上海民办南模中学2023-2024学年高一下学期期中考试数学试卷(原卷版+解析版)
展开1. 已知,则_______.
【答案】
【解析】
【分析】利用余弦函数二倍角公式,将被开方数化为完全平方数,结合的范围即可得解.
【详解】因为,所以,
所以 .
故答案为:.
2. 函数值域是______.
【答案】
【解析】
【分析】利用辅助角公式化简函数,再利用整体法求值域.
【详解】
,
又,
.
的值域为.
故答案为:
3. 已知,则_______________.
【答案】##
【解析】
【分析】根据二倍角的正切公式即可得到答案.
【详解】由,可得,
故.
故答案为:.
4. 若在中,,则______.
【答案】
【解析】
【分析】利用数量积的定义和余弦定理可求的值.
【详解】
,
故答案为:.
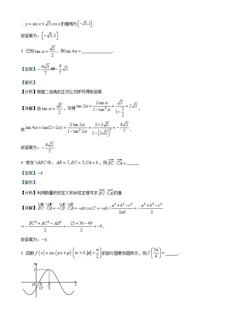
5. 函数的部分图象如图所示,则______.
【答案】##
【解析】
【分析】根据图象求得,进而可得,再代入最大值点即可求得的值,进而可求得.
【详解】由已知可得,,所以,所以,
所以.
又因为在处取得最大值,
所以有,
所以.
又因为,所以,
所以,
所以.
故答案为:.
6. 已知a,b,c为的三个内角A,B,C所对的边,若,则______.
【答案】##
【解析】
【分析】根据正弦定理结合三角恒等变换分析求解.
【详解】因为,由正弦定理可得,
则,
所以.
故答案为:.
7. 将函数的图象向左平移个单位长度后,所得函数在内不是单调函数,则的取值范围是__________.
【答案】
【解析】
【分析】先求出平移后图象对应的解析式,根据单调性可求参数的取值范围.
【详解】由题设可得平移后图象对应的函数解析式为,
因为,故,
因为在不单调,故或,
即或,
所以或,故.
故答案为:.
8. 已知为不共线的平面向量,,若,则在方向上的投影向量为______.
【答案】
【解析】
【分析】根据向量的加减运算以及数量积的运算律求出,结合投影向量的公式即可求得答案.
【详解】由题意知平面向量满足,,
则,即,
可得,整理得,
所以在方向上的投影向量为.
故答案为:.
9. 已知函数,若在上恒成立,则的取值范围为______.
【答案】
【解析】
【分析】根据解析式作出函数图象,根据性质找出的值,结合图象即可得解.
【详解】大致图象如图:
,,.
当时,或.
如上图所示,当时,恒成立.
所以的取值范围为.
故答案为:
10. 函数,关于函数的零点情况有下列说法:
①当取某些值时,无零点; ②当取某些值时,恰有1个零点;
③当取某些值时,恰有2个不同的零点; ④当取某些值时,恰有3个不同的零点.
则正确说法的全部序号为______.
【答案】①②③
【解析】
【分析】画出函数的图象,结合与的交点的横坐标,结合图象和三角函数的性质,逐项判定,即可求解.
【详解】画出函数的图象,如图所示,
因为,令,即,
则函数的零点,即为与的交点的横坐标,
对于①中,当时,在上与无公共点,所以①正确;
对于②中,当时,在上与只有1个公共点,所以②正确;
对于③中,当时,在上与有2个公共点,所以③正确;
对于④中,由图象可得,函数与不相邻的两个交点的横坐标间的距离为最小正周期的整数倍,即,
因为,可得,所以不存在的值,使得有3个零点,所以④不正确.
故答案为:①②③
11. 在中,已知A,B,C的对边分别为a,b,c,且满足,若O为的外心,,则实数______.
【答案】
【解析】
【分析】结合余弦定理可从得到,再借助,结合向量数量积公式、二倍角公式与正弦定理,可得,即可得解.
【详解】,
又,故有,
化简得,故有,
由,则有,
即有,
有
,
,
由,故,
故.
故答案为:.
【点睛】关键点点睛:本题关键点在对所给条件的变形转化上,对,结合降幂公式与余弦定理,可得,对,左右同乘,可借助数量积公式将左边化为,借助向量的线性运算与正弦定理及二倍角公式可将右边化为,即可得解.
12. 如图,已知,,为边上的两点,且满足,,则当取最大值时,的面积等于______.
【答案】##
【解析】
【分析】由题设足,考虑三角形的面积之比,将其化简得,借助于余弦定理和基本不等式求得的最大值和此时的三角形边长,由面积公式即可求得.
【详解】
如图,不妨设,分别记的面积为,
则①②
由①,②两式左右分别相乘,可得:,故得:.
设,在中,由余弦定理,,因,则,当且仅当时,等号成立,
此时,因,故,取得最大值,此时面积等于.
故答案为:.
【点睛】思路点睛:对条件等式的转化,本题中,注意到有角的相等和边长乘积的比,结合图形容易看出几个等高的三角形,故考虑从面积的比入手探究,即得关键性结论,之后易于想到余弦定理和基本不等式求出边长和角即得.
二、选择题(本大题共有4题,满分18分,第13、14题每题4分,第15、16题每题5分)每题有且只有一个正确选项.考生应在答题纸的相应位置,将代表正确选项的小方格涂黑.
13. 《九章算术》是一部中国古代的数学专著.第一章《方田》主要讲各种形状的田地面积的计算方法,其中将圆环或不足一匝的圆环形田地称为“环田”(注:匝,意为周,环绕一周叫一匝)书中提到如图所示的一块“环田”:中周九十五步,外周一百二十五步,所在扇形的圆心角大小为5(单位:弧度),则“该环田”的面积为( )
A. 600平方步B. 640平方步
C. 660平方步D. 700平方步
【答案】C
【解析】
【分析】设中周的半径是,外周的半径是,圆心角为,根据中周九十五步,外周一百二十五步,列关系式即可.
【详解】设中周的半径是,外周的半径是,圆心角为,,解得:,
则“该环田”的面积为平方步.
故选:C
14. 已知函数,若在区间上是单调函数,则实数的取值范围是( )
A. B. C. D.
【答案】C
【解析】
【分析】根据已知条件化为,利用换元法化为,结合正弦函数的单调性即可确定实数的取值范围.
【详解】
,令,
则,因为,所以;
又因为在区间上是单调函数,
则在区间上是单调函数,
所以,即,解得.
故选:C
15. 在中,角所对的边分别为,且,设的面积为,若,则此三角形的形状为( )
A. 等腰三角形B. 直角三角形C. 等边三角形D. 等腰直角三角形
【答案】C
【解析】
【分析】首先由三角形面积公式数量积定义得,结合化简得,即,由此即可判断.
【详解】因为,所以,解得,
又,
所以,
因为,
所以,
所以,
所以,即,
又,
所以此三角形的形状为等边三角形.
故选:C.
16. 已知向量满足:为单位向量,且和相互垂直,又对任意不等式恒成立,若,则的最小值为( )
A. 1B. C. D.
【答案】D
【解析】
【分析】根据已知由向量垂直可得的模,再由不等式恒成立,结合图象可得,从而可得,接下来方法一,直接对进行平方化简,由二次函数最值可解;方法二,由三点共线基本定理,结合三角形面积公式和余弦定理可解.
【详解】和相互垂直,
则,则,
结合图象,,
则 ,
因为恒成立,则,
即,则,
法(一):
对称轴时:
,即
法(二):,因为,
所以向量的终点共线(起点重合),
则的面积,
,所以.
故选:.
【点睛】关键点点睛:数形结合发现,,则 ,因为恒成立,则.
三、解答题 (本大题满分78分) 本大题共有5题,解答下列各题必须在答题纸相应编号的规定区域内写出必要的步骤
17. 已知角的终边经过点.
(1)求的值;
(2)求的值.
【答案】(1)
(2)
【解析】
【分析】(1)由三角函数定义得,进一步结合诱导公式化简求值即可;
(2)由商数关系化成关于的齐次式即可求解.
【小问1详解】
由条件知,
;
【小问2详解】
.
18. 已知向量满足.
(1)求的值;
(2)求向量与的夹角的余弦值.
【答案】(1);
(2).
【解析】
【分析】(1)根据平面向量数量积的定义求解即可;
(2)根据平面向量的夹角和模长公式求解即可.
【小问1详解】
因为,,
所以
.
【小问2详解】
所以.
19. 摩天轮是一种大型转轮状的机械建筑设施,游客坐在摩天轮的座舱里慢慢地往上转,可以从高处俯瞰四周景色如图,某摩天轮最高点距离地面高度为100m,转盘直径为90m,均匀设置了依次标号为1~48号的48个座舱.开启后摩天轮按照逆时针方向匀速旋转,游客在座舱转到距离地面最近的位置进舱,开始转动t min后距离地面的高度为H m,转一周需要30min.
(1)求在转动一周的过程中,H关于t的函数解析式;
(2)若甲、乙两人分别坐在1号和9号座舱里,在运行一周的过程中,求两人距离地面的高度差h(单位:m)关于t的函数解析式,并求高度差的最大值.
【答案】(1),.
(2)
【解析】
【分析】(1)如图,设座舱距离地面最近的位置为点P,以轴心Q为原点,与地面平行的直线为x轴建立直角坐标系,座舱转动的角速度约为,计算得到答案.
(2)计算,,相减得到
,计算最值得到答案.
【小问1详解】
如图,设座舱距离地面最近的位置为点P,以轴心Q为原点,与地面平行的直线为x轴建立直角坐标系,
设时,游客甲位于点,以OP为终边的角为;
根据摩天轮转一周大约需要30min,可知座舱转动的角速度约为,
由题意可得,.
【小问2详解】
如图,甲、乙两人的位置分别用点A,B表示,则.
经过后甲距离地面的高度为,
点B相对于点A始终落后,
此时乙距离地面的高度为.
则甲、乙距离地面的高度差,
利用,
可得,.
当或,
即或(舍去)时,h的最大值为
所以甲、乙两人距离地面的高度差的最大值约为
20. 将函数的图像进行如下变换:先向下平移个单位长度,再向左平移个单位长度,得到函数的图像
(1)求的最小正周期及单调增区间
(2)当时,方程有两个不等的实根,求实数的取值范围
(3)若函数在区间内恰有2022个零点,求的所有可能取值
【答案】(1),;
(2)
(3)2022或2023或1348
【解析】
【分析】(1)由三角恒等变换化简即可得到函数解析式,再由正弦型函数的单调性,即可得到结果;
(2)根据题意,结合正弦型函数的图像,即可得到结果;
(3)根据题意,由换元法可得,转化为二次函数零点问题,即可求解.
【小问1详解】
,
则由题意可得函数的解析式为,
令,,
则最小正周期为,单调递增区间为,.
【小问2详解】
,则,
若方程有两个不等的实根,结合函数图像可得
小问3详解】
设,则函数等价为
由,得
有两个不等的实数根
当时,,此时在上恰有3个零点
当时,
此时在上恰有2个零点
或
或2023
综上所述,的所有可能取值为2022或2023或1348
21. 对于集合和常数,定义:为集合相对的“余弦方差”.
(1)若集合,,求集合相对的“余弦方差”;
(2)求证:集合,相对任何常数的“余弦方差”是一个与无关的定值,并求此定值;
(3)若集合,,相对任何常数的“余弦方差”是一个与无关的定值,求出、.
【答案】(1)
(2)证明见解析,
(3),或,
【解析】
【分析】(1)根据余弦方差的定义代入即可求解,
(2)根据余弦差定义可得化简分子,根据和差角公式以及同角平方关系即可求解,
(3)根据余弦差定义列出关系式,利用和差角公式以及二倍角公式化简,根据题意可得,即可结合三角函数的性质求解.
【小问1详解】
依题意得,;
【小问2详解】
证明:由“余弦方差”定义得:
,
则分子
,
为定值,与的取值无关.
【小问3详解】
分子
.
要使是一个与无关的定值,
则,
,
与终边关于轴对称或关于原点对称,
又,得与终边只能关于轴对称,
又
则当时,
当时,.
故,或,
故,或,时,相对任何常数的“余弦方差”是一个与无关的定值.
【点睛】关键点点睛:利用公式将所给的集合代入运算,利用和差角公式,二倍角公式化简.
上海市行知中学2023-2024学年高二下学期期中考试数学试卷(原卷版+解析版): 这是一份上海市行知中学2023-2024学年高二下学期期中考试数学试卷(原卷版+解析版),文件包含上海市行知中学2023-2024学年高二下学期期中考试数学试卷原卷版docx、上海市行知中学2023-2024学年高二下学期期中考试数学试卷解析版docx等2份试卷配套教学资源,其中试卷共20页, 欢迎下载使用。
2023-2024学年上海市徐汇区南模中学高二(下)段考数学试卷(含解析): 这是一份2023-2024学年上海市徐汇区南模中学高二(下)段考数学试卷(含解析),共16页。试卷主要包含了单选题,填空题,解答题等内容,欢迎下载使用。
上海市奉贤中学2023-2024学年高一下学期3月月考数学试卷(原卷版+解析版): 这是一份上海市奉贤中学2023-2024学年高一下学期3月月考数学试卷(原卷版+解析版),文件包含上海市奉贤中学2023-2024学年高一下学期3月月考数学试卷原卷版docx、上海市奉贤中学2023-2024学年高一下学期3月月考数学试卷解析版docx等2份试卷配套教学资源,其中试卷共23页, 欢迎下载使用。

