四川省南充高级中学2023-2024学年高三上学期第四次月考数学(理科)试题及参考答案
展开这是一份四川省南充高级中学2023-2024学年高三上学期第四次月考数学(理科)试题及参考答案,文件包含理科答案pdf、数学理docx等2份试卷配套教学资源,其中试卷共10页, 欢迎下载使用。
(命题人:刘琳 审题人:杨国选)
时间:120 分钟 总分:150分
注意事项:
1. 答题前,务必将自己的姓名、班级、考号填写在答题卡规定的位置上。
2. 答选择题时,必须使用2B铅笔将答题卡上对应题目的答案标号涂黑,如需改动,用橡皮擦擦干净后,再选涂其它答案标号。
3. 答非选择题时,将答案书写在答题卡相应位置上,写在本试卷上无效。
4. 考试结束后,将答题卡交回。
一、选择题:本题共12个小题,每小题5分,共60分。在每小题给出的四个选项中,只有一项是符合题目要求的。
已知集合,则( )
B.C.D.
2.若是虚数单位,则复数的虚部为 ( )
A. B. C. D.
3. 已知等差数列中,,,则等于( )
A.15B.30C.31D.64
4.在中,“”是“”的( )
A.充分不必要条件 B.必要不充分条件
C.充要条件 D.既不充分也不必要条件
5.已知向量满足,则( )
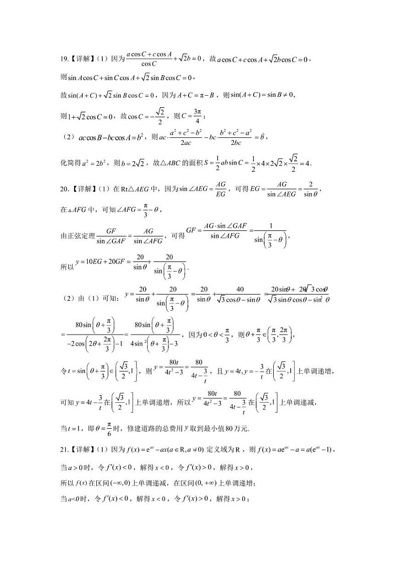
A.-2B.-1C.0D.2
6. 已知角的顶点是坐标原点,始边是轴的正半轴,终边是射线,则( )
A.B.C.D.
7.中国古典十大名曲是指《高山流水》、《梅花三弄》、《夕阳箫鼓》、《汉宫秋月》、《阳春白雪》、《渔樵问答》、《胡笳十八拍》、《广陵散》、《平沙落雁》、《十面埋伏》。如图,以时间为横轴、音高为纵轴建立平面直角坐标系,那么写在五线谱中的音符就变成了坐标系中的点,如果这些点在函数的图象上,且图象过点,相邻最大值与最小值之间的水平距离为,则是函数的单调递增区间的是( )
A.B.
C.D.
8. 已知函数,,若,b=,c=,则、、的大小关系为( )
A.B.C.D.
9. 已知定义在R上的函数,且与曲线交于点,则为( )
A.B.C.D.
10.若对任意的、,且,,则的取值范围是( )
A.B.C.D.
11. 已知数列的前项和,,且,,(其中),则的最小值是( )
A.4B.2C.2023D.
12.已知函数,方程有两个不等实根,则下列选项正确的是( )
A.(0,0)是函数的零点 B.的取值范围是
C.是的极大值点 D.,,使
二、填空题:本题共4小题,每小题5分,共20分。
13.已知函数= .
14.设命题,若是假命题,则实数的取值范围是 .
15. 已知函数在区间上有零点,则的最小值为 .
已知函数的周期为,图象的一个对称中心为,将函数图象上的所有点的横坐标伸长为原来的2倍(纵坐标不变),再将所得图象向右平移个单位长度后得到函数的图象.若存在实数与正整数,使得在内恰有2023个零点,则的值为 .
三、解答题:共70分。解答应写出文字说明、证明过程或演算步骤。第17~21题为必考题,每个试题考生都必须作答。第22、23题为选考题,考生根据要求作答。
17.已知函数.
(1)若时,求函数在点处的切线方程;
(2)若函数在区间上单调递减,求实数的取值范围.
18.数列满足
(1)求证:是等比数列;
(2)若,求的前项和为.
19.已知在△ABC中,角A,B,C所对的边分别为a,b,c,若a=4,,
(1)求角C的值;
(2)若,求△ABC的面积.
20.某公司拟扩建公司办公区域,扩建区域平面示意图大致为为四边形(如图所示)。为了学习和生活的方便,现需要在线段和线段上分别选一处位置,分别记为点和点,修建一条贯穿两块区域的直线道路,线段与线段交于点,段和段修建道路每千米的费用分别为10万元和20万元,已知线段长2千米,线段和线段长均为6千米,,设.
(1)求修建道路的总费用(单位:万元)与的关系式(不用求的范围);
(2)求修建道路的总费用的最小值.
21.已知函数.
(1)讨论的单调性;
(2)若,求的最小值.
(二)选考题:共10分。请考生在第22、23题中任选一题作答。如果多做,则按所做的第一题计分。
22.在平面直角坐标系中,以原点为极点,轴的正半轴为极轴建立极坐标系,两种坐标系取相同的单位长度,已知曲线:,过点的直线的参数方程为:(为参数).
(1)求曲线C的普通坐标方程和直线的极坐标方程;
(2)直线与曲线分别交于、两点.若、、成等比数列,求的值。
23.已知函数.
(1)若,求不等式的解集;
(2)若,,使得能成立,求实数m的取值范围.
相关试卷
这是一份2023-2024学四川省南充高级中学年高三上学期第四次月考数学(理)试题含答案,文件包含四川省南充高级中学2023-2024学年高三上学期第四次月考数学理科试题Word版含解析docx、四川省南充高级中学2023-2024学年高三上学期第四次月考数学理科试题Word版无答案docx等2份试卷配套教学资源,其中试卷共32页, 欢迎下载使用。
这是一份四川省南充高级中学2023-2024学年高三上学期第四次月考数学(理科)试题(Word版附解析),共21页。试卷主要包含了考试结束后,将答题卡交回等内容,欢迎下载使用。
这是一份四川省南充高级中学2023-2024学年高三上学期第四次月考数学(文)试题(Word版附解析),共19页。试卷主要包含了考试结束后,将答题卡交回, 已知向量满足,则, 函数在上的图象大致为, 函数的零点个数为等内容,欢迎下载使用。

