所属成套资源:【中考二轮】2023年中考数学二轮核心考点专题提优训练(全国通用)
最新中考数学二轮核心考点专题训练 专题26 反比例函数与几何综合题型归纳
展开
这是一份最新中考数学二轮核心考点专题训练 专题26 反比例函数与几何综合题型归纳,文件包含专题26反比例函数与几何综合题型归纳原卷版docx、专题26反比例函数与几何综合题型归纳解析版docx等2份试卷配套教学资源,其中试卷共85页, 欢迎下载使用。
1、明确模拟练习的目的。检测知识的全面性,更是训练书写规范,表述准确的过程。
2、查漏补缺,以“错”纠错。查漏补缺的过程也就是反思的过程,逐渐实现保强攻弱的目标。
3、严格有规律地进行限时训练。平时如考试,并在速度体验中提高正确率。
4、保证常规题型的坚持训练。做到百无一失,可适当拓展高考中难点的训练。
5、注重题后反思总结。出现问题不可怕,可怕的是不知道问题的存在,在复习中出现的问题越多,说明你距离成功越近,及时处理问题,争取“问题不过夜”。
6、重视每次模拟考试的临考前状态的调整及考后心理的调整。以平和的心态面对高考。
专题26 反比例函数与几何综合题型归纳(原卷版)
类型一 反比例函数与三角形综合
1.(2022秋•岚山区校级期末)如图,直角三角形的直角顶点在坐标原点,∠OAB=30°,点A在反比例函数y=6x(x>0)的图象上,则经过点B的反比例函数解析式为( )
A.y=−1xB.y=−2xC.y=−4xD.y=−6x
2.(2022秋•金水区校级期末)如图,已知直角三角形ABO中,AO=3,将△ABO绕点O点旋转至△A'B'O的位置,且A'在OB的中点,B'在反比例函数y=kx上,则k的值为 .
3.(2022秋•荔湾区校级期末)如图,△ABC是等腰三角形,AB过原点O,底边BC∥x轴,双曲线y=kx过A,B两点,过点C作CD∥y轴交双曲线于点D,若S△BCD=16,则k的值是 .
4.(2023•南海区模拟)如图,在x轴的正半轴上依次截取OA1=A1A2=A2A3=A3A4=A4A5,过点A1,A2,A3,A4,A5分别作x轴的垂线与反比例函数y=2x(x≠0)的图象相交于点P1,P2,P3,P4,P5,得直角三角形OP1A1,A1P2A2,A2P3A3,A3P4A4,A4P5A5,并设其面积分别为S1,S2,S3,S4,S5,则S2022= .
5.(2022秋•桥西区校级期末)如图,一次函数y1=k1x+b的图像与反比例函数y2=k2x(x>0)的图像相交于A(m,6),B(6,1)两点,且与x轴,y轴交于点M,N.
(1)填空:k2= ;m= ;在第一象限内,当y1>y2时,x的取值范围为 ;
(2)连接OA,OB,求△AOB的面积;
(3)点E在线段AB上,过点E作x轴的垂线,交反比例函数图像于点F,若EF=2,求点F的坐标.
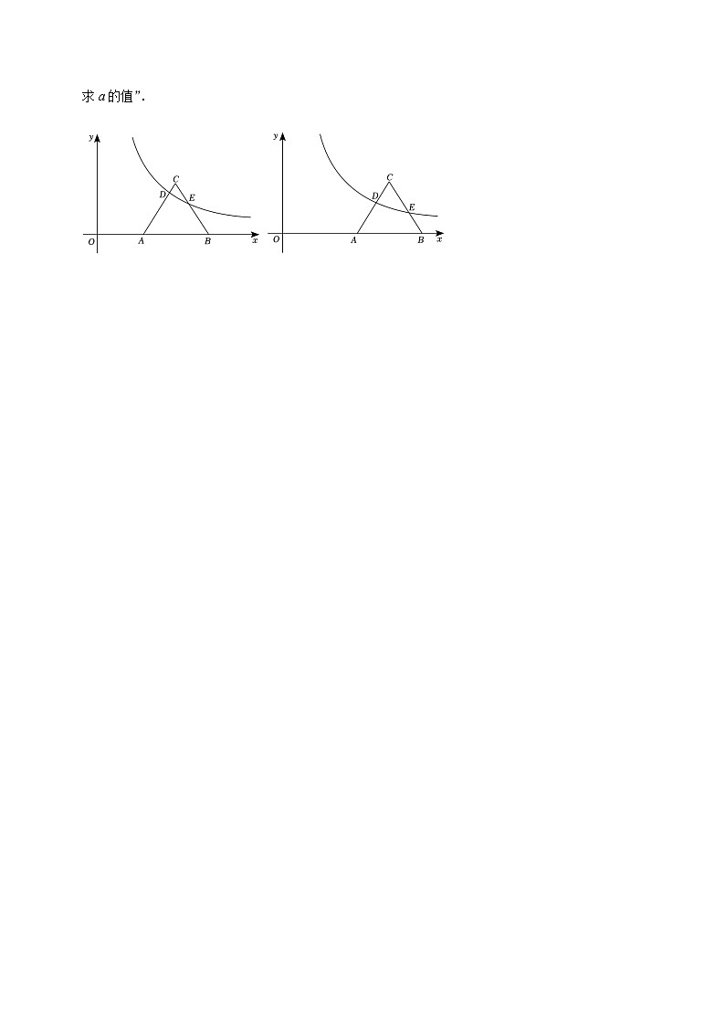
6.(2022秋•龙泉驿区期末)某班在“图形与坐标”的主题学习中,第四学习小组提出如下背景“如图,在平面直角坐标系中,将一个边长为2的等边三角形ABC沿x轴平移(边AB在x轴上,点C在x轴上方),其中A(a,0),三角形ABC与反比例函数y=23x(x>0)交于点D,E两点(点D在点E左边)”,让其他小组提出问题,请你解答:
(1)第一小组提出“当a=2时,求点D的坐标”;
(2)第二小组提出“若AD=CE,求a的值”;
(3)第三小组提出“若将点E绕点A逆时针旋转60°至点E′,点E′恰好也在y=23x(x>0)上,求a的值”.
7.(2022秋•南山区期末)如图:△AOB为等腰直角三角形,斜边OB在x轴上,S△OAB=4,一次函数y1=kx+b(k≠0)的图象经过点A交y轴于点C,反比例函数y2=kx(x>0)的图象也经过点A.
(1)求反比例函数的解析式;
(2)若CD=2AD,求△COD的面积;
(3)当y1<y2时对应的自变量的取值范围是 .(请直接写出答案)
8.(2022秋•老城区校级期中)如图,已知:直线y=12x与双曲线y=kx(k>0)交于A,B两点,且点A的横坐标为4,若双曲线y=kx(k>0)上一点C的纵坐标为8,连接AC.
(1)填空:k的值为 8 ;点B的坐标为 ;点C的坐标为 .
(2)直接写出关于的不等式12x−kx≥0的解集;
(3)求三角形AOC的面积.
9.(2022秋•虹口区校级期中)如图,在平面直角坐标系xOy中,已知直线y=kx(k>0)分别交反比例函数y=1x和y=9x在第一象限的图象于点A,B,过点B作BD⊥x轴于点D,交y=1x的图象于点C,联结AC,若△ABC是等腰三角形,求k的值.
类型二 反比例函数与平行四边形综合
10.(2022秋•襄都区校级期末)如图,反比例函数y=kx的图象经过平行四边形ABCD对角线的交点P.知A,C,D,三点在坐标轴上,BD⊥DC,平行四边形ABCD的面积为6,则k的值为( )
A.﹣6B.﹣5C.﹣4D.﹣3
11.(2022秋•滨城区校级期末)如图,平行四边形OABC的顶点O,B在y轴上,顶点A在y=−2x上,顶点C在y=9x上,则平行四边形OABC的面积是 .
12.(2022秋•平城区校级月考)如图,在平面直角坐标系中,已知平行四边形ABOC的面积为6,边OB在x轴上,顶点 A、C分别在反比例函数y=kx(x<0)和y=2x(x>0)的图象上,则k﹣2的值为( )
A.﹣4B.4C.﹣6D.6
13.(2022秋•高新区期末)如图,在平面直角坐标中,平行四边形ABCD顶点A的坐标为(1,0),点D在反比例函数y=−6x的图象上,点B,C在反比例函数y=kx(x>0)的图象上,CD与y轴交于点E,若DE=CE,∠DAO=45°,则k的值为 .
14.(2022•湘潭县校级模拟)如图,在平面直角坐标系Oxy中,函数y=kx(其中x<0)的图象经过平行四边形ABOC的顶点A,函数y=8x(其中x>0)的图象经过顶点C,点B在x轴上,若点C的横坐标为2,△AOC的面积为6.
(1)求k的值;
(2)求直线AB的解析式.
类型三 反比例函数与矩形综合
15.(2022秋•永城市期末)如图,直线y=﹣x+3与坐标轴分别相交于A,B两点,过A,B两点作矩形ABCD,AB=2AD,双曲线y=kx在第一象限经过C,D两点,则k的值是( )
A.6B.274C.272D.27
16.(2022秋•岚山区校级期末)如右图,已知矩形OABC的面积为1003,它的对角线OB与双曲线y=kx相交于点D,且OB:OD=5:3,则k=( )
A.10B.20C.6D.12
17.(2022秋•达川区期末)如图,矩形AOBC的边OA=3,OB=4,动点F在边BC上(不与B、C重合),过点F的反比例函数y=kx的图象与边AC交于点E,直线EF分别与y轴和x轴相交于点D和G.给出下列命题:
①若k=6,则△OEF的面积为92;②若k=218,则点C关于直线EF的对称点在x轴上;
③满足题设的k的取值范围是0<k≤12;④若DE⋅EG=256,则k=2;
其中正确的命题个数是( )
A.1个B.2个C.3个D.4个
18.(2023•黔江区一模)如图,矩形ABCD中,点A在双曲线y=−8x上,点B,C在x轴上,延长CD至点E,使CD=2DE,连接BE交y轴于点F,连接CF,则△BFC的面积为( )
A.5B.6C.7D.8
19.(2022秋•荔城区校级期末)如图,点A为双曲线y=−2x在第二象限上的动点,AO的延长线与双曲线的另一个交点为B,以AB为边的矩形ABCD满足AB:BC=4:3,对角线AC,BD交于点P,设P的坐标为(m,n),则m,n满足的关系式为 .
20.(2022秋•滕州市校级期末)如图,矩形OABC与反比例函数y1=k1x(k1是非零常数,x>0)的图象交于点M,N,反比例函数y2=k2x(k2是非零常数,x>0)的图象交于点B,连接OM,ON.若四边形OMBN的面积为3,则2k2﹣2k1= .
21.(2022秋•长安区校级期末)如图,矩形ABCD顶点坐标分别为A(1,1),B(2,1),CB=2.
(1)若反比例函数y=kx与的图象过点D,则k= .
(2)若反比例函数与矩形ABCD的边CD、CB分别交于点E、点F,且△CEF的面积是,则反比例函数的表达式为 .
(3)若反比例函数y=kx(x>0)的图象将矩形边界上横、纵坐标均为整数的点恰好等分成了两组,使两组点分别在双曲线两侧,则k的取值范围是 .
22.(2022秋•松原期末)如图,在平面直角坐标系中,四边形OABC为矩形,点C、A分别在x轴和y轴的正半轴上,点D为AB的中点.一次函数y=﹣3x+6的图象经过点C、D,反比例函数y=kx(x>0)的图象经过点B,求k的值.
23.(2022•礼县校级模拟)如图,在平面直角坐标系中,矩形OABC的两边OC、OA分别在坐标轴上,且OA=2,OC=4,连接OB.反比例函数y=k1x(x>0)的图象经过线段OB的中点D,并与AB、BC分别交于点B、F.一次函数y=k2x+b的图象经过E、F两点.
(1)分别求出一次函数和反比例函数的表达式.
(2)点P是x轴上一动点,当PE+PF的值最小时,求点P的坐标.
25.(2022春•姑苏区校级月考)如图,在以O为原点的平面直角坐标系中,点 A、C分别在x轴、y轴的正半轴上,点B(a,b)在第一象限,四边形OABC是矩形,反比例函数y=kx(k>0,x>0)的图象与AB相交于点D,与BC相交于点E,且BE=2CE.
(1)求证:BD=2AD;
(2)若四边形ODBE的面积是6,求k的值.
类型四 反比例函数与菱形综合
26.(2022秋•江北区校级期末)如图,菱形ABCD的边AD⊥y轴,垂足为点E,顶点A在第二象限,顶点B在y轴的正半轴上,反比例函数y=kx(k≠0,x>0)的图象同时经过顶点C、D.若点C的横坐标为10,BE=3DE,则k的值为( )
A.15B.6C.154D.10
27.(2022•珠海校级三模)如图,菱形ABCD的顶点分别在反比例函数y=k1x(k1>0)和y=k2x的图象上,且∠ADC=120°,则k2k1的值是( )
A.﹣3B.−13C.3D.−33
28.(2022秋•岚山区校级期末)如图,O为坐标原点,点C在x轴上.四边形OABC为菱形,D为菱形对角线AC与OB的交点,反比例函数y=kx在第一象限内的图象经过点A与点D,若菱形OABC的面积为242,则点A的坐标为 .
29.(2022秋•福州期末)如图,四边形ABOC为菱形,∠BOC=60°,反比例函数y=kx(x<0)的图象经过点B,交AC边于点P,若△BOP的面积为43,则点A的坐标为 .
30.(2022秋•通川区期末)如图,在平面直角坐标系中,点A的坐标是(5,0),函数y=kx(x>0)的图象经过菱形OABC的顶点C,若OB•AC=40,则k的值为 .
31.(2023•西山区校级开学)如图,在平面直角坐标系中,菱形ABCD的顶点C与原点O重合,点B在y轴的正半轴上,点A在反比例函数y=kx(k>0,x>0)的图象上,点D的坐标为(4,3).
(1)求反比例函数的关系式;
(2)设点M在反比例函数图象上,连接MA、MD,若△MAD的面积是菱形ABCD面积的14,求点M的坐标.
类型五 反比例函数与正方形综合
32.(2022秋•东港市期末)如图,在平面直角坐标系中,一次函数y=43x+4的图象与x轴,y轴分别交于点B,A,以线段AB为边作正方形ABCD,且点C在反比例函数y=kx(x<0)的图象上,则k的值为( )
A.﹣21B.21C.﹣24D.24
33.(2022秋•龙岗区校级期末)如图,反比例函数y=kx(x>0)图象经过正方形OABC的顶点A,BC边与y轴交于点D,若正方形OABC的面积为12,BD=2CD,则k的值为( )
A.3B.185C.165D.103
34.(2022秋•济南期末)如图,在直角坐标系中,正方形的中心在原点O,且正方形的一组对边与x轴平行,点P(4a,a)是反比例函数y=kx(k>0)的图象上与正方形的一个交点,若图中阴影部分的面积等于16,则k的值为( )
A.16B.1C.4D.﹣16
35.(2022•南关区校级模拟)如图,正方形ABCO和正方形CDEF的顶点B、E在双曲线y=6x(x>0)上,连接OB、OE、BE,则S△OBE的值为( )
A.2B.2.5C.3D.3.5
36.(2022•绿园区校级模拟)如图,在平面直角坐标系中,大、小两个正方形的一个顶点均为坐标原点,两边分别在x轴,y轴的正半轴上,若经过小正方形的顶点A的函数y=kx(x>0)的图象与大正方形的一边交于点B(1,3),则阴影部分的面积为( )
A.6B.3C.32D.3−3
37.(2022秋•徐汇区期末)点A、M在函数y=1x(x>0)图象上,点B、N在函数y=−3x(x<0)图象上,分别过A、B作x轴的垂线,垂足为D、C,再分别过M、N作线段AB的垂线,垂足为Q、P,若四边形ABCD与四边形MNPQ均为正方形,则正方形MNPQ的面积是 .
38.(2022秋•薛城区期末)如图,点B是反比例函数y=kx图象上的一点,矩形OABC的周长是20,正方形OCDF与正方形BCGH的面积之和为68,则k的值为 .
39.(2022春•姑苏区校级期中)如图,在平面直角坐标系中,反比例函数y=kx(x>0)的图象与边长等于6的正方形OABC的两边AB,BC分别相交于M,N两点,△MON的面积是16,动点P从原点出发,以每秒2个单位长度的速度沿x轴向右运动,记运动时间为t,当t= s时,PM+PN最小.
40.(2022•香洲区校级三模)如图,反比例函数y=kx(k≠0,x>0)的图象过点B,E,四边形ODEF和ABCD是正方形,顶点F在x轴的正半轴上,A,D在y轴正半轴上,点C在边DE上,延长BC交x轴于点G.若AB=2,则四边形CEFG的面积为 .
41.(2022秋•蚌山区月考)如图,两个边长分别为a,b(a>b)的正方形连在一起,三点C,B,F在同一直线上,反比例函数y=kx在第一象限的图象经过小正方形右下顶点E.若OB2﹣BE2=8,则(1)S正方形OABC﹣S正方形DEFB= ;(2)k的值是 .
42.(2022•九龙坡区自主招生)如图,在平面直角坐标系中,已知点A的坐标为(0,4),点B的坐标为(2,0),连结AB,以线段AB为边在第一象限内作正方形ABCD,直线BD:y=ax+b交双曲线y=kx(k≠0)于D、E两点,连结CE.
(1)求双曲线y=kx(k≠0)和直线BD的解析式;(2)求△BEC的面积;
(3)请直接写出不等式ax+b>kx的解集.
43.(2022•东湖区期中)如图,在平面直角坐标系中,正方形OABC的顶点O在坐标原点,顶点A在y轴上,顶点C在x轴上,反比例函数y=k的图象过AB边上一点E,与BC边交于点D,BE=2,OE=10.
(1)求k的值;
(2)直线y=ax+b过点D及线段AB的中点F,点P是直线OF上一动点,当PD+PC的值最小时,直接写出这个最小值.
44.(2021秋•榆林)如图,在平面直角坐标系中,点A的坐标为(1,0),点B的坐标为(0,2),以线段AB为一边在第一象限内作平行四边形ABCD,其顶点D(3,1)在反比例函数y=kx(x>0)的图象上.
(1)求证:四边形ABCD是正方形;
(2)设将正方形ABCD沿x轴向左平移m(m>0)个单位后,得到正方形A′B′C′D′,点C的对应点C′恰好落在反比例函数y=kx(x>0)的图象上,求m的值.
45.(2022秋•宝山区校级期中)如图,已知正方形OABC的面积为9,点O为坐标原点,点A在x轴上,点C在y轴上,点B在函数y=kx(k>0,x>0)图象上,点P是函数y=kx(k>0,x>0)图象上异于点B的任意一点,过点P分别作x轴、y轴的垂线,垂足分别为点E、F.设矩形OEPF和正方形OABC不重合部分的面积为S.
(1)点B的坐标是 ,k= ;
(2)当S=92,求点P的坐标;
(3)求出S关于m的函数关系式.
46.(2022秋•武功县期末)如图,在平面直角坐标系中,A(﹣1,2),B(﹣1,﹣2),以AB为边向右作正方形ABCD,边AD、BC分别与y轴交于点E、F,反比例函数y=kx(k≠0)的图象经过点D.
(1)求反比例函数的表达式;
(2)在反比例函数的图象上是否存在点P,使得△PEF的面积等于正方形ABCD面积的一半?若存在,请求出点P的坐标;若不存在,请说明理由.
47.(2022•靖江市校级模拟)如图,在直角坐标系中,Rt△ABC的直角边AC在x轴上,∠ACB=90°,AC=1,反比例函数y=kx(k>0)的图象经过BC边的中点D(3,1).
(1)直接写出这个反比例函数的表达式 ;
(2)若△ABC与△EFG关于点M成中心对称,且△EFG的边FG在y轴的正半轴上,点E在这个函数的图象上.
①直接写出OF的长 、对称中心点M的坐标 ;
②连接AF,BE,证明四边形ABEF是正方形.
相关试卷
这是一份中考数学二轮复习核心考点专题提优拓展训练专题18反比例函数核心考点分类突破(原卷版+解析),共46页。试卷主要包含了分比例函数的图像和性质,反比例函数图像上点的坐标的特征等内容,欢迎下载使用。
这是一份中考数学二轮复习核心考点专题专题26反比例函数与几何综合题型归纳含解析答案,共76页。试卷主要包含了如图,矩形的边,,动点在边上等内容,欢迎下载使用。
这是一份专题26 反比例函数与几何综合题型归纳-2023年中考数学二轮复习核心考点拓展训练(解析版),共67页。试卷主要包含了反比例函数与三角形综合,反比例函数与平行四边形综合,反比例函数与矩形综合,反比例函数与菱形综合,反比例函数与正方形综合等内容,欢迎下载使用。

