资料中包含下列文件,点击文件名可预览资料内容
还剩5页未读,
继续阅读
所属成套资源:备战2024年数学新高考一轮复习之专题知识归纳和题型技巧大综合
成套系列资料,整套一键下载
专题17 函数值的大小比较小题综合-备战2024年数学新高考一轮复习之专题知识归纳和题型技巧大综合
展开这是一份专题17 函数值的大小比较小题综合-备战2024年数学新高考一轮复习之专题知识归纳和题型技巧大综合,文件包含专题17函数值的大小比较小题综合原卷版docx、专题17函数值的大小比较小题综合解析版docx等2份试卷配套教学资源,其中试卷共37页, 欢迎下载使用。
冲刺秘籍
构造函数的重要依据
常见构造类型
常见的指对放缩
,,,
常见的三角函数放缩
其他放缩
,,
,,
,
,
放缩程度综合
,
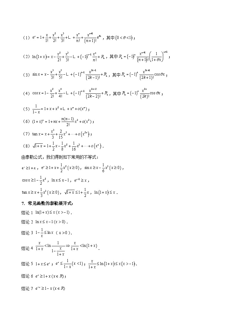
常见函数的泰勒展开式:
(1),其中;
(2),其中;
(3),其中;
(4),其中;
(5);
(6);
(7);
(8).
由泰勒公式,我们得到如下常用的不等式:
,,,
,,,
,,.
常见函数的泰勒展开式:
结论1 .
结论2 .
结论3 ().
结论4 .
结论5 ;;.
结论6 ;
结论7
结论8 .
结论9 .
冲刺训练
一、单选题
1.(2023·江西赣州·统考模拟预测)已知,,,则( )
A.B.C.D.
2.(2023·云南·校联考模拟预测)已知,则( )
A.B.
C.D.
3.(2023·江苏徐州·校考模拟预测)已知,,,则( )
A.B.C.D.
4.(2023·四川泸州·四川省泸县第一中学校考模拟预测)若,,,则a,b,c的大小关系为( )
A.B.
C.D.
5.(2023·陕西西安·西安市大明宫中学校考模拟预测)已知,则( )
A.B.
C.D.
6.(2023·福建宁德·校考模拟预测)记,,,则( )
A.B.
C.D.
7.(2023·全国·模拟预测)已知,,,则( )
A.B.
C.D.
8.(2023·贵州黔东南·凯里一中校考模拟预测)若,,,则( )
A.B.C.D.
9.(2023·广东深圳·统考二模)已知,则的大小关系是( )
A.B.
C.D.
10.(2023·河南·校联考模拟预测)已知,则的大小关系是( )
A.B.C.D.
11.(2023·广东汕头·统考三模)设,,,则( )
A.B.C.D.
12.(2023·江苏无锡·校联考三模)设,,,则( )
A.B.C.D.
13.(2023·河北·统考模拟预测)设,,,则( )
A.B.C.D.
14.(2023·浙江·校联考模拟预测)已知,且满足,则( )
A.B.
C.D.
15.(2023·辽宁沈阳·东北育才学校校考模拟预测)设,,,则a,b,c的大小关系正确的是( )
A.B.
C.D.
16.(2023·黑龙江大庆·大庆实验中学校考模拟预测)已知,,,则( )
A.B.C.D.
17.(2023·河南开封·校考模拟预测)若,则的大小关系为( )
A.B.
C.D.
18.(2023·福建福州·福建省福州第一中学校考模拟预测),则( )
A.B.
C.D.
19.(2023·贵州毕节·校考模拟预测)设,,,则( )
A.B.C.D.
20.(2023·海南·统考模拟预测)已知,,,则( )
A.B.
C.D.
21.(2023·全国·校联考二模)已知,则( )
A.B.
C.D.
22.(2023·湖南长沙·长沙市明德中学校考三模)已知实数满足: ,则( )
A.B.C.D.
23.(2023·湖北黄冈·浠水县第一中学校考模拟预测)设,,,则( )
A.a<b<cB.c<b<a
C.c<a<bD.a<c<b
24.(2023·湖北武汉·统考三模)已知,,,则a,b,c的大小关系为( )
A.B.
C.D.
25.(2023·河南开封·校考模拟预测)若,则的大小关系为( )
A.B.
C.D.
26.(2023·甘肃张掖·高台县第一中学校考模拟预测)已知,,,则( )
A.B.
C.D.
27.(2023·江苏·校联考模拟预测)已知,,,则( )
A.B.C.D.
28.(2023·福建福州·福建省福州第一中学校考二模)设,则( )
A.B.
C.D.
29.(2023·山东日照·三模)若,则( )
A.B.
C.D.
30.(2023·贵州黔东南·凯里一中校考模拟预测)若,,,则( )
A.B.
C.D.
相关试卷
专题15 函数的图象小题综合-备战2024年数学新高考一轮复习之专题知识归纳和题型技巧大综合:
这是一份专题15 函数的图象小题综合-备战2024年数学新高考一轮复习之专题知识归纳和题型技巧大综合,文件包含专题15函数的图象小题综合原卷版docx、专题15函数的图象小题综合解析版docx等2份试卷配套教学资源,其中试卷共47页, 欢迎下载使用。
专题11 直线与圆小题综合-备战2024年数学新高考一轮复习之专题知识归纳和题型技巧大综合:
这是一份专题11 直线与圆小题综合-备战2024年数学新高考一轮复习之专题知识归纳和题型技巧大综合,文件包含专题11直线与圆小题综合原卷版docx、专题11直线与圆小题综合解析版docx等2份试卷配套教学资源,其中试卷共33页, 欢迎下载使用。
专题09 数列小题综合-备战2024年数学新高考一轮复习之专题知识归纳和题型技巧大综合:
这是一份专题09 数列小题综合-备战2024年数学新高考一轮复习之专题知识归纳和题型技巧大综合,文件包含专题09数列小题综合原卷版docx、专题09数列小题综合解析版docx等2份试卷配套教学资源,其中试卷共33页, 欢迎下载使用。

