2021届高三数学(文理通用)一轮复习题型专题训练:函数y=Asin(ωx+φ)的图像变换(二)(含解析)
展开
这是一份2021届高三数学(文理通用)一轮复习题型专题训练:函数y=Asin(ωx+φ)的图像变换(二)(含解析),共19页。试卷主要包含了若函数等内容,欢迎下载使用。
一.选择题(在每小题给出的四个选项中,只有一项是符合题目要求的)
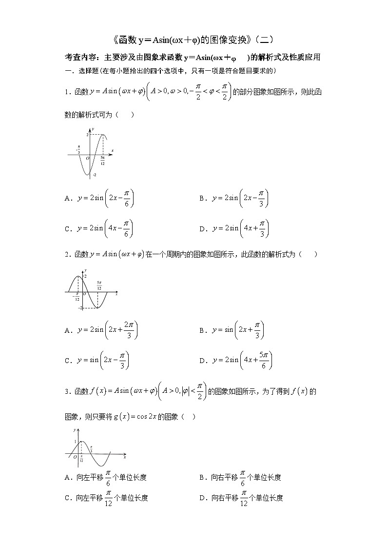
1.函数的部分图象如图所示,则此函数的解析式可为( )
A.B.
C.D.
2.函数在一个周期内的图象如图所示,此函数的解析式为( )
A.B.
C.D.
3.函数的图象如图所示,为了得到的图象,则只要将的图象( )
A.向左平移个单位长度B.向右平移个单位长度
C.向左平移个单位长度D.向右平移个单位长度
4.函数其中的图象如图所示,为了得到图象,则只需将的图象( )
A.向右平移个长度单位B.向左平移个长度单位
C.向右平移个长度单位D.向左平移个长度单位
5.如图是函数的图象的一部分,则要得到该函数的图象,只需要将函数的图象( )
A.向左平移个单位长度B.向右平移个单位长度
C.向左平移个单位长度D.向右平移个单位长度
6.已知函数一个周期内的图象如图所示,,为图象上的最高点,则的值为( )
A.B.
C.D.
7.若函数(其中,)图象的一个对称中心为,其相邻一条对称轴方程为,该对称轴处所对应的函数值为-1,为了得到的图象,则只要将的图象( )
A.向右平移个单位长度B.向左平移个单位长度
C.向右平移个单位长度D.向左平移个单位长度
8.如图,,是函数的图象与轴的两个相邻交点,是函数的图象的一个最高点,若是等腰直角三角形,则函数的解析式是( )
A.B.
C.D.
9.函数的图象如图所示,先将函数图象上所有点的横坐标变为原来的6倍,纵坐标不变,再将所得函数的图象向左平移个单位长度,得到函数的图象,下列结论正确的是( )
A.函数是奇函数
B.函数在区间上是增函数
C.函数图象关于对称
D.函数图象关于直线对称
10.已知函数,其图象相邻两条对称轴之间的距离为,将函数的图象向左平移个单位以后得到一个偶函数,则下列判断正确的是( )
A.函数的最小正周期为
B.函数在上单调递增
C.函数的图象关于点对称
D.函数的图象关于直线对称
11.若函数的部分图象如图所示,则下列叙述正确的是( )
A.是函数图象的一个对称中心
B.函数的图象关于直线对称
C.函数在区间上单调递增
D.函数的图象可由的图象向左平移个单位得到
12.函数 ()的部分图象如图所示,若,且,则( )
A.1B.C.D.
二.填空题
13.函数的部分图像如图所示,则的值为_______________.
14.若函数(,,)的部分图象如图所示,则的值为________.
15.已知函数(,)的部分图象如图所示,则的值为 .
16.已知函数的部分图象如图所示,下列说法正确的有______.(写出所有正确说法的序号)
①的图象关于点对称;
②的图象关于直线对称;
③的图象可由的图象向左平移个单位长度得到;
④方程在上有两个不相等的实数根.
三.解答题(解答应写出文字说明、证明过程或演算步骤)
17.已知函数的部分图象如图所示.
(1)求的解析式;(2)将图象上所有点向左平行移动个单位长度,得到图象,求函数在上的单调递增区间.
18.已知函数(,,)的一段图像如下图所示,
(1)求函数的解析式;(2)求函数的单调增区间;
19.已知函数的部分图象如图所示.
(1)求的解析式及对称中心坐标;
(2)先将的图象纵坐标缩短到原来的倍,再向右平移个单位,最后将图象向上平移1个单位后得到的图象,求函数在上的单调减区间和最值.
20.已知函数的部分图象如图所示.
(1)求的解析式;(2)将函数的图象上所有点的纵坐标不变,横坐标缩短为原来,再将所得函数图象向右平移个单位,得到函数的图象,当方程,有两个不同的实数根时,求的取值范围.
21.已知函数的部分图像如图所示.
(1)求的解析式及对称中心坐标;
(2)先将的图像纵坐标缩短到原来的倍,再向右平移个单位,最后将图像向上平移1个单位后得到的图像,求函数在上的单调增区间和最值.
22.已知函数,(其中,,)的图象与轴的交点中,相邻两个交点之间的距离为,且图象上一个最高点为.
(1)求的解析式;
(2)先把函数的图象向左平移个单位长度,然后再把所得图象上各点的横坐标伸长到原来的2倍(纵坐标不变),得到函数的图象,试写出函数的解析式.
(3)在(2)的条件下,若存在,使得不等式成立,求实数的最小值.
《函数y=Asin(ωx+φ)的图像变换》(二)解析
1.【解析】由图知:,所以,.
又因为,所以.
当时,,所以,.
即,.因为,所以.
所以函数的解析式为.故选:B
2.【解析】根据函数图像可知,
周期,所以,
所以,将最高点坐标代入可得
,所以,
解得,当时,,所以,
故选:A.
3.【解析】由题意,函数的部分图象,
可得,即,所以,
再根据五点法作图,可得,求得,
故.
函数的图象向左平移个单位,可得
的图象,则只要将的图象向右平移个单位长度可得的图象,故选:D.
4.【解析】由题意,三角函数的图象可知,且,
即 ,又由,解得,即,
又由,
解得,
即,又由,所以,即,
又函数向左平移个长度单位,即可得到,故选D.
5.【解析】如图知: , , , 又
,,,
解得:
又,,,
由三角函数图象平移性质得
(技巧:由三角函数图象平移性质得 )
所以函数向右平移个单位长度得到.故选:B
6.【解析】方法一:由图象得,故,所以.又点在函数的图象上,故,
解得,
所以,又,所以.综上选C.
方法二:由题意得,解得.选C.
7.【解析】由条件可知函数的最小值为-1,即,
对称中心和相邻的对称轴间的距离为,即,解得:
当时,,
,,,
,
由变换到,
即,
根据平移变换规律可知,只需向左平移个单位.故选:D
8.【解析】由题意可得,
因为是等腰直角三角,所以,所以,即
则,故,
将代入的解析式得,
可得,解得,
因为,所以,则.故选:B.
9.【解析】由图得函数的周期,所以.
因为函数的图象过点,所以,
所以,所以.
因为,所以,所以.
先将函数的图象上所有点的横坐标变为原来的6倍,纵坐标不变,得到的图象,再将所得函数的图象向左平移个单位长度,得到.
对于A选项,因为函数为偶函数,故A错误;
对于B选项,令,则,
而,故B错误;
对于C选项,令,则,所以函数的对称中心为,故C错误;
对于D选项,令,则,所以函数的对称轴为,当时,有,即D正确.
故选:D.
10.【解析】由已知,,,,
向左平移个单位后得,
它为偶函数,则,又,∴,
所以,A错,
时,,B正确;
,因此是对称轴,
不是对称中心,C错;
,不是对称轴,D错.
故选:B.
11.【解析】由图可知,,
函数的图象经过点,,
,即,
,,,,
令,则,
当时,对称中心为,即A正确;
令,则,
不存在使其对称轴为,即B错误;
令,
则,
当时,函数的单调递增区间为,即C错误;
的图象向左平移个单位得到,即D错误.故选:A.
12.【解析】由图象可知, ,即,所以,
即,又因为,则,
解得,
又由,所以,所以,
又因为,所以图中的最高点坐标为.
结合图象和已知条件可知,
所以,故选D.
13.【解析】由函数图象得,得最小正周期为,所以,由图象函数图象关于点中心对称,关于轴对称,且 则
14.【解析】由图可得,,,所以,,,所以,又,即,
解得,又,所以,所以,所以.
15.【解析】先计算周期,则,函数,又图象过点,
则,∴
由于,则.
16.【解析】由函数的图象可得,,求得,
由五点作图法可得,求得,
所以,因为,
所以点是图象的对称中心,故①正确;
,所以直线是图象的对称轴,故②正确;
将函数的图象向左平移个单位长度得到函数的图象,故③不正确;
当时,,
根据在区间上的图象可知,
方程在上有两个不相等的实数根.故④正确.
故答案为:①②④
17.【解析】(1)由图象可知,周期,
∴ , ∴,
又点在函数的图象上,∴,
∴,∴,又,
∴,∴ .
(2)由(1)知,
因此.
由,
,又,∴.
故函数在上的单调递增区间为.
18.【解析】(1)由题意知:,,
,,
过点,,
,解得,
又,,则.
(2)令,,解得,
所以函数的单调增区间为,.
19.【解析】(1)由所给图象知:;,,,,∴,把点代入得:,
即,,又∵,∴,
∴;
由,,得,,
所以的对称中心为,.
(2)易知.
化简得,
当时,由,,得,
所以的单调递减区间是:;
当时,,当,即时,有最大值,
最大值为,当,即时,有最小值,
最小值为.
20.【解析】(1)由图象可知,函数的最小正周期满足,则,
,,则,
由图象可得,
,,则,可得,
则,
又,得,因此,;
(2)将函数的图象上所有点的纵坐标不变,横坐标缩短为原来,再将所得函数图象向右平移个单位,得到的图象,当-时,,令,
则直线与函数在上的图象有两个交点,如下图所示:
由图象可知,当时,直线与函数在上的图象有两个交点,因此,实数的取值范围是.
21.【解析】(1)由图知:,解得,,
, 所以,
把点代入得:,
即,,又因为,所以,
即;
令,,解得,
故所求对称中心坐标为:,.
(2)的图像纵坐标缩短到原来的倍,得到,
再向右平移个单位,得到,
再将图像向上平移1个单位,得到
由,,解得,
因为,所以增区间为.
因为,当时,有最大值,
当时,有最小值.
22.【解析】(1)∵,∴,解得;
又函数图象上一个最高点为,
∴,,
∴,又,∴,∴;
(2)把函数的图象向左平移个单位长度,
得到的图象,
然后再把所得图象上各点的横坐标伸长到原来的2倍(纵坐标不变),
得到函数的图象,即;
(3)∵,∴,,
依题意知,,∴,即实数的最小值为.
相关试卷
这是一份2021届高三数学(文理通用)一轮复习题型专题训练:函数y=Asin(ωx+φ)的图像变换(一)(含解析),共14页。试卷主要包含了定义运算等内容,欢迎下载使用。
这是一份2023高考数学复习专项训练《函数y=Asin(ωx+φ)的图象变换》,共15页。试卷主要包含了、单选题,、填空题,、解答题等内容,欢迎下载使用。
这是一份微专题 函数y=Asin(ωx+φ)的图象及图象变换 学案——2023届高考数学一轮《考点·题型·技巧》精讲与精练,共39页。

