湖南省长沙市四县区2023-2024学年高三下学期3月调研考试数学试卷
展开湖南省长沙市四县区2023-2024学年高三下学期3月调研考试数学试卷(Word版附解析): 这是一份湖南省长沙市四县区2023-2024学年高三下学期3月调研考试数学试卷(Word版附解析),共15页。试卷主要包含了作答时,请将答案写在答题卡上,钝角中,,则等内容,欢迎下载使用。
湖南省长沙市雅礼中学2023-2024学年高三下学期月考(七)数学试卷: 这是一份湖南省长沙市雅礼中学2023-2024学年高三下学期月考(七)数学试卷,共11页。试卷主要包含了求值等内容,欢迎下载使用。
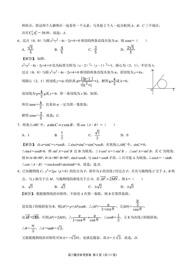
湖南省长沙市第一中学2023-2024学年高三下学期2月开学考试数学试卷: 这是一份湖南省长沙市第一中学2023-2024学年高三下学期2月开学考试数学试卷,文件包含精品解析湖南省长沙市第一中学2023-2024学年高三下学期2月开学考试数学试卷原卷版docx、精品解析湖南省长沙市第一中学2023-2024学年高三下学期2月开学考试数学试卷原卷版pdf、精品解析湖南省长沙市第一中学2023-2024学年高三下学期2月开学考试数学试卷解析版docx等3份试卷配套教学资源,其中试卷共28页, 欢迎下载使用。

