初中数学人教版九年级下册第二十八章 锐角三角函数28.1 锐角三角函数优秀测试题
展开知识点01 正弦函数
正弦函数的定义与算法:
在Rt△ABC中。∠C=90°,∠A、∠B、∠C所对的边分别是a、b、c,∠A的 与 的比值叫做∠A的正弦,记作 ,则 。
题型考点:①计算正弦三角函数值。②根据三角函数求边长
【即学即练1】
1.如图,在△ABC中,AC=5,BC=12,AB=13,则sinA的值是( )
A.B.C.D.
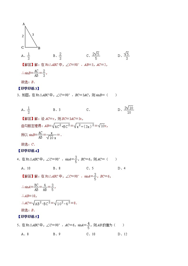
【即学即练2】
2.如图,在Rt△ABC中,∠C=90°,AB=3,AC=2,则sinB的值为( )
A.B.C.D.
【即学即练3】
3.如图,在Rt△ABC中,∠C=90°,BC=3AC,则sinB=( )
A.B.3C.D.
【即学即练4】
4.在Rt△ABC中,∠C=90°,sinA=,BC=6,则AC=( )
A.10B.8C.5D.4
【即学即练5】
5.在Rt△ABC中,∠C=90°,AC=6,sinA=,则AB的值为( )
A.8B.9C.10D.12
知识点02 余弦函数
余弦函数的定义与算法:
在Rt△ABC中。∠C=90°,∠A、∠B、∠C所对的边分别是a、b、c,∠A的 与 的比值叫做∠A的余弦,记作 ,则 。
题型考点:①计算余弦三角函数值。②根据余弦三角函数值求边长。
【即学即练1】
6.如图,在Rt△ABC中,∠C=90°,AC=6,BC=2,则csA的值为( )
A.B.C.D.3
【即学即练2】
7.在Rt△ABC中,∠C=90°,AC=2,BC=5,那么csA的值是( )
A.B.C.D.
【即学即练3】
8.在△ABC中,∠C=90°,AC=12,BC=5,则csB的值是( )
A.B.C.D.
【即学即练4】
9.在Rt△ABC中,∠C=90°,csB=,如果AB=14,那么AC= .
【即学即练5】
10.在Rt△ABC中,∠B=90°,若,AB=12,则BC长为 .
知识点03 正切函数
正切函数的定义与算法:
在Rt△ABC中。∠C=90°,∠A、∠B、∠C所对的边分别是a、b、c,∠A的 与 的比值叫做∠A的正切,记作 ,则 。
题型考点:①计算正切三角函数值。②根据正切三角函数值计算边长。
【即学即练1】
11.如图,在△ABC中,∠C=90°,AC=3,BC=4,则tanA的值是( )
A.B.C.D.
【即学即练2】
12.如图,在Rt△ABC中,∠C=90°,BC=3AC,则tanB=( )
A.B.3C.D.
【即学即练3】
13.如图,在Rt△ABC中,∠C=90°,AC=4,BC=3,则∠BAC的正切值为( )
A.5B.C.D.
【即学即练4】
14.如图,在Rt△ABC中,∠C=90°,BC=2,tanA=,则AB=( )
A.B.C.4D.
【即学即练5】
15.在Rt△ABC中,∠C=90°,AB=26,,那么BC= .
知识点04 特殊角的锐角三角函数值
特殊的锐角三角函数:
题型考点:①特殊锐角三角函数值的计算。
【即学即练1】
16.求下列各式的值
(1)2sin30°﹣cs45°; (2)sin45°+tan30°•sin60°; (3)sin30°+cs30°.
【即学即练2】
17.计算:
cs30°= ; tan60°•sin45°= ;
|tan60°﹣2|= 2﹣ ; = .
【即学即练3】
18.若(tanA﹣)2+(tanB﹣)2=0,∠A,∠B为△ABC的内角,试确定三角形的形状.
题型01 求锐角三角函数值
【典例1】
在Rt△ABC中,∠C=90°,a、b、c分别是∠A、∠B、∠C的对边,且a=3,c=5,求sinA和sinB的值.
【典例2】
在Rt△ABC中,∠C=90°,AC=2,BC=3,求tanA和csA.
.
【典例2】
如图,在Rt△ABC中,∠C=90°,AC=3,BC=4,求sinA,csA,tanA的值.
题型02 根据锐角三角函数求边长
【典例1】
在Rt△ABC中,∠C=90°,BC=3,tanA=,求AC.
【典例2】
在Rt△ABC中,∠C=90°,tanB=,BC=2,求AB的长.
【典例3】
如图,在Rt△ABC中,∠C=90°,BC=10,,求AC和AB.
【典例4】
如图,在△ABC中,∠C=90°,sinA=,AB=26.求△ABC的周长.
题型03 特殊的锐角三角函数值
【典例1】
计算:3tan30°+tan45°﹣2sin60°.
【典例2】
计算:
(1)2cs30°﹣tan60°+sin45°cs45°;
(2)(﹣1)2023+2sin45°﹣cs30°+sin60°+tan260°.
【典例3】
计算:
(1)2sin30°﹣3tan45°+cs60°; (2)cs245°﹣tan30°•sin60°.
【典例4】
在△ABC中,∠A与∠B都是锐角,且,则△ABC的形状是 .
1.在Rt△ABC中,∠C=90°,AB=5,AC=4,下列四个选项,正确的是( )
A.B.C.D.
2.在Rt△ABC中,∠C=90°,,则AB=25,则BC=( )
A.24B.20C.16D.15
3.在 Rt△ABC中,∠C=90°,a,b,c分别表示∠A,∠B,∠C 的对边,那么下列结论中错误的是( )
A.a=bctAB.a=csinAC.D.b=atanB
4.在Rt△ABC中,∠C=90°,BC=1,AC=,那么tanB的值是( )
A.B.C.D.
5.已知实数a=tan30°,b=sin45°,c=cs60°,则下列说法正确的是( )
A.b>a>cB.a>b>cC.b>c>aD.a>c>b
6.在Rt△ABC中,∠C=90°,BC=1,AC=,那么∠B的度数是( )
A.15°B.45°C.30°D.60°
7.在Rt△ABC中,∠C=90°,已知tanA=,若将△ABC各边都扩大5倍,则tanA的值为( )
A.B.C.5D.
8.在△ABC中,若,则∠C的度数是( )
A.45°B.60°C.75°D.105°
9.2cs45°﹣(π+1)0= .
10.在Rt△ABC中,∠C=90°,,BC=12,则AC= .
11.已知△ABC中,∠A,∠B都是锐角,且(csA﹣)2+|tanB﹣1|=0,则∠C= 度.
12.如图,已知tanα=,如果F(4,y)是射线OA上的点,那么F点的坐标是 .
13.计算:
(1)2cs60°+2sin30°+3tan45°; (2)2sin230°﹣﹣(tan30°﹣1).
14.在Rt△ABC中,∠ACB=90°,∠A、∠B、∠C的对边分别是a、b、c,
(1)a=5,c=2a,求b、∠A.
(2)tanA=2,S△ABC=9,求△ABC的周长.
15.已知四边形ABCD内接于⊙O,C是的中点,FC⊥AC于C,与⊙O及AD的延长线分别交于点E,F,且=.
(1)求证:△CBA∽△FDC;
(2)如果AC=9,AB=4,求tan∠ACB的值.
课程标准
学习目标
①锐角三函数的定义
②特殊的锐角三角函数值
掌握锐角三角函数的定义及其求法,能够熟练求锐角三角函数。
掌握特殊的锐角函数值,并能够熟练的进行计算。
特殊角
三角函数
30°
45°
60°
1
初中29.1 投影优秀当堂检测题: 这是一份初中<a href="/sx/tb_c28356_t7/?tag_id=28" target="_blank">29.1 投影优秀当堂检测题</a>,文件包含同步训练人教版初中数学九年级下册第01讲投影与视图原卷版docx、同步训练人教版初中数学九年级下册第01讲投影与视图解析版docx等2份试卷配套教学资源,其中试卷共33页, 欢迎下载使用。
初中数学人教版九年级下册28.2 解直角三角形及其应用精品课堂检测: 这是一份初中数学人教版九年级下册<a href="/sx/tb_c10297_t7/?tag_id=28" target="_blank">28.2 解直角三角形及其应用精品课堂检测</a>,文件包含同步训练人教版初中数学九年级下册第02讲解直角三角形原卷版docx、同步训练人教版初中数学九年级下册第02讲解直角三角形解析版docx等2份试卷配套教学资源,其中试卷共60页, 欢迎下载使用。
初中数学第二十七章 相似27.1 图形的相似优秀测试题: 这是一份初中数学<a href="/sx/tb_c10293_t7/?tag_id=28" target="_blank">第二十七章 相似27.1 图形的相似优秀测试题</a>,文件包含同步训练人教版初中数学九年级下册第01讲图形的相似原卷版docx、同步训练人教版初中数学九年级下册第01讲图形的相似解析版docx等2份试卷配套教学资源,其中试卷共33页, 欢迎下载使用。

