资料中包含下列文件,点击文件名可预览资料内容





还剩7页未读,
继续阅读
所属成套资源:2024届辽宁省部分学校高三下学期扣题卷(二)
成套系列资料,整套一键下载
2024届辽宁省部分学校高三下学期扣题卷(二)数学试题
展开
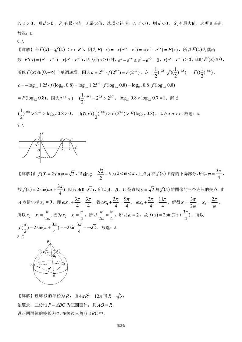
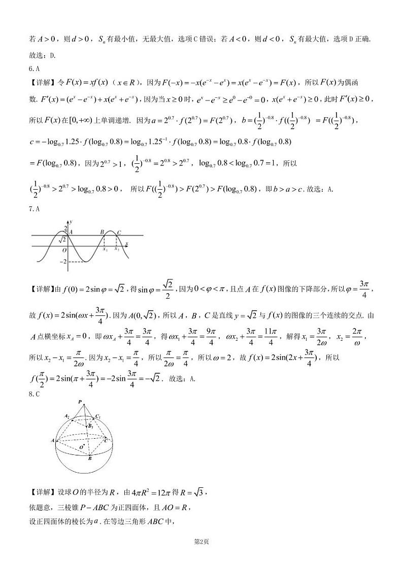
这是一份2024届辽宁省部分学校高三下学期扣题卷(二)数学试题,文件包含第二套数学试卷参考答案pdf、2024年辽宁省高考扣题模拟数学试卷二docx等2份试卷配套教学资源,其中试卷共14页, 欢迎下载使用。
相关试卷
2024辽宁省高三下学期4月高考扣题卷(一)数学PDF版含解析:
这是一份2024辽宁省高三下学期4月高考扣题卷(一)数学PDF版含解析,共12页。
辽宁省部分学校2024届高三第二次联考(二模)数学试题(无答案):
这是一份辽宁省部分学校2024届高三第二次联考(二模)数学试题(无答案),共3页。试卷主要包含了选择题,填空题,解答题等内容,欢迎下载使用。
2024届辽宁省高三下学期4月高考扣题卷(一)数学试题:
这是一份2024届辽宁省高三下学期4月高考扣题卷(一)数学试题,共12页。
