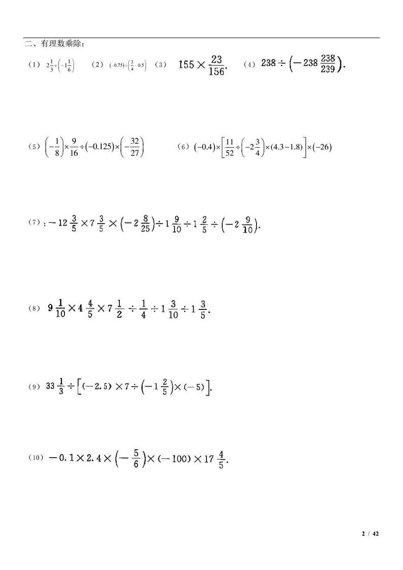
北师大初中中考计算试卷专项练习(有理数整式分式方程无答案)
展开中考数学计算专项训练专题7解分式方程含解析答案: 这是一份中考数学计算专项训练专题7解分式方程含解析答案,共7页。试卷主要包含了分式方程的解是,若关于x的方程无解,则m的值为,解方程等内容,欢迎下载使用。
中考数学计算专项训练专题2整式的化简含解析答案: 这是一份中考数学计算专项训练专题2整式的化简含解析答案,共16页。试卷主要包含了下列计算正确的是,下列运算结果正确的是,下列运算正确的是……,计算,计算的结果是,化简的结果正确的是等内容,欢迎下载使用。
北师大版中考第三轮复习 计算题专项训练(word,无答案): 这是一份北师大版中考第三轮复习 计算题专项训练(word,无答案),共5页。试卷主要包含了 计算, 先化简, 再求代数式的值, 阅读材料等内容,欢迎下载使用。

