隆昌市知行中学2023—2024学年度第一学期初中七年级期末统考模拟数学试题(8)(原卷+答案版)
展开本试卷三个大题共22个小题,全卷满分120分,考试时间120分钟。
注意事项:
1、答题前,请考生务必将自己姓名、考号、班级等写在试卷相应的位置上;
2、选择题选出答案后,用钢笔或黑色水笔把答案标号填写在选择题答题卡的相应号上。
一、选择题(本大题共12个小题,每小题4分,共48分.以下每小题都给出了A、B、C、D四个选项,其中只有一个是符合题目要求的。)
1、的倒数是( )
A、2023 B、 C、 D、
2、地球的表面积约为510000000平方千米,把510000000用科学记数法表示为( )
A、 B、 C、 D、
3、若,则a可能是( )
A、 B、2 C、7 D、
4、若,则的补角的度数为( )
A、 B、 C、 D、
5、已知与是同类项,则的值是( )
A、16 B、4048 C、 D、4
6、已知a、b在数轴上的位置如图所示,则( )
0
a
b
A、 B、 C、 D、
7、下面这个几何体的展开图形是( )
A
B
C
D
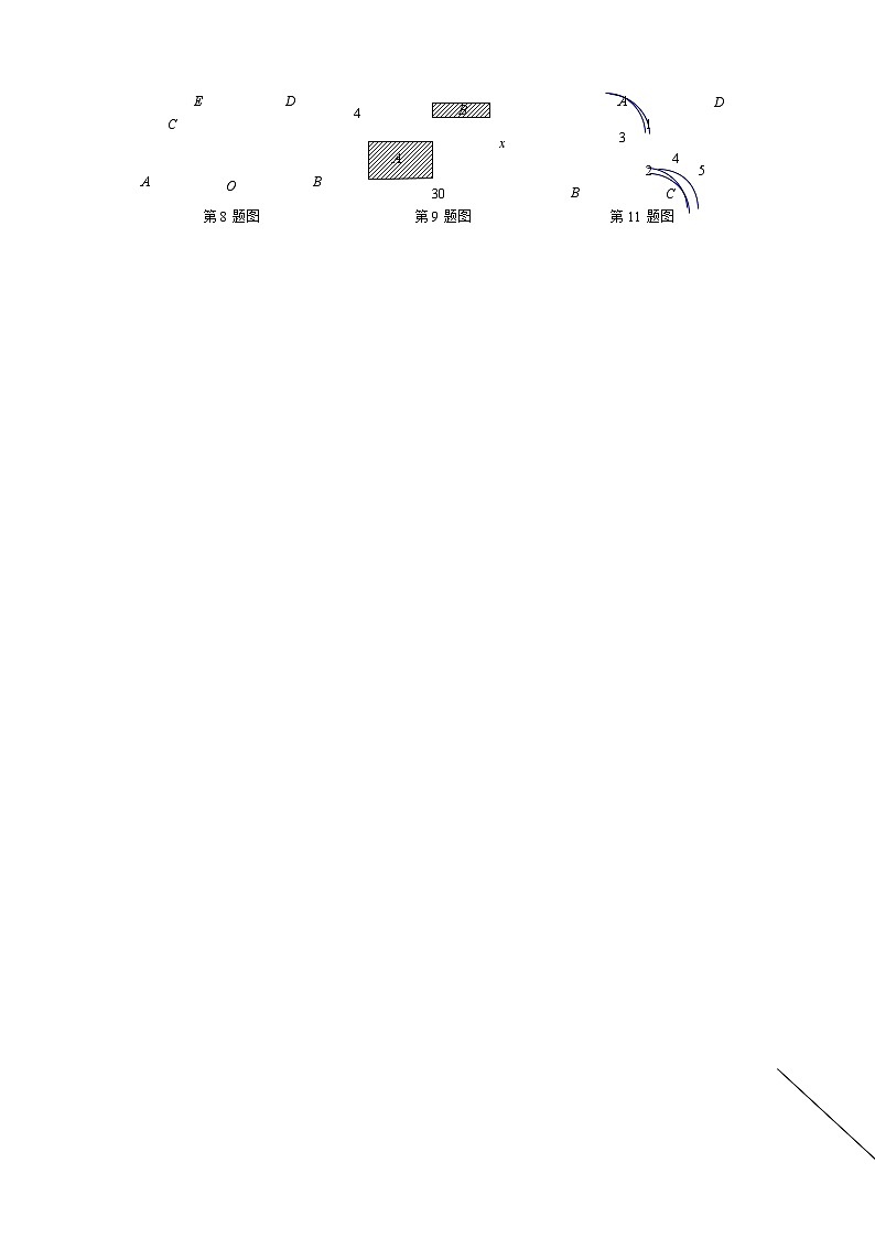
8、如图,点O在直线AB上,OC,OE,OD均为射线,且,OE平分,则的度数为( )
A、 B、 C、 D、
D
第8题图
B
O
E
A
C
1
4
2
5
3
A
D
第11题图
B
C
4
x
第9题图
30
A
B
9、如图,长为30cm,宽为xcm的大长方形被分割为7小块,除阴影A、B外,其余5块是形状、大小完全相同的小长方形,其较短的边长为4cm,则阴影A的周长比阴影B的周长( )
A、多11cm B、多16cm C、多22cm D、多32cm
10、下列说法:①倒数等于本身的数是;②互为相反数的两个非零数的商为;③如果两个数的绝对值相等,那么这两个数相等;④有理数可以分为正有理数和负有理数;⑤单项式的系数是,次数是6;⑥多项式:是三次三项式,其中正确的有( )
A、①②⑤ B、①②⑥ C、②③④ D、②⑤⑥
11、如图,下列能判定的条件有( )
①;②;③;④;⑤;⑥
A、1个 B、2个 C、3个 D、4个
12、如图,在公路l上有A、M、C、B、N、D任意六点,点O为直线l外一点,连接OA、OM、OC、OB、ON、OD,下列结论:①在直线l上的线段共有15条;②若OM平分,ON平分,,则;③若M为AB的中点,N为CD的中点,则;④若,,则.正确的有( )
A、1个 B、2个 C、3个 D、4个
D
l
第12题图
B
O
A
M
C
N
x
3
第15题图
y
8
-1
z
二、填空题(本大题共4个小题,每小题4分,共16分。请将最后答案直接填在横线上)
13、单项式的系数是 ,次数是 ;
14、若x、y互为相反数,a、b互为倒数,则式子;
15、如图是一个正方体的平面展开图,若将其按虚线折叠成正方体后,相对面上的两个数字之和均为6,则;
16、若,则代数式的值是 .
三、解答题(本大题6个小题,共56分。解答应写出必要的文字说明或演算步骤。)
17、(本小题2个小题,第1个小题4分,第2个小题6分,满分10分)计算
(1) (2)
18、(本小题满分8分)已知,
(1)求;(2)若,求的值。
19、(本小题满分8分)如图,某中学购进5个新排球,并进行了质量检测,以每个270克作为质量标准,超过的克数记作正数,不足的克数记作负数。记录如下:
,,,,
(1)求这5个排球中最接近标准质量的排球的克数、
(2)这5个排球的总质量是超过标准总质量还是不足标准总质量?并计算超过或不足的克数、
(3)购买这5个排球时商家是通过快递公司寄给这所中学,已知快递首重不超过1千克运费为12元,如果超过1千克,按照每增加1千克运费增加2元,不足1千克按1千克计算,求商家支付的运费。
20、(本小题满分9分)已知如图,,,直线AD与BE平行吗?直线AB与DC平行吗?说明理由。
C
E
F
D
B
A
21、(本小题满分9分)某菜农的蔬菜基地今年收获大白菜24000千克,在收获前期共投入9000元的成本,大白菜的销售有两种方式:方式一,直接在蔬菜基地销售;方式二,在市场上销售,但平均每天只出售2000千克,且每天需人工费300元,每天还需缴纳管理费等其它费用100元。设直接在蔬菜基地销售每千克为m元,在市场上销售每千克为n元,假设白菜全部销售出去没有损耗。
(1)分别求出两种方式销售大白菜的纯收入(用含m,n的代数式表示);
(2)菜农了解到近期销售行情是:在蔬菜基地销售每千克为2元,在市场上销售每千克为2.5元,你建议菜农选择哪种方式销售可以获利较多?通过计算说明你的理由。
22、(本小题满分12分)【发现问题】如图1,小明同学在做光的折射实验时发现:平行于主光轴MN的光线AB和CD经过凹透镜的折射后,折射光线BE、DF的反向延长线交于主光轴MN上一点P
【提出问题】小明提出:、和三个角之间存在着什么样的数量关系?
【分析问题】我们学习过平行线的性质,利用平行线的性质可以把分成两部分进行研究、
【解决问题】请你帮小明解决这个问题,并说明理由、
【举一反三】(1)如图1,若,,则度;
(2)如图2,已知,点E、F分别是AB、CD上的点,点P位于AB上方,,,用含和的代数式表示下列各角。
①的大小为 ;
②如图3,在图2的基础上,若EQ和FQ分别平分和,则的大小为。
P
图 1
N
M
C
E
F
D
B
A
P
图 2
C
E
F
D
B
A
P
Q
图 3
C
E
F
D
B
A
隆昌市知行中学2023—2024学年度第一学期初中七年级期末统考模拟
数学试题(八)参考答案及评分意见
本试卷三个大题共22个小题,全卷满分120分,考试时间120分钟。
注意事项:
1、答题前,请考生务必将自己姓名、考号、班级等写在试卷相应的位置上;
2、选择题选出答案后,用钢笔或黑色水笔把答案标号填写在选择题答题卡的相应号上。
一、选择题(本大题共12个小题,每小题4分,共48分.以下每小题都给出了A、B、C、D四个选项,其中只有一个是符合题目要求的。)
1、的倒数是( D )
A、2023 B、 C、 D、
2、地球的表面积约为510000000平方千米,把510000000用科学记数法表示为( D )
A、 B、 C、 D、
3、若,则a可能是( A )
A、 B、2 C、7 D、
4、若,则的补角的度数为( C )
A、 B、 C、 D、
5、已知与是同类项,则的值是( A )
A、16 B、4048 C、 D、4
6、已知a、b在数轴上的位置如图所示,则( A )
0
a
b
A、 B、 C、 D、
7、下面这个几何体的展开图形是( A )
A
B
C
D
8、如图,点O在直线AB上,OC,OE,OD均为射线,且,OE平分,则的度数为( B )
A、 B、 C、 D、
D
第8题图
B
O
E
A
C
1
4
2
5
3
A
D
第11题图
B
C
4
x
第9题图
30
A
B
9、如图,长为30cm,宽为xcm的大长方形被分割为7小块,除阴影A、B外,其余5块是形状、大小完全相同的小长方形,其较短的边长为4cm,则阴影A的周长比阴影B的周长( D )
A、多11cm B、多16cm C、多22cm D、多32cm
10、下列说法:①倒数等于本身的数是;②互为相反数的两个非零数的商为;③如果两个数的绝对值相等,那么这两个数相等;④有理数可以分为正有理数和负有理数;⑤单项式的系数是,次数是6;⑥多项式:是三次三项式,其中正确的有( B )
A、①②⑤ B、①②⑥ C、②③④ D、②⑤⑥
11、如图,下列能判定的条件有( C )
①;②;③;④;⑤;⑥
A、1个 B、2个 C、3个 D、4个
12、如图,在公路l上有A、M、C、B、N、D任意六点,点O为直线l外一点,连接OA、OM、OC、OB、ON、OD,下列结论:①在直线l上的线段共有15条;②若OM平分,ON平分,,则;③若M为AB的中点,N为CD的中点,则;④若,,则.正确的有( C )
A、1个 B、2个 C、3个 D、4个
D
l
第12题图
B
O
A
M
C
N
x
3
第15题图
y
8
-1
z
二、填空题(本大题共4个小题,每小题4分,共16分。请将最后答案直接填在横线上)
13、单项式的系数是 ,次数是 ;【答案】,3
14、若x、y互为相反数,a、b互为倒数,则式子;【答案】
15、如图是一个正方体的平面展开图,若将其按虚线折叠成正方体后,相对面上的两个数字之和均为6,则;【答案】0
16、若,则代数式的值是 . 【答案】18
三、解答题(本大题6个小题,共56分。解答应写出必要的文字说明或演算步骤。)
17、(本小题2个小题,第1个小题4分,第2个小题6分,满分10分)计算
(1) (2)
【详解】(1)解原式
(2)解原式
18、(本小题满分8分)已知,
(1)求;(2)若,求的值。
【详解】(1)解:;
(2)解:∵
∴,
将,代入,原式
19、(本小题满分8分)如图,某中学购进5个新排球,并进行了质量检测,以每个270克作为质量标准,超过的克数记作正数,不足的克数记作负数。记录如下:
,,,,
(1)求这5个排球中最接近标准质量的排球的克数、
(2)这5个排球的总质量是超过标准总质量还是不足标准总质量?并计算超过或不足的克数、
(3)购买这5个排球时商家是通过快递公司寄给这所中学,已知快递首重不超过1千克运费为12元,如果超过1千克,按照每增加1千克运费增加2元,不足1千克按1千克计算,求商家支付的运费。
【详解】(1)解:∵
∴(克).
答:最接近标准质量的排球是269.4克.
(2)解:(克),
答:这5个排球的总质量不足标准总质量,不足0.9克.
(3)解:(克)(千克).
(元).
答:商家支付的运费是14元.
C
E
F
D
B
A
20、(本小题满分9分)已知如图,,,直线AD与BE平行吗?直线AB与DC平行吗?说明理由。
【详解】解:,
理由如下:
∵
∴
∴
又∵
∴
∴
21、(本小题满分9分)某菜农的蔬菜基地今年收获大白菜24000千克,在收获前期共投入9000元的成本,大白菜的销售有两种方式:方式一,直接在蔬菜基地销售;方式二,在市场上销售,但平均每天只出售2000千克,且每天需人工费300元,每天还需缴纳管理费等其它费用100元。设直接在蔬菜基地销售每千克为m元,在市场上销售每千克为n元,假设白菜全部销售出去没有损耗。
(1)分别求出两种方式销售大白菜的纯收入(用含m,n的代数式表示);
(2)菜农了解到近期销售行情是:在蔬菜基地销售每千克为2元,在市场上销售每千克为2.5元,你建议菜农选择哪种方式销售可以获利较多?通过计算说明你的理由。
【详解】(1)解:由题意得:蔬菜基地销售的纯收入:()元
市场上销售:(天),(元)
市场上销售的纯收入:元;
(2)解:把代入中,(元)
把代入中,(元)
∵
∴市场上销售可以获利较多.
22、(本小题满分12分)【发现问题】如图1,小明同学在做光的折射实验时发现:平行于主光轴MN的光线AB和CD经过凹透镜的折射后,折射光线BE、DF的反向延长线交于主光轴MN上一点P
【提出问题】小明提出:、和三个角之间存在着什么样的数量关系?
【分析问题】我们学习过平行线的性质,利用平行线的性质可以把分成两部分进行研究、
【解决问题】请你帮小明解决这个问题,并说明理由、
【举一反三】(1)如图1,若,,则度;
(2)如图2,已知,点E、F分别是AB、CD上的点,点P位于AB上方,,,用含和的代数式表示下列各角。
①的大小为 ;
②如图3,在图2的基础上,若EQ和FQ分别平分和,则的大小为。
P
图 1
N
M
C
E
F
D
B
A
P
图 2
C
E
F
D
B
A
P
Q
图 3
C
E
F
D
B
A
【详解】解:解决问题:、和三个角之间存在的数量关系是:,理由如下:
依题意得:
P
图 1
N
M
C
E
F
D
B
A
∴,
∴
即;
(1)∵,
∴,
∴
∴;
故答案为:40.
(2)①过点P作,如图2所示:
P
图 2
C
E
F
D
B
A
M
∵
∴
∴,
∴
∵,,
∴
∴
故答案为:.
P
Q
图 3
C
E
F
D
B
A
②∵EQ和FQ分别平分和,,
∴,
由①的结论可知:
故答案为:.
题号
一
二
三
全卷总分
总分人
17
18
19
20
21
22
得分
题号
一
二
三
全卷总分
总分人
17
18
19
20
21
22
得分
四川省内江市 隆昌市知行中学2023-2024学年七年级上学期期末统考模拟数学试题(6): 这是一份四川省内江市 隆昌市知行中学2023-2024学年七年级上学期期末统考模拟数学试题(6),共4页。试卷主要包含了答题前,请考生务必将自己姓名,若,则的值为等内容,欢迎下载使用。
四川省内江市 隆昌市知行中学2023-2024学年七年级上学期期末统考模拟数学试题(6)(1): 这是一份四川省内江市 隆昌市知行中学2023-2024学年七年级上学期期末统考模拟数学试题(6)(1),共5页。试卷主要包含了答题前,请考生务必将自己姓名,若,则的值为等内容,欢迎下载使用。
四川省隆昌市知行中学2023-2024学年七年级上学期期末统考模拟数学试题(5): 这是一份四川省隆昌市知行中学2023-2024学年七年级上学期期末统考模拟数学试题(5),共4页。试卷主要包含了答题前,请考生务必将自己姓名,下列运算正确的是,若,且,则等内容,欢迎下载使用。

