江苏省南通市2022-2023学年七下数学期末统考试题含答案
展开江苏省南通市2022-2023学年七下数学期末统考试题
(时间:120分钟 分数:120分)
学校_______ 年级_______ 姓名_______
注意事项:
1. 答题前,考生先将自己的姓名、准考证号填写清楚,将条形码准确粘贴在考生信息条形码粘贴区。
2.选择题必须使用2B铅笔填涂;非选择题必须使用0.5毫米黑色字迹的签字笔书写,字体工整、笔迹清楚。
3.请按照题号顺序在各题目的答题区域内作答,超出答题区域书写的答案无效;在草稿纸、试题卷上答题无效。
4.保持卡面清洁,不要折叠,不要弄破、弄皱,不准使用涂改液、修正带、刮纸刀。
一、选择题:本大题共12个小题,每小题3分,共36分.在每小题给出的四个选项中,只有一项是符合题目要求的.
1.下列多边形中,不能够单独铺满地面的是( )
A.正三角形 B.正方形 C.正五边形 D.正六边形
2.已知菱形ABCD中,对角线AC与BD交于点O,∠BAD=120°,AC=4,则该菱形的面积是( )

A.16
B.16 C.8
D.8
3.如图,在直角坐标系中,点A、B的坐标分别为(1,4)和(3,0),点C是y轴上的一个动点,且A、B、C三点不在同一条直线上,当△ABC的周长最小时,点C的坐标是

A.(0,0) B.(0,1) C.(0,2) D.(0,3)
4.若x=1是方程x2-2mx+3=0的解,则m的值为( )
A.
B.2 C.
D.-2
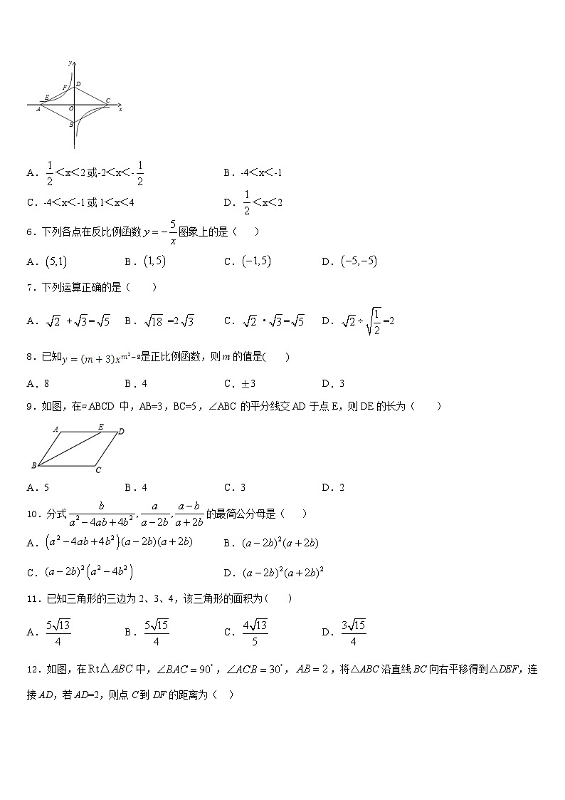
5.如图,反比例函数
的图象与菱形ABCD的边AD交于点
,则函数
图象在菱形ABCD内的部分所对应的x的取值范围是( ).

A.
<x<2或-2<x<-
B.-4<x<-1
C.-4<x<-1或1<x<4 D.
<x<2
6.下列各点在反比例函数
图象上的是( )
A.
B.
C.
D.![]()
7.下列运算正确的是( )
A.
+
=
B.
=2
C.
•
=
D.
÷
=2
8.已知
是正比例函数,则m的值是( )
A.8 B.4 C.±3 D.3
9.如图,在▱ ABCD中,AB=3,BC=5,∠ABC的平分线交AD于点E,则DE的长为( )

A.5 B.4 C.3 D.2
10.分式
的最简公分母是( )
A.
B.![]()
C.
D.![]()
11.已知三角形的三边为2、3、4,该三角形的面积为( )
A.
B.
C.
D.![]()
12.如图,在
中,
,
,
,将△ABC沿直线BC向右平移得到△DEF,连接AD,若AD=2,则点C到DF的距离为( )

A.1 B.2 C.2.5 D.4
二、填空题(每题4分,满分20分,将答案填在答题纸上)
13.分解因式:
=________.
14.已知函数y=(k-1)x|k|是正比例函数,则k=________
15.如图,⊙O是△ABC的外接圆,∠ACO=45°,则∠B的度数为_____.

16.若点
、
在双曲线
上,则
和
的大小关系为______.
17.某校生物小组7人到校外采集标本,其中2人每人采集到3件,3人每人采集到4件,2人每人采集到5件,则这个小组平均每人采集标本___________件.
三、解答题 (本大题共7小题,共64分.解答应写出文字说明、证明过程或演算步骤.)
18.(5分)计算:2
×
÷3
﹣(
﹣2
.
19.(5分)已知E、F分别是平行四边形ABCD中BD上的点,且BE=DF,试说明,四边形AECF是平行四边形。
20.(8分)已知:线段 m、n 和∠
(1)求作:△ABC,使得 AB=m,BC=n,∠B=∠;
(2)作∠BAC 的平分线相交 BC 于 D.(以上作图均不写作法,但保留作图痕迹)


21.(10分)如图,在四边形ABCD中,
,
,
,
,E是BC的中点,P是AB上的任意一点,连接PE,将PE绕点P逆时针旋转
得到PQ,过A点,D点分别作BC的垂线,垂足分别为M,N.

求AM的值;
连接AC,若P是AB的中点,求PE的长;
若点Q落在AB或AD边所在直线上,请直接写出BP的长.
22.(10分)如图,是一块四边形绿地的示意图,其中AB长为24米,BC长15米,CD长为20米,DA长7米,∠C=90°,求绿地ABCD的面积.

23.(12分)如图,每个小正方形的边长都为l.点
、
、
、
均在网格交点上,求点
到
的距离.

参考答案
一、选择题:本大题共12个小题,每小题3分,共36分.在每小题给出的四个选项中,只有一项是符合题目要求的.
1、C
2、C
3、D
4、B
5、C
6、C
7、D
8、D
9、D
10、B
11、D
12、A
二、填空题(每题4分,满分20分,将答案填在答题纸上)
13、![]()
14、-1
15、45°
16、![]()
17、4
三、解答题 (本大题共7小题,共64分.解答应写出文字说明、证明过程或演算步骤.)
18、![]()
19、见详解.
20、(1)见解析;(2)见解析.
21、(1)12;(2)10;(3)PB的值为
或
.
22、绿地ABCD的面积为234平方米.
23、![]()
江苏省无锡新区2022-2023学年七下数学期末统考模拟试题含答案: 这是一份江苏省无锡新区2022-2023学年七下数学期末统考模拟试题含答案,共7页。试卷主要包含了考生必须保证答题卡的整洁,下列说法中错误的是,已知直线,则关于x的方程的解为等内容,欢迎下载使用。
江苏省南通市启东市东安中学2022-2023学年数学七下期末统考模拟试题含答案: 这是一份江苏省南通市启东市东安中学2022-2023学年数学七下期末统考模拟试题含答案,共6页。试卷主要包含了考生必须保证答题卡的整洁,如图所示,一次函数的图像可能是,矩形是轴对称图形,对称轴可以是,二次根式中,字母的取值范围是等内容,欢迎下载使用。
江苏省南通市港闸区南通市北城中学2022-2023学年七下数学期末检测模拟试题含答案: 这是一份江苏省南通市港闸区南通市北城中学2022-2023学年七下数学期末检测模拟试题含答案,共7页。试卷主要包含了如图,△AOB是等边三角形,B,的算术平方根是,下列各式中,运算正确的是等内容,欢迎下载使用。

