所属成套资源:全套2024届高考数学二轮复习专题课件
2024届高考数学二轮复习专题1直线与圆课件
展开
这是一份2024届高考数学二轮复习专题1直线与圆课件,共60页。PPT课件主要包含了专题五解析几何,微专题1直线与圆等内容,欢迎下载使用。
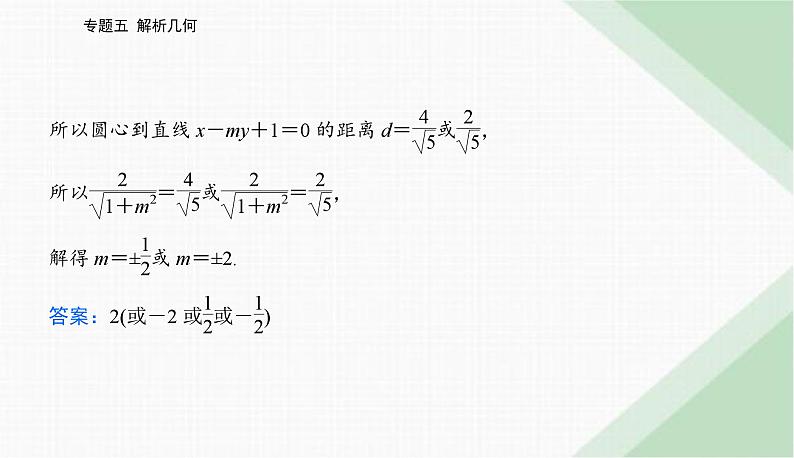
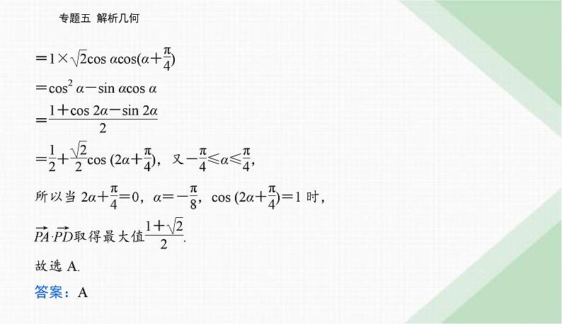
专题五 解析几何专题五 解析几何专题五 解析几何专题五 解析几何专题五 解析几何专题五 解析几何专题五 解析几何专题五 解析几何专题五 解析几何专题五 解析几何专题五 解析几何专题五 解析几何专题五 解析几何专题五 解析几何专题五 解析几何专题五 解析几何专题五 解析几何专题五 解析几何专题五 解析几何专题五 解析几何专题五 解析几何专题五 解析几何专题五 解析几何专题五 解析几何专题五 解析几何专题五 解析几何专题五 解析几何专题五 解析几何专题五 解析几何专题五 解析几何专题五 解析几何专题五 解析几何专题五 解析几何专题五 解析几何专题五 解析几何专题五 解析几何专题五 解析几何专题五 解析几何专题五 解析几何专题五 解析几何专题五 解析几何专题五 解析几何专题五 解析几何专题五 解析几何专题五 解析几何专题五 解析几何专题五 解析几何专题五 解析几何专题五 解析几何专题五 解析几何专题五 解析几何专题五 解析几何专题五 解析几何专题五 解析几何微专题1 直线与圆微专题1 直线与圆微专题1 直线与圆微专题1 直线与圆微专题1 直线与圆微专题1 直线与圆微专题1 直线与圆微专题1 直线与圆微专题1 直线与圆微专题1 直线与圆微专题1 直线与圆微专题1 直线与圆微专题1 直线与圆微专题1 直线与圆微专题1 直线与圆微专题1 直线与圆微专题1 直线与圆微专题1 直线与圆微专题1 直线与圆微专题1 直线与圆微专题1 直线与圆微专题1 直线与圆微专题1 直线与圆微专题1 直线与圆微专题1 直线与圆微专题1 直线与圆微专题1 直线与圆微专题1 直线与圆微专题1 直线与圆
相关课件
这是一份新高考版高考数学二轮复习(新高考版) 第1部分 专题突破 专题6 第1讲 直线与圆课件PPT,共60页。PPT课件主要包含了高考数学二轮复习策略,第1讲直线与圆,直线的方程,圆的方程,圆的位置关系,专题强化练等内容,欢迎下载使用。
这是一份2023届高考数学二轮复习专题5第1讲直线与圆课件,共60页。PPT课件主要包含了专题五解析几何,第1讲直线与圆,考情分析,真题热身,ACD,感悟高考,考点一直线的方程,典例1,考点二圆的方程,典例2等内容,欢迎下载使用。
这是一份新高考数学二轮复习专题六第1讲直线与圆课件,共60页。PPT课件主要包含了考情分析,直线的方程,考点一,核心提炼,易错提醒,圆的方程,考点二,设Pxy,∵AB=2,规律方法等内容,欢迎下载使用。

