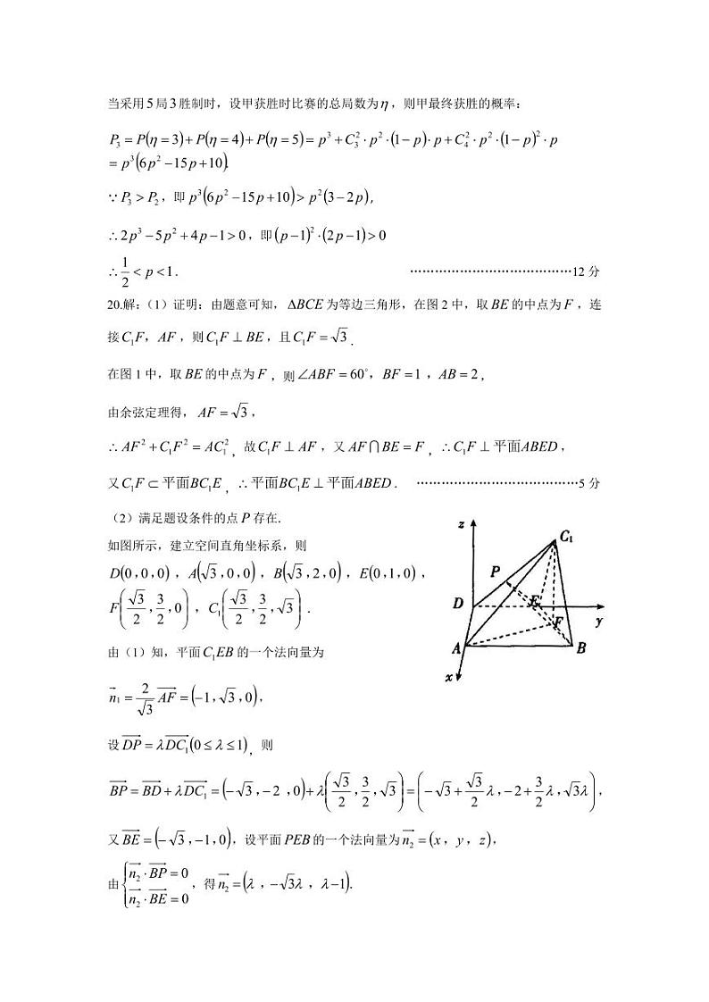
云南省曲靖市2023-2024学年高三上学期第一次质量监测数学试题
展开云南省曲靖市2024届高三上学期第一次教学质量监测数学试卷及答案: 这是一份云南省曲靖市2024届高三上学期第一次教学质量监测数学试卷及答案,共12页。
云南省曲靖市2024届高三第一次教学质量监测数学: 这是一份云南省曲靖市2024届高三第一次教学质量监测数学,文件包含曲靖市市统考数学试卷pdf、高三数学参考答案pdf等2份试卷配套教学资源,其中试卷共12页, 欢迎下载使用。
云南省曲靖市2024届高三上学期第一次质量监测数学试题: 这是一份云南省曲靖市2024届高三上学期第一次质量监测数学试题,共23页。试卷主要包含了单选题,多选题,填空题,解答题等内容,欢迎下载使用。

