统考版2024高考数学二轮专题复习课时作业22六大常用方法文
展开
这是一份统考版2024高考数学二轮专题复习课时作业22六大常用方法文,共7页。试卷主要包含了直线l过抛物线C等内容,欢迎下载使用。
1.[2023·福建漳州市一模]已知z=|eq \r(3)i-1|+eq \f(1,1+i),则在复平面内z对应的点位于( )
A.第一象限B.第二象限
C.第三象限D.第四象限
2.[2023·云南保山市模拟]已知角θ的终边过点A(4,a),且sin (θ-π)=eq \f(3,5),则tanθ=( )
A.-eq \f(4,5)B.eq \f(4,5)
C.-eq \f(3,4)D.eq \f(3,4)
3.[2023·山西吕梁市一模]函数f(x)=eq \f(2xsinx,4x+1)的大致图象为( )
4.高斯是德国著名的数学家,近代数学奠基者之一,享有“数学王子”的称号,用其名字命名的“高斯函数”为设x∈R,用[x]表示不超过x的最大整数,则y=[x]称为高斯函数.例如:[-2.1]=-3,[3.1]=3,已知函数f(x)=eq \f(2x+3,2x+1),则函数y=[f(x)]的值域为( )
A.{0,1,2,3}B.{0,1,2}
C.{1,2,3}D.{1,2}
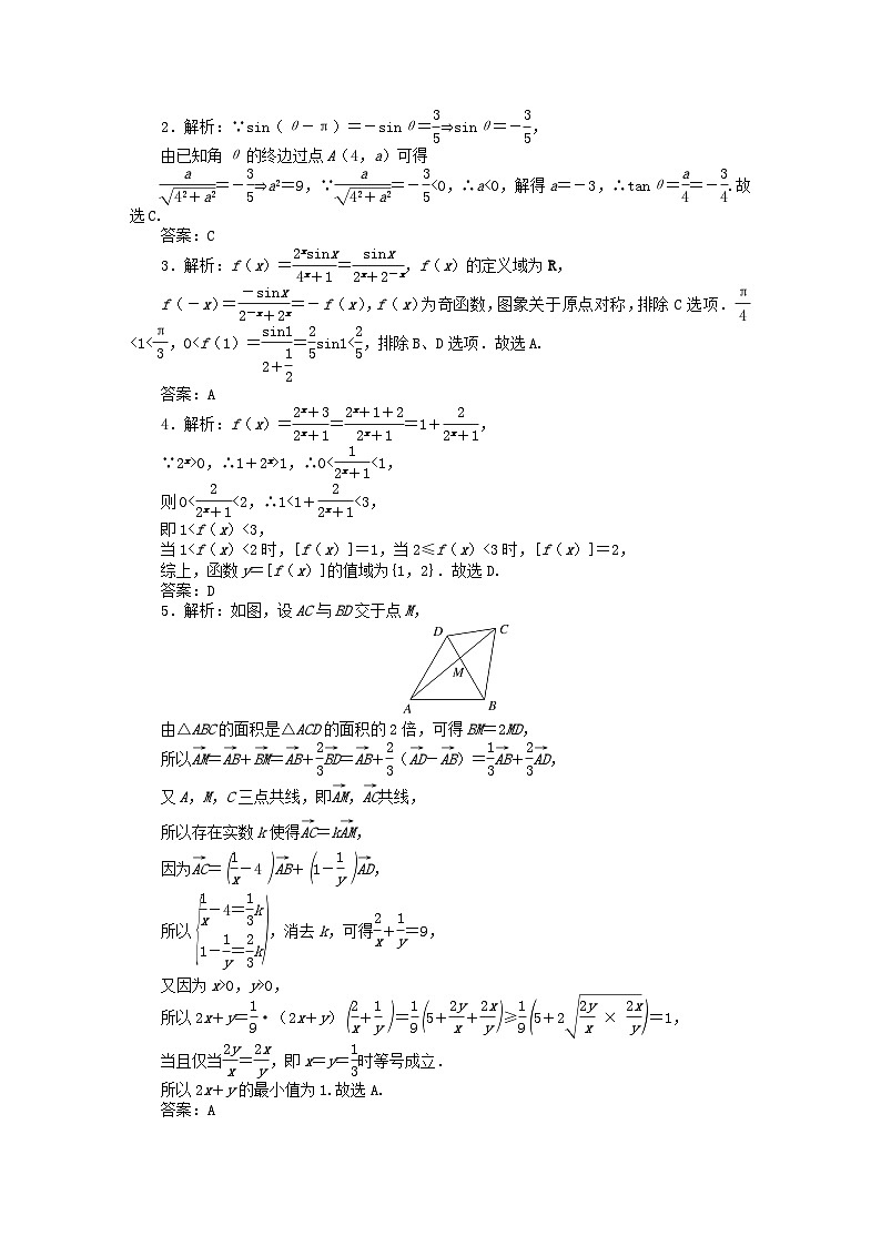
5.[2023·安徽淮北市一模]在平面四边形ABCD中,已知△ABC的面积是△ACD的面积的2倍.若存在正实数x,y使得eq \(AC,\s\up6(→))=(eq \f(1,x)-4)eq \(AB,\s\up6(→))+(1-eq \f(1,y))eq \(AD,\s\up6(→))成立,则2x+y的最小值为( )
A.1 B.2C.3 D.4
6.[2023·河南襄城县二模]抛物线具有以下光学性质:从焦点发出的光线经抛物线反射后平行于抛物线的对称轴.该性质在实际生产中应用非常广泛.如图所示,从抛物线y2=2px(p>0)的焦点F发出的两条光线a,b分别经抛物线上的A,B两点反射,已知两条入射光线与x轴的夹角均为60°,且两条反射光线a′和b′之间的距离为eq \f(4\r(3),3),则p=( )
A.1 B.2C.3 D.4
7.已知函数h(x)=xlnx与函数g(x)=kx-1的图象在区间eq \b\lc\[\rc\](\a\vs4\al\c1(\f(1,e),e))上有两个不同的交点,则实数k的取值范围是( )
A.eq \b\lc\[\rc\](\a\vs4\al\c1(1+\f(1,e),e-1))
B.eq \b\lc\(\rc\](\a\vs4\al\c1(1,1+\f(1,e)))
C.(1,e-1]
D.(1,+∞)
8.直线l过抛物线C:y2=2px(p>0)的焦点F(1,0),且与C交于A,B两点,则p=______,eq \f(1,|AF|)+eq \f(1,|BF|)=________.
9.[2023·陕西武功县二模]已知椭圆C:eq \f(x2,4)+eq \f(y2,3)=1的左,右焦点分别为F1,F2,过点F1与x轴垂直的直线与椭圆C交于A,B两点,则△ABF2的内切圆的半径为________.
10.已知函数f(x)=eq \b\lc\{(\a\vs4\al\c1(-x3+3x2+2,x≥0,,-x2ex,x
相关试卷
这是一份统考版2024高考数学二轮专题复习课时作业8数列的通项与求和文,共5页。
这是一份统考版2024高考数学二轮专题复习课时作业1核心价值引领文,共7页。
这是一份统考版2024高考数学二轮专题复习第四篇满分专项突破第2讲六大常用方法(增分有招)理,共9页。试卷主要包含了估算法等内容,欢迎下载使用。

