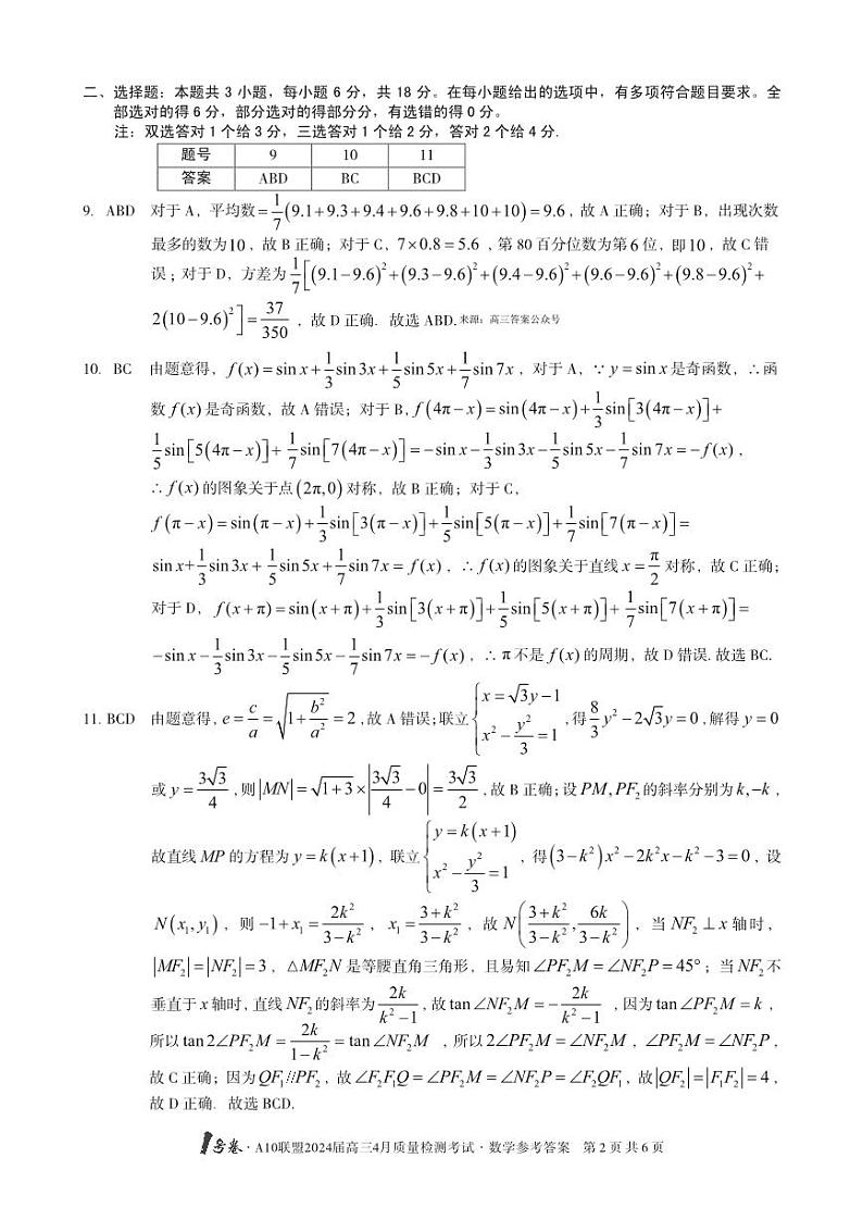
A10联盟2024届高三下学期4月份质量检测考试数学试题及答案
展开2024届1号卷·A10联盟高三下学期4月质检数学试题+答案: 这是一份2024届1号卷·A10联盟高三下学期4月质检数学试题+答案,文件包含数学1号卷·A10联盟2024届高三4月质量检测考试数学答案pdf、A10数学pdf等2份试卷配套教学资源,其中试卷共8页, 欢迎下载使用。
1号卷A10联盟2024届高三开年考数学试题+答案: 这是一份1号卷A10联盟2024届高三开年考数学试题+答案,文件包含1号卷·A10联盟2024届高三开年考数学答案pdf、A10开年考高三数学pdf等2份试卷配套教学资源,其中试卷共11页, 欢迎下载使用。
安徽省A10联盟2023届高三最后一卷数学试题及答案: 这是一份安徽省A10联盟2023届高三最后一卷数学试题及答案,共15页。试卷主要包含了选择题,解答题,填空题等内容,欢迎下载使用。

