所属成套资源:高考数学一轮复习作业本 (含答案)
高考数学一轮复习作业本2.3 导数与函数的极值、最值(含答案)
展开
这是一份高考数学一轮复习作业本2.3 导数与函数的极值、最值(含答案),共6页。
2020高考数学(理数)复习作业本2.3 导数与函数的极值、最值一 、选择题1.函数
的最大值为( )A.e-1 B.e C.e2 D.
2.已知函数y=f(x),x∈R有唯一的极值,且x=1是f(x)的极小值点,则( )A.当x∈(-∞,1)时,f′(x)≥0;当x∈(1,+∞)时,f′(x)≤0B.当x∈(-∞,1)时,f′(x)≥0;当x∈(1,+∞)时,f′(x)≥0C.当x∈(-∞,1)时,f′(x)≤0;当x∈(1,+∞)时,f′(x)≥0D.当x∈(-∞,1)时,f′(x)≤0;当x∈(1,+∞)时,f′(x)≤0 3.已知f(x)=2x3-6x2+m(m为常数)在[-2,2]上有最大值3,那么此函数在[-2,2]上的最小值是( )A.-37 B.-29 C.-5 D.以上都不对 4.函数f(x)=x+2cos x在[0,
]上的极大值点为( )A.0 B.
C.
D.
5.设函数f(x)在R上可导,其导函数为f′(x),且函数f(x)在x=-2处取得极小值,则函数y=xf′(x)的图象可能是( )
6.设f′(x)是函数f(x)的导函数,y=f′(x)的图象如图所示,则y=f(x)的图象最有可能是( )
7.函数f(x)=x3+ax-2在区间[1,+∞)上是增函数,则实数a的取值范围是( )A.[3,+∞) B.[-3,+∞) C.(-3,+∞) D.(-∞,-3) 8.函数f(x)=x4-4x(|x|<1)( )A.有最大值,无最小值 B.有最大值,也有最小值C.无最大值,有最小值 D.既无最大值,也无最小值 二 、填空题9.已知函数f(x)=ax3+bx2+cx,其导函数y=f′(x)的图象经过点(1,0),(2,0).如图,则下列说法中不正确的是________.(填序号)
①当x=1.5时,函数f(x)取得最小值;②f(x)有两个极值点;③当x=2时函数值取得极小值;④当x=1时函数取得极大值. 10.已知函数f(x)=ax3+c,且f′(1)=6,函数在[1,2]上的最大值为20,则c=________. 11.设函数
,若当x∈[-2,2]时,不等式f(x)>m恒成立,则实数m的取值范围是________. 12.已知f(x)=x3+ax2+(a+6)x+1有极大值和极小值,则a的取值范围为________________. 三 、解答题13.求下列函数的极值.(1)f(x)=x3-12x;(2)f(x)=xe-x. 14.已知f(x)=ax5-bx3+c在x=±1处的极大值为4,极小值为0,试确定a,b,c的值. 15.已知f(x)=2ln(x+a)-x2-x在x=0处取得极值.(1)求实数a的值.(2)若关于x的方程f(x)+b=0的区间[-1,1]上恰有两个不同的实数根,求实数b的取值范围. 16.已知函数
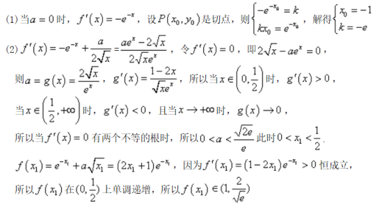
.(1)若a=0,直线y=kx是曲线y=f(x)的切线,求实数k的值;(2)若x1,x2是函数f(x)的两个极值点,且x1<x2,求f(x1)的取值范围.
答案解析1.答案为:A;
2.答案为:C;解析:由极小值点的定义,知极小值点左右两侧的导函数值是左负右正,又函数f(x),x∈R有唯一的极值,故当x∈(-∞,1)时,f′(x)≤0;当x∈(1,+∞)时,f′(x)≥0.3.答案为:A;解析:∵f′(x)=6x2-12x=6x(x-2),∵f(x)在(-2,0)上为增函数,在(0,2)上为减函数,∴当x=0时,f(x)=m最大.∴当m=3,从而f(-2)=-37,f(2)=-5.∴最小值为-37.4.答案为:B. 5.答案为:C.解析:由题意可得f′(-2)=0,而且当x∈(-∞,-2)时,f′(x)<0,此时xf′(x)>0;排除B、D,当x∈(-2,+∞)时,f′(x)>0,此时若x∈(-2,0),xf′(x)<0,若x∈(0,+∞),xf′(x)>0,所以函数y=xf′(x)的图象可能是C. 6.答案为:C;解析:方法一:由y=f′(x)的图象可以清晰地看出,当x∈(0,2)时,f′(x)<0,则f(x)为减函数,只有C项符合,故选C.方法二:在导函数f′(x)的图象中,零点0的左侧函数值为正,右侧为负,由此可知原函数f(x)在x=0时取得极大值.又零点2的左侧为负,右侧为正,由此可知原函数f(x)在x=2时取得极小值,只有选项C符合,故选C.7.答案为:D.解析:∵f(x)=x3+ax-2在[1,+∞)上是增函数,∴f′(x)=3x2+a≥0在[1,+∞)上恒成立,即a≥-3x2在[1,+∞)上恒成立,又∵在[1,+∞)上(-3x2)max=-3,∴a≥-3. 8.答案为:D.解析:选D f′(x)=4x3-4=4(x-1)(x2+x+1).令f′(x)=0,得x=1.又x∈(-1,1)且1∉(-1,1),∴该方程无解,故函数f(x)在(-1,1)上既无极值也无最值.故选D.9.答案为:①;解析:由图象可知,x=1,2是函数的两极值点,∴②正确;又x∈(-∞,1)∪(2,+∞)时,y>0;x∈(1,2)时,y<0,∴x=1是极大值点,x=2是极小值点,故③④正确. 10.答案为:4;解析:∵f′(x)=3ax2,∴f′(1)=3a=6,∴a=2.当x∈[1,2]时,f′(x)=6x2>0,即f(x)在[1,2]上是增函数,∴f(x)max=f(2)=2×23+c=20,∴c=4.11.答案为:(-∞,0);
12.答案为:(-∞,-3)∪(6,+∞);解析:∵f′(x)=3x2+2ax+a+6,∴f′(x)的图象是开口向上的抛物线,只有当Δ=4a2-12(a+6)>0时,图象与x轴的左交点两侧f′(x)的值分别大于零、小于零,右交点左右两侧f′(x)的值分别小于零、大于零.所以才会有极大值和极小值.∴4a2-12(a+6)>0得a>6或a<-3.13.
14.
15.
16.解:
相关试卷
这是一份高考数学一轮复习课时质量评价17导数与函数的极值、最值含答案,共9页。
这是一份高考数学一轮复习 专题4.3 应用导数研究函数的极值、最值(练),文件包含专题43应用导数研究函数的极值最值练教师版docx、专题43应用导数研究函数的极值最值练学生版docx等2份试卷配套教学资源,其中试卷共35页, 欢迎下载使用。
这是一份高考数学一轮复习 专题4.3 应用导数研究函数的极值、最值(讲),文件包含专题43应用导数研究函数的极值最值讲教师版docx、专题43应用导数研究函数的极值最值讲学生版docx等2份试卷配套教学资源,其中试卷共31页, 欢迎下载使用。

