河南省名校联盟2023-2024学年高一上学期期末数学试题
展开一、单选题
1.设集合,则( )
A.B.C.D.
2.若,是第二象限的角,则的值等于( )
A.B.C.D.
3.“”是“”的( )
A.充分不必要条件B.必要不充分条件
C.充要条件D.既不充分也不必要条件
4.已知函数是奇函数,当时,,则( )
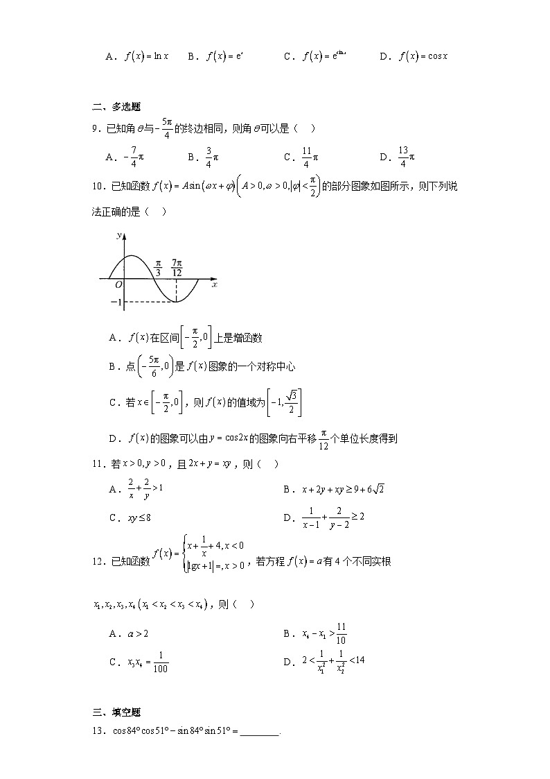
A.1B.C.D.3
5.如图是杭州第19届亚运会的会徽“潮涌”,将其视为一扇面,若的长为的长为,则扇面的面积为( )
A.190B.192C.380D.384
6.已知幂函数的图象过点,则的定义域为( )
A.B.
C.D.
7.已知函数,设,则( )
A.B.C.D.
8.定义:对于定义域内的任意一个自变量的值,都存在唯一一个使得成立,则称函数为“正积函数”.下列函数是“正积函数”的是( )
A.B.C.D.
二、多选题
9.已知角与的终边相同,则角可以是( )
A.B.C.D.
10.已知函数的部分图象如图所示,则下列说法正确的是( )
A.在区间上是增函数
B.点是图象的一个对称中心
C.若,则的值域为
D.的图象可以由的图象向右平移个单位长度得到
11.若,且,则( )
A.B.
C.D.
12.已知函数,若方程有4个不同实根,则( )
A.B.
C.D.
三、填空题
13. .
14.函数的零点为 .
15.若集合的非空子集为,则关于的不等式的解集为 .
16.已知函数,若对任意恒有,则的取值集合为 .
四、解答题
17.已知集合.
(1)若,求;
(2)若“”是“”的必要条件,求的取值范围.
18.已知.
(1)化简;
(2)若均为锐角,,求的值.
19.已知函数.
(1)若不等式在实数上有解,求实数的取值范围;
(2)当时,解关于的不等式.
20.某机构通过对某企业今年的生产经营状况的调查,得到月利润(单位:万元)与相应月份的部分数据如下表:
(1)根据上表中的数据,从(这里的都是常数)三个函数模型中选取一个恰当的模型描述与的变化关系,并说明理由;
(2)利用2月份和5月份的数据求出(1)中选择的函数模型,并估计几月份的月利润最大.
21.已知函数.
(1)若,求的最小值;
(2)若在区间上的值域为,求的取值范围.
22.已知函数为偶函数.
(1)求实数的值;
(2)解关于的不等式;
(3)设,若函数与图象有个公共点,求实数的取值范围.
2
5
7
10
229
244
241
227
参考答案:
1.C
【分析】根据题意求解,再求解其,判断选项.
【详解】
所以.
故选:C
2.C
【分析】先求得,然后求得.
【详解】由于,是第二象限的角,
所以,
所以.
故选:C
3.A
【分析】根据充要条件的要求分别判断即得,对于较复杂的命题,应先求出其等价命题在判断.
【详解】因,由“”可得“”,即“”是“”的充分条件;
而由“”显然不能得到“”,即“”不是“”的必要条件.
所以“”是“”的充分不必要条件.
故选:A.
4.C
【分析】利用奇函数的定义将转化为,结合的解析式求解即可.
【详解】当时,,则;
因为函数是奇函数,则.
故选:.
5.D
【分析】根据题意设,构造方程组,求出,进而求出扇形面积.
【详解】如图,设,由题意可知解得,扇面的面积为.
故选:D.
6.B
【分析】依据题意设出解析式,求出解析式后求解具体函数定义域即可.
【详解】是幂函数,设,将代入解析式,
得,解得,故,则,
故,解得
故选:B
7.D
【分析】根据函数的奇偶性、单调性比较大小.
【详解】因为的定义域为,且,
所以为偶函数,,
又当时,单调递减,
由以及,
可得,
即.
故选:D.
8.B
【分析】根据“正积函数”的定义一一判断即可.
【详解】对于A,,
由,
当时,则不存在满足情况,故A不是正积函数;
对于B,,
由,
则任意一个自变量的值,都存在唯一一个满足,
故B是正积函数;
对于C,,
由,
得,
当时,则,,,则不唯一,故C不是正积函数;
对于D,,
由,
当时,则不存在满足情况,故D不是正积函数.
故选:B.
9.BC
【分析】依题意,判断选项.
【详解】依题意,当时,,当时,,所以选项符合,选项不符合.
故选:.
10.CD
【分析】根据函数图像特征,从最小值,周期,及最低点坐标可依次求出参数值,得到函数解析式;将看成整体角z,由选项求出其值或取值范围,结合正弦函数的图象即可判断单调性、对称性以及函数的值域;最后通过诱导公式将化成,经过平移图象即可判断.
【详解】
由图知,,则,故,
代入点,即得:,则,
故,因,则得:,即:.
对于A项,由,得,
所以函数在区间上是增函数.
当时,函数在区间上是增函数,
故函数在区间上是减函数,在区间上是增函数,故A项错误;
对于B项,由,得,
函数图象的对称中心是,(而时,,故B项错误;
对于C项,若,则,
则的值域为,故C项正确;
对于D项,,
将函数的图象向右平移个单位长度得到的图象,故D项正确.
故选:CD.
11.ABD
【分析】由题意可得,根据可判断A;,利用“乘1法”可判断B;根据可判断C;可化为,利用基本不等式可判断D.
【详解】
∴,A正确;
,当且仅当时等号成立,B正确;
,解得错误;
,由题意知,,则,当且仅当时等号成立,D正确.
故选:ABD.
12.BCD
【分析】画出函数图像,结合函数性质逐项分析得答案.
【详解】当时,即,当且仅当时取等号,
在上递增,在上递减,
当时,且在上递减,在上递增,
综上,可得图象如下,
当且仅当时方程有4个不同实根,A错误;
结合图象及题设知:,B正确;
由题得且,
所以,C正确;
是方程的两个根,即方程的两个根,
所以则,
由,得,所以,D正确.
故选:BCD.
13./
【分析】根据和角余弦公式的逆用,即可求解.
【详解】
故答案为:
14.
【分析】根据题意,由函数零点的定义,代入计算,即可得到结果.
【详解】令,则,即,
所以函数的零点为.
故答案为:
15.
【分析】分析可得,利用二次不等式的解法解原不等式,即可得解.
【详解】由题意可知,方程的唯一解为,故,
由可得,解得,
故关于的不等式的解集为.
故答案为:.
16.
【分析】由绝对值不等式解得对恒成立,再结合二次函数的图象和单调性即可得到答案.
【详解】因为,
所以,
因为,
因为,则,
,
所以,故,所以的取值集合为.
故答案为:.
17.(1)
(2)
【分析】(1)由题意得化简集合,结合交集的概念即可得解.
(2)由题意,即问题转化为恒成立,由此即可得解.
【详解】(1),
由解得,
所以时,,
所以.
(2)若“”是“”的必要条件,则,
由(1)知,
所以对任意,有,
所以问题转化为恒成立,
所以,即的取值范围为.
18.(1)
(2)
【分析】(1)利用诱导公式和三角函数的周期性化简即可.
(2)把所求角用已知角表示(整体思想),即,之所以用余弦是因为用正弦无法判断是第几象限角.
【详解】(1)原式
(2)由(1)得,所以,
因为均为锐角,所以,
又,所以,
由,得,
所以,
又为锐角,故.
19.(1)
(2)答案见解析
【分析】(1)对进行分类讨论,再根据题设条件即可求出结果;
(2)利用含参不等式的解法,对进行分类讨论,即可求出结果.
【详解】(1)因为在上有解,
(1)当时,成立,
(2)当时,由,得到,解得,
(3)当时,在上恒有解,
综上所述,实数的取值范围为.
(2)由,得到,因为,
(1)当时,得到,即上,此时不等式的解集为,
(2)当时,因为,
①当,,此时方程的两根 ,且有,
此时不等式的解集为或.
②当时,,此时不等式的解集为R ,
综上所述:
当,解集为;
当,解集为或;
当,解集为R.
20.(1)选取二次函数,理由见解析
(2);6月份的利润最大
【分析】(1)根据表格中的数据不是单调函数,即可作出选择;
(2)将点代入,求得函数,结合二次函数的性质,即可求解.
【详解】(1)解:由题目中的数据知,描述每月利润与相应月份数的变化关系不是单调函数,
所以应选取二次函数进行描述.
(2)解:将点,代入,
可得,解得,
所以,即,
所以当时,取最大值,故可估计6月份的利润最大.
21.(1)1
(2)
【分析】(1)根据条件可知函数关于点对称,代入即可求解;
(2)首先求的范围,再根据三角函数的图象和性质,即可列不等式求的取值范围.
【详解】(1)因为,
所以的图象关于点对称,
则,
解得.
又,故当时,取得最小值1.
(2)当时,,
因为函数在区间上的值域为,所以,
解得:.
所以的取值范围为.
22.(1)
(2)
(3)
【分析】(1)根据偶函数的定义建立方程,解出即可;
(2)考查函数在的单调性,根据条件转化不等式,解出即可;
(3)根据题意可知方程有两个不同的根,化简方程后,列出条件,解出即可.
【详解】(1)函数的定义域为,
因为函数为偶函数.
所以,
即,
所以
,
所以;
(2)因为,
当时,,单调递增,
所以在上单调递增,又函数为偶函数,
所以函数在上单调递减;
因为,所以,
解得或,
所以不等式的解集为
(3)因为函数与图象有个公共点,
所以方程有两个不同的根,
方程即为,
可化为,
则有,,
设,则,
即,
又在上单调递增,
所以方程有两个不等的正根;
所以,
解得,
所以的取值范围为.
河南省名校联盟2023-2024学年高一上学期期末数学试题: 这是一份河南省名校联盟2023-2024学年高一上学期期末数学试题,文件包含2023-2024高一上联盟期末数学试题pdf、数学dapdf等2份试卷配套教学资源,其中试卷共8页, 欢迎下载使用。
河南省新高中联盟TOP二十名校2023-2024学年高一上学期12月调研考试数学试题: 这是一份河南省新高中联盟TOP二十名校2023-2024学年高一上学期12月调研考试数学试题,共11页。
河南省顶尖名校联盟2023-2024学年高一上学期期中检测数学试题 (含答案): 这是一份河南省顶尖名校联盟2023-2024学年高一上学期期中检测数学试题 (含答案),共10页。

