎下载使用。
这是一份【二轮复习】高考数学“8+3+3”小题强化训练26(新高考九省联考题型).zip,文件包含二轮复习高中数学“8+3+3”小题强化训练26新高考九省联考题型原卷版docx、二轮复习高中数学“8+3+3”小题强化训练26新高考九省联考题型解析版docx等2份试卷配套教学资源,其中试卷共11页, 欢迎下载使用。
这是一份【二轮复习】高考数学“8+3+3”小题强化训练20(新高考九省联考题型).zip,文件包含二轮复习高中数学“8+3+3”小题强化训练20新高考九省联考题型原卷版docx、二轮复习高中数学“8+3+3”小题强化训练20新高考九省联考题型解析版docx等2份试卷配套教学资源,其中试卷共10页, 欢迎下载使用。

