所属成套资源:(备战2024届高考数学)高考数学二轮复习之逐题训练(数学新高考1卷专用)
(2024届高考数学)高考数学二轮复习之选填16题专项高分冲刺限时训练(6)
展开
这是一份(2024届高考数学)高考数学二轮复习之选填16题专项高分冲刺限时训练(6),文件包含三角函数及解三角形大题专题练习卷参考答案doc、三角函数及解三角形专题卷docx等2份试卷配套教学资源,其中试卷共21页, 欢迎下载使用。
限时40分钟
一、单项选择题:本题共8小题,每小题5分,共40分.在每小题给出的四个选项中,只有一项是符合题目要求的.
1.已知集合,,则( )
A.B.C.D.
【答案】B
【解析】由,得,所以,
由,解得,解得,
所有,
故选:B.
2.已知 a=sin2,b=lg2sin2,c=2sin2,则 a,b,c 的大小关系是( )
A. a>b>c B.c>a>b C.b>a>c D.c>b>a
【答案】 B
【解析】0<sin2<1,故 esin2>1,lg2sin2<0,故 c>a>b.故选: B
3.高一(1)班某组有5人,组长安排值日生,其中1人负责擦黑板,2人负责教室内地面卫生,2人负责卫生区卫生,则不同的安排方法有( )
A. 20种B. 30种C. 90种D. 120种
【答案】B
【解析】由题意,从5人中选出1人擦黑板,有种选法,
从剩余的4人中选出2人负责教室内地面卫生,有种选法,
从剩余的2人中选出2人负责卫生区卫生,有种选法,
由分步计数原理,可得不同的安排方法有种安排方法. 故选:B.
4.已知,且,则( )
A. 5或B. 5或C. 5D.
【答案】C
【解析】∵,
∴,即,又
∴ ,
∴ ,
故选:C
5.椭圆中以为弦的中点的弦所在的直线方程为( )
A.B.C.D.
【答案】A
【解析】设以为弦的中点的弦的两端点为,,
所以,
又因为弦为椭圆中的弦,
所以,两式作差得,
整理得:,
即,
因此所求直线方程为:,即,
6.果农采摘水果,采摘下来的水果会慢慢失去新鲜度.已知某种水果失去新鲜度h与其采摘后时间t(天)满足的函数关系式为.若采摘后10天,这种水果失去的新鲜度为10%,采摘后20天,这种水果失去的新鲜度为20%.那么采摘下来的这种水果在多长时间后失去50%新鲜度(已知,结果取整数)( )
A. 23天B. 33天C. 43天D. 50天
【答案】B
【解析】,故,故,
令,∴,故, 故选:B.
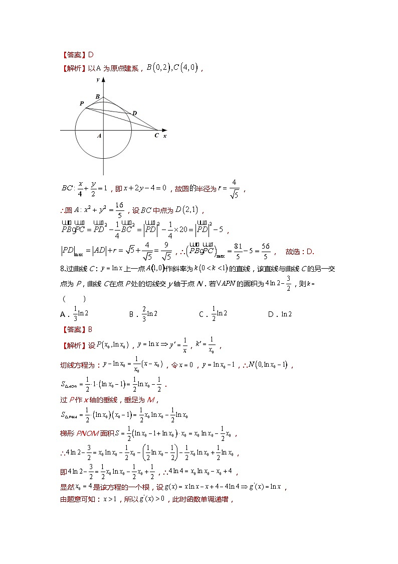
7.已知直角三角形ABC中,,AB=2,AC=4,点P在以A为圆心且与边BC相切的圆上,则的最大值为( )
A. B. C. D.
【答案】D
【解析】以为原点建系,,
,即,故圆半径为,
∴圆,设中点为,
,
,∴, 故选:D.
8.过曲线C:上一点作斜率为的直线,该直线与曲线C的另一交点为P,曲线C在点P处的切线交y轴于点N.若的面积为,则( )
A.B.C.D.
【答案】B
【解析】设,,,
切线方程为:,令,,∴,
.
过P作x轴的垂线,垂足为M,
梯形PNOM面积,
∴,
即,∴,
显然是该方程的一个根,设,
由题意可知:,所以,此时函数单调递增,
故方程有唯一实根,
即,∴,
故选:B
二、多项选择题:本题共4小题,每小题5分,共20分.在每小题给出的选项中,有多项符合题目要求,全部选对的得5分,有选错的得0分,部分选对的得3分.
9.设,是复数,则下列说法中正确的是( )
A.B.
C.若,则D.若,则
【答案】ABD
【解析】设,
,,A正确.
,
,B正确.
,C错误.
,,,,D正确.
故选:ABD
10.已知函数,下列结论正确的是( )
A.的最小正周期为B.为偶函数
C.函数的图像关于直线对称D.函数的最小值为1
【答案】ABD
【解析】在上的函数图像如下所示:
数形结合可知:的最小正周期为,且其不关于对称,
的最小值为;
又,
又其定义域关于原点对称,故其为偶函数.
综上所述,正确的选项是:ABD.
故选:ABD.
11.设为双曲线C:的左、右焦点,过的直线交双曲线C的右支于P,Q两点,直线l:为双曲线C的一条渐近线,则( )
A. B. 弦PQ长的最小值为6
C. 存在点P,使得D. 点P到直线m:距离的最小值为1
【答案】ABC
【解析】由题知,a=1,渐近线,c=2,故A正确;
|PQ|为双曲线右支上的焦点弦,则其为通径,即与x轴垂直时最短,,故B正确;
根据双曲线定义知,∴在右支上存在点P,即当P为双曲线右顶点时,取最小值3,故C正确;
∵直线m和双曲线的渐近线平行,故双曲线上点P到直线m的距离没有最小值,故D错误.
故选:ABC.
12.若正实数满足,则下列不等式可能成立的有( )
A.B.C.D.
【答案】AD
【解析】令,则,
当时,;当时,;
在上单调递增,在上单调递减,
若,则,即,成立;
若,则,成立;
令,则,在上单调递增,
当时,,即;
对于A,当,时,,即成立,又此时成立,
当时,可能成立,A正确;
对于B,当时,,即,不等式不成立,B错误;
对于C,当时,,即,不等式不成立,C错误;
对于D,当时,必然成立,D正确;
故选:AD.
三、填空题:本题共4小题,每小题5分,多空题,第一空2分,第二空3分,共20分.
13.在菱形中,,,,则___________.
【答案】
【解析】由题意,.
故答案为:
14.已知是公差不为0的等差数列,其前n项和是,是和的等比中项,且,则___________.
【答案】2021
【解析】设公差为d,
∵是和的等比中项,
∴,,
∵,∴,
∵,
∴,
∴,
∴.
故答案为:2021
15.已知四棱锥P﹣ABCD的顶点都在球O的球面上,底面ABCD是边长为2的正方形,且PA⊥面ABCD,若四棱锥的体积为,则该球的体积为_____.
【答案】8π.
【解析】设此球半径为R,
因底面ABCD是边长为2的正方形,且PA⊥面ABCD,若四棱锥的体积为,
则2×2×PA,∴PA=4,
可以把四棱锥P﹣ABCD补成一个以ABCD为底、PA为侧棱的长方体,
则这个长方体的外接球就是四棱锥P﹣ABCD的外接球,球心O就是PC的中点,
∴(2R)2=PC2=AP2+AB2+BC2=42+22+22=24,∴R,
则该球的体积为.
故答案为:.
16.拿破仑定理是法国著名的军事家拿破仑·波拿马最早提出的一个几何定理:“以任意三角形的三条边为边,向外构造三个等边三角形,则这三个三角形的外接圆圆心恰为另一个等边三个角形的顶点”.在△ABC中,∠A=120°,以AB,BC,AC为边向外作三个等边三角形,其外接圆圆心依次为O1,O2,O3,若△O1O2O3的面积为eq \r(,3),则△ABC的周长的取值范围为_____.
【答案】[3+2EQ \R(,3),4EQ \R(,3)]
【解析】
故答案为:[3+2EQ \R(,3),4EQ \R(,3)]
相关试卷
这是一份(2024届高考数学)高考数学二轮复习之选填16题专项高分冲刺限时训练(26),文件包含35月球地球的卫星pptx、25茧中钻出了蚕蛾pptx、16比较相同时间内运动的快慢pptx、28动物的一生pptx、11运动和位置pptx、24蚕变了新模样pptx、27动物的繁殖pptx、26蚕的一生pptx、21迎接蚕宝宝的到来pptx、22认识其它动物的卵pptx、12各种各样的运动pptx、37地球水的星球pptx、32阳光下物体的影子pptx、33影子的秘密pptx、18测试“过山车”pptx、23蚕长大了pptx、14物体在斜面上运动pptx、36地球的形状pptx、13直线运动和曲线运动pptx、15比较相同距离内运动的快慢pptx、17我们的“过山车”pptx、31仰望天空pptx、34月相变化的规律pptx、38太阳地球和月球pptx等24份课件配套教学资源,其中PPT共273页, 欢迎下载使用。
这是一份(2024届高考数学)高考数学二轮复习之选填16题专项高分冲刺限时训练(25),文件包含35月球地球的卫星pptx、25茧中钻出了蚕蛾pptx、16比较相同时间内运动的快慢pptx、28动物的一生pptx、11运动和位置pptx、24蚕变了新模样pptx、27动物的繁殖pptx、26蚕的一生pptx、21迎接蚕宝宝的到来pptx、22认识其它动物的卵pptx、12各种各样的运动pptx、37地球水的星球pptx、32阳光下物体的影子pptx、33影子的秘密pptx、18测试“过山车”pptx、23蚕长大了pptx、14物体在斜面上运动pptx、36地球的形状pptx、13直线运动和曲线运动pptx、15比较相同距离内运动的快慢pptx、17我们的“过山车”pptx、31仰望天空pptx、34月相变化的规律pptx、38太阳地球和月球pptx等24份课件配套教学资源,其中PPT共273页, 欢迎下载使用。
这是一份(2024届高考数学)高考数学二轮复习之选填16题专项高分冲刺限时训练(22),文件包含35月球地球的卫星pptx、25茧中钻出了蚕蛾pptx、16比较相同时间内运动的快慢pptx、28动物的一生pptx、11运动和位置pptx、24蚕变了新模样pptx、27动物的繁殖pptx、26蚕的一生pptx、21迎接蚕宝宝的到来pptx、22认识其它动物的卵pptx、12各种各样的运动pptx、37地球水的星球pptx、32阳光下物体的影子pptx、33影子的秘密pptx、18测试“过山车”pptx、23蚕长大了pptx、14物体在斜面上运动pptx、36地球的形状pptx、13直线运动和曲线运动pptx、15比较相同距离内运动的快慢pptx、17我们的“过山车”pptx、31仰望天空pptx、34月相变化的规律pptx、38太阳地球和月球pptx等24份课件配套教学资源,其中PPT共273页, 欢迎下载使用。

