湖南省长沙市四区2024届高三下学期3月调研考试(一模)数学
展开湖南省长沙市长2024届高三下学期3月调研考试数学试卷及答案: 这是一份湖南省长沙市长2024届高三下学期3月调研考试数学试卷及答案,共17页。
湖南省长沙市四区2023-2024学年高三下学期调研考试(一模)数学试卷: 这是一份湖南省长沙市四区2023-2024学年高三下学期调研考试(一模)数学试卷,文件包含2024年3月长望浏宁高三调研考试数学参考答案pdf、2024年3月高三调研考试试卷pdf等2份试卷配套教学资源,其中试卷共17页, 欢迎下载使用。
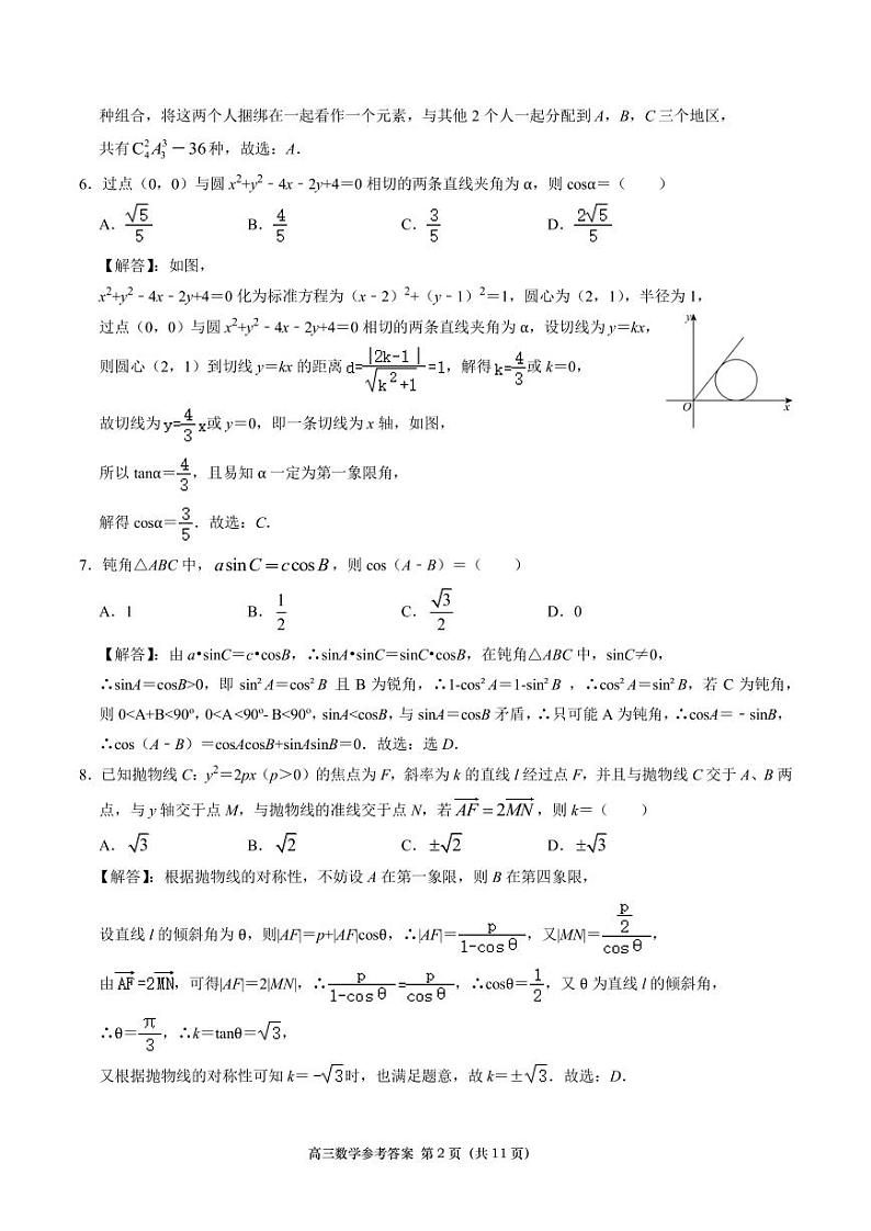
2022届湖南省长沙市雅礼中学高三下学期一模考试-数学试题(PDF版): 这是一份2022届湖南省长沙市雅礼中学高三下学期一模考试-数学试题(PDF版),共13页。

