四川省成都市石室中学2024届高三上学期期末数学(文)试题(教师版)
展开(总分:150分,时间:120分钟 )
第Ⅰ卷(共60分)
一、选择题(本题共12道小题,每小题5分,共60分)
1. 若复数满足(i是虚数单位),则( )
A. B. C. D.
【答案】A
【解析】
【分析】计算,再计算共轭复数即可.
【详解】,则,则.
故选:A
2. 已知集合,,则等于( )
A. B. C. D.
【答案】C
【解析】
【分析】根据指数函数单调性得到,解不等式求出,利用并集概念求出答案.
【详解】,故,
令,解得,故,
故.
故选:C
3. 设等差数列的前项和为,且 ,则的值为( )
A. 6B. 7C. 8D. 9
【答案】A
【解析】
【分析】先求得,再利用求解即可.
【详解】由,可得,
则.
故选:A.
4. 下图是2023年1~12月份品种能源生产当月同比增长率情况变化图.下列说法错误的是( )
A. 4~7月,原煤及天然气当月同比增长率呈下降趋势
B. 9~12月,原煤及天然气当月同比增长率总体呈上升趋势
C. 7月份品种能源生产当月同比增长率最高的是原油加工量同比增长率
D. 2023年品种能源生产当月同比增长率波动最小的是发电量同比增长率
【答案】D
【解析】
【分析】根据题意结合统计相关知识逐项分析判断.
【详解】观察题中所给的折线图,可知:
4~7月,原煤及天然气当月同比增长率是下降的,呈下降趋势,所以A项正确;
9~12月,虽然天然气11月比10月偏低,但总体趋势仍为上升的,
所以原煤及天然气当月同比增长率总体呈上升趋势,所以B正确;
图中7月份,只有原煤加工上升,其他品种能源均比6月份低,所以C项正确;
由图易知,相比发电量,原油的曲线波动幅度更小,所以D项错误;
故选:D.
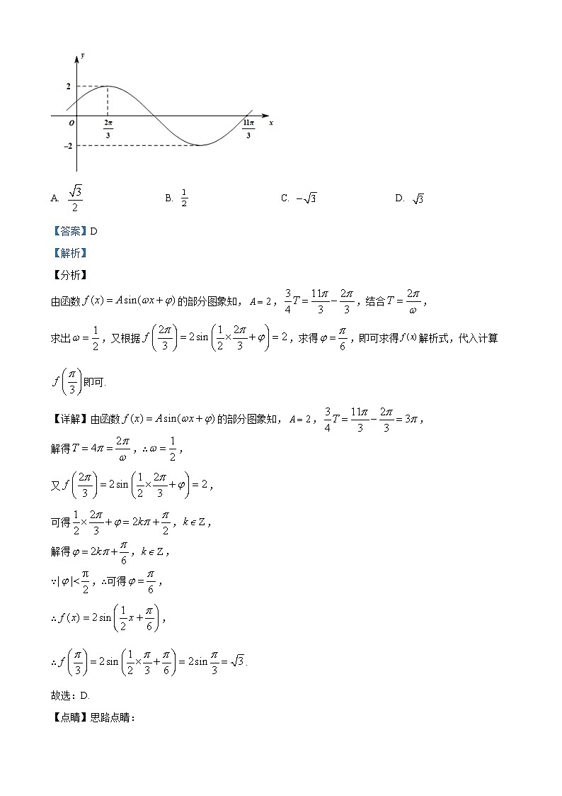
5. 函数部分图象如图所示,则( )
A. B. C. D.
【答案】D
【解析】
【分析】
由函数的部分图象知,,,结合,
求出,又根据,求得,即可求得解析式,代入计算即可.
【详解】由函数的部分图象知,,,
解得,∴,
又,
可得,,
解得,,
∵,∴可得,
∴,
∴.
故选:D.
【点睛】思路点睛:
利用三角函数的图象求三角函数的解析式,通常先结合图象看振幅、周期,求得A,,再利用特殊点(最高点、最低点、零点)求初相,即得解析式.
6. 已知圆与中心在原点、焦点在坐标轴上的双曲线的一条渐近线相切,则双曲线的离心率为( )
A. B. 3C. 或D. 或
【答案】D
【解析】
【分析】分双曲线的焦点在x轴上和y轴上,由圆心到渐近线的距离等于半径列式求解即可.
【详解】因为可化为,
则圆的圆心为,半径为2,
当双曲线的焦点在x轴上时,设双曲线方程为,则其渐近线方程为,
由题意得,即,所以,
所以,
当双曲线的焦点在y轴上时,设双曲线方程为,则其渐近线方程为,
由题意得,即,所以,
则,
故选:D.
7. 已知函数是偶函数,当时,,则曲线在处的切线方程为( )
A. B.
C. D.
【答案】C
【解析】
【分析】首先由奇偶性求得时的解析式,再结合导数的几何意义求切线方程即可.
【详解】因为,,,
又由是偶函数,,
令,则,
根据是偶函数,,
得到时,,
所以,时,,,
故曲线在处的切线方程为,
即.
故选:C.
8. 已知一个组合体的三视图如图所示,则该几何体的表面积为( )
A. B.
C. D.
【答案】C
【解析】
【分析】先由三视图原几何体,再分别求得各面的面积相加即可得解.
【详解】由题知,该三视图对应的几何体的直观图如图所示,
其中半圆柱的底面半径为1、高为1,三棱锥中,在底面的射影为的中点,,,
∴,,
因为面,面,所以,
又,面,所以面,
又面,故,
∴,∴,∴,
∴该几何体的表面积为 .
故选:C.
9. 执行如图所示的程序框图,若随机输入的,则输出的的概率为( )
A. B. C. D.
【答案】B
【解析】
【分析】根据可得,再根据循环结构可得当时均能得到,从而可得答案.
【详解】由框图可得若,则,解得.
故当,满足,可得输出;
当时,满足,可得输出;
当时,不满足,此时,故可得输出;
当时,不满足,此时;
不满足,此时,可得输出.
故当时均能得到,故输出的的概率为.
故选:B
10. 若,,则下列选项正确的是( )
A. B.
C. D.
【答案】D
【解析】
【分析】根据对数式与指数式互化公式,结合对数的单调性、基本不等式逐一判断即可.
【详解】因为,,所以,因为,,则,,
所以,,即,所以,所以A,B错误;
因为,所以,所以C错误;
因,所以D正确.
故选:D
11. 已知长方体在球的内部,球心在平面上, 若球的半径为,,则该长方体体积的最大值是( )
A. 4B. 8C. 12D. 18
【答案】A
【解析】
【分析】设出长方体的长、宽、高,表示出长方体的体积为,利用导数求最大值.
【详解】设长方体的高为h, 设a,则,
所以,
若要长方体体积最大,则平面内接与长方体,
所以得,
即得,
所以长方体的体积为,
设,其中,
则, 令,得,
当时,,上单调递增;
当时,,在上单调递减,
所以函数在处取得极大值,亦即最大值,
则
因此该长方体的体积的最大值为.
故选:A
12. 曲线是平面内与三个定点,和的距离的和等于的点的轨迹.给出下列四个结论:
①曲线关于轴、轴均对称;
②曲线上存在点,使得;
③若点在曲线上,则的面积最大值是1;
④曲线上存在点,使得为钝角.
其中所有正确结论的序号是( )
A. ②③④B. ②③C. ③④D. ①②③④
【答案】C
【解析】
【分析】根据题意得曲线的方程为,可判断①错误;②假设结论成立,推得曲线不存在;当点P为点时,的面积最大,最大值是1,故③正确;在曲线上再寻找一个特殊点P(0,y),验证即可判断④正确.
【详解】设曲线上任意一点,由题意可知的方程为
.
①错误,在此方程中用取代,方程不变,可知关于轴对称;
同理用取代,方程改变,可知不关于轴对称,故①错误.
②错误,若,则
曲线不存在,故②错误.
③正确,
P应该在椭圆D:内(含边界),
曲线与椭圆D有唯一的公共点,此时
当点P为点时,的面积最大,最大值是1,故③正确;
④正确,由 ③可知,取曲线上点,此时,
下面在曲线上再寻找一个特殊点,,
则,
把两边平方,
整理得,
解得,即或.
因为,则取点,
此时.故④正确.
故答案为:C.
第Ⅱ卷(共90分)
二、填空题(本题共4道小题,每小题5分,共20分)
13. 若、满足约束条件,则的最大值为__________.
【答案】7
【解析】
【分析】根据题意,作出,满足约束条件的可行域,由可行域即可求出结果.
【详解】根据约束条件可绘出可行域:
目标函数,即,
当目标函数经过点时取最大值,.
故答案为:7.
14. 设,则不等式的解集为__________.
【答案】
【解析】
【分析】先确定函数的单调性,根据函数单调性把不等式转化为代数不等式求解.
【详解】由题意,函数,根据初等函数的性质,可得函数在定义域为单调递减函数,且,
则不等式等价于,
解得,所以不等式的解集为.
故答案为:
15. 已知,则的值为__________.
【答案】
【解析】
【分析】由诱导公式结合二倍角公式化简求解即可.
【详解】
,
故答案为:.
16. 如图,在三棱锥中,平面,,,为线段的中点,分别为线段和线段上任意一点,则的最小值为__________.
【答案】
【解析】
【分析】根据题意,证得平面,得到,根据,得到,进而得到,进而得到为的中点,且为的中点,即可求解.
【详解】因为平面,面,所以,
又因为,,
因为,平面,所以平面,
又因为平面,所以,
在中,可得,
在中,,
故,
则,
又因为,
所以,
即,当且仅当时,等号成立,
当时,为的中点,此时当时,为的中点,
综上所述,的最小值是.
故答案为:
三、解答题(本题共6道小题,共70分)
17. 某学校研究性学习小组在学习生物遗传学的过程中,为验证高尔顿提出的关于儿子成年后身高(单位:)与父亲身高(单位:)之间的关系及存在的遗传规律,随机抽取了5对父子的身高数据,如下表:
参考数据及公式:,,,,,.
(1)根据表中数据,求出关于的线性回归方程;
(2)小明的父亲身高,请你利用回归直线方程预测小明成年后的身高.
【答案】(1)
(2)
【解析】
【分析】(1)利用最小二乘法求解;
(2)利用(1)结果,将代入求解.
【小问1详解】
解:,,
,,
故回归方程为:;
【小问2详解】
当时,,
.
18. 如图,在四棱锥中,底面为直角梯形,,,侧面面,,,为的中点.
(1)求证:面面;
(2)若的大小为,求四棱锥的体积.
【答案】(1)证明见解析
(2)
【解析】
【分析】(1)根据侧面面,得到面,再利用面面垂直的判定定理证明;
(2)取AB的中点O,连接PO,易知为等边三角形,从而,然后根据E为PD的中点求解.
【小问1详解】
证明:侧面面,,面面=AB,
面,又平面PBC,
面面;
小问2详解】
如图所示:
取AB的中点O,连接PO,因为,的大小为,
所以为等边三角形,
则,因为侧面面,侧面面,
所以平面,
,
又因为E为PD的中点,
所以.
19. 为加强学生劳动教育,成都石室中学北湖校区将一块四边形园地用于蔬菜种植实践活动. 经测量,边界与的长度都是14米,,.
(1)若的长为6米,求的长;
(2)现需要沿实验园的边界修建篱笆以提醒同学们不要随意进入,问所需要篱笆的最大长度为多少米?
【答案】(1)10米 (2)米
【解析】
【分析】(1)连接,在中,应用余弦定理求出的长;
(2)设, ,在中,借助于正弦定理,求出的长,然后得到篱笆长的函数关系,得到答案.
【小问1详解】
连接BD,由题意是等边三角形,所以,
在中,由余弦定理得,,
即,求解得或(舍),
故BC的长为10米.
【小问2详解】
设, ,
在中,,
所需篱笆的长度为.
.
20. 已知椭圆的离心率为,抛物线在第一象限与椭圆交于点,点为抛物线的焦点,且满足.
(1)求椭圆的方程;
(2)设直线与椭圆交于,两点,过,分别作直线的垂线,垂足为、,与轴的交点为.若、、的面积成等差数列,求实数的取值范围.
【答案】(1)
(2)
【解析】
【分析】(1)由题意,,则点在椭圆上,代入椭圆方程可得,根据离心率可得,解方程组即可求出,,即可求出椭圆的方程;
(2)联立直线与椭圆方程,消元,利用韦达定理求出.根据、、的面积成等差数列,可得,化简可得,解此不等式即可求出结果.
【小问1详解】
由题意,,则点在椭圆上,
得①,,即 ②,
联立①②,解得,,
椭圆的方程为.
【小问2详解】
依题意,直线与轴不重合,故可设直线的方程为.
联立,消去得.
设,,,,则有,且.
设,,的面积分别为,,,
,,成等差数列,,即,
则;
即,得,
又,,
于是,,
,解得,即或.
所以实数的取值范围为.
【点睛】解决圆锥曲线中的范围问题一般有两种方法:一是几何意义,特别是用圆锥曲线的定义和平面几何的有关结论来解决,非常巧妙;二是将圆锥曲线中范围问题转化为函数问题,然后根据函数的特征选用参数法、配方法、判别式法、三角函数有界法、函数单调性法以及均值不等式法求解.
21. 已知函数,其中是自然对数的底数.
(1)讨论的单调性;
(2)若,设关于的不等式对恒成立时的最大值为,求的取值范围.
【答案】(1)答案见解析
(2)
【解析】
【分析】(1)求导,根据参数的不同取值范围确定函数的单调性.
(2)分离参数,转化为恒成立问题,再构造函数,求构造的函数在给定区间上的最值 .
【小问1详解】
的定义域为, ,
当时,因为,所以,即;
当时,因为,故恒成立,故;
所以当时,,单调递增;
当时,,,
单调递增;单调递减;
综上,当时,在单调递增;
当时,在单调递增,在单调递减.
【小问2详解】
因为的不等式对恒成立,
则,对恒成立,
令,
即,令,即,
所以在上递增;
①当,即时,因为,所以,
当,,即,所以在上递增,
所以;
②当即时,因为,,即,
所以在上递减,所以;
③当,即时,因为在上递增,
所以存在唯一实数,使得,即,
则当时,,即;当时,,即,
故在上单减,上单增,所以,
设,则,
所以在上递增,所以.
综上所述, .
【点睛】方法点睛:在第二问中,分离参数后,得到,设,.求这个函数的最小值,仍然要二次求导,三次求导,还要分类讨论.比较烧脑,属于难题.
选考题:共10分.请考生在第22、23题中任选一题作答.如果多做,则按所做的第一题计分.
选修4-4:坐标系与参数方程
22. 已知圆的参数方程为(为参数),以坐标原点为极点,轴非负半轴为极轴建立极坐标系.
(1)求圆的极坐标方程;
(2)若直线的参数方程是(为参数,为直线的倾斜角),与交于A,两点, ,求的斜率.
【答案】(1)
(2)1
【解析】
【分析】(1)根据题意结合极坐标与直角坐标之间的关系运算求解;
(2)由题意可知:直线l的极坐标方程为,根据极坐标的定义结合韦达定理运算求解.
【小问1详解】
由题意可得:圆C的普通方程为,
将,代入普通方程,
得,
故圆C的极坐标方程为.
【小问2详解】
由题意可知:直线过坐标原点,倾斜角为的直线,
在极坐标系中,直线l的极坐标方程为,
设A,B所对应的极径分别为.
将l极坐标方程代入C的极坐标方程得,
于是,
可得,则,
且,则,可得,即,
所以l的斜率为.
23. 已知函数.
(1)求不等式的解集;
(2)若恒成立,求的取值范围.
【答案】(1)
(2).
【解析】
【分析】(1)绝对值不等式分类讨论求解即可得;
(2)双绝对值不等式恒成立问题,借助绝对值三角不等式,将原问题转化即可得.
【小问1详解】
等价于或,
解得或,
即,即不等式的解集为;
【小问2详解】
恒成立,即恒成立,
因为,
所以,解得或,
即的取值范围是.
父亲身高
160
170
175
185
190
儿子身高
170
174
175
180
186
四川省成都市石室中学2024届高三上学期期末数学(文)试题(学生版): 这是一份四川省成都市石室中学2024届高三上学期期末数学(文)试题(学生版),共7页。试卷主要包含了选择题,填空题,解答题等内容,欢迎下载使用。
四川省成都市石室中学2024届高三上学期期末数学(理)试题(教师版): 这是一份四川省成都市石室中学2024届高三上学期期末数学(理)试题(教师版),共23页。试卷主要包含了选择题,填空题,解答题等内容,欢迎下载使用。
四川省成都市石室中学2024届高三上学期期末数学(文)试题(学生及教师版): 这是一份四川省成都市石室中学2024届高三上学期期末数学(文)试题(学生及教师版),文件包含四川省成都市石室中学2024届高三上学期期末数学文试题教师版docx、四川省成都市石室中学2024届高三上学期期末数学文试题学生版docx等2份试卷配套教学资源,其中试卷共30页, 欢迎下载使用。

