浙江省宁波市2023届高三下学期4月模拟(二模)数学试题
展开宁波市2022学年第二学期高考模拟考试
高三数学试卷
说明:本试卷分第I卷(选择题)和第Ⅱ卷(非选择题)两部分,共150分.考试时间120分钟,本次考试不得使用计算器,请考生将所有题目都做在答题卡上.
一、选择题:本题共8小题,每小题5分,共40分.在每小题给出的四个选项中,只有一项是符合题目要求的.
1. 若集合,,则( )
A. B. C. D.
【答案】B
【解析】
【分析】首先解绝对值不等式求出集合、再解指数不等式求出集合,最后根据交集的定义计算可得.
【详解】由可得,解得,所以,
由,可得,所以,即,
所以.
故选:B
2. 设i为虚数单位,若复数z满足,则z的虚部为( )
A. B. C. 1 D. 2
【答案】D
【解析】
【分析】根据复数的乘、除法运算及虚部的概念即可求解.
【详解】由,则,所以z的虚部为2.
故选:D.
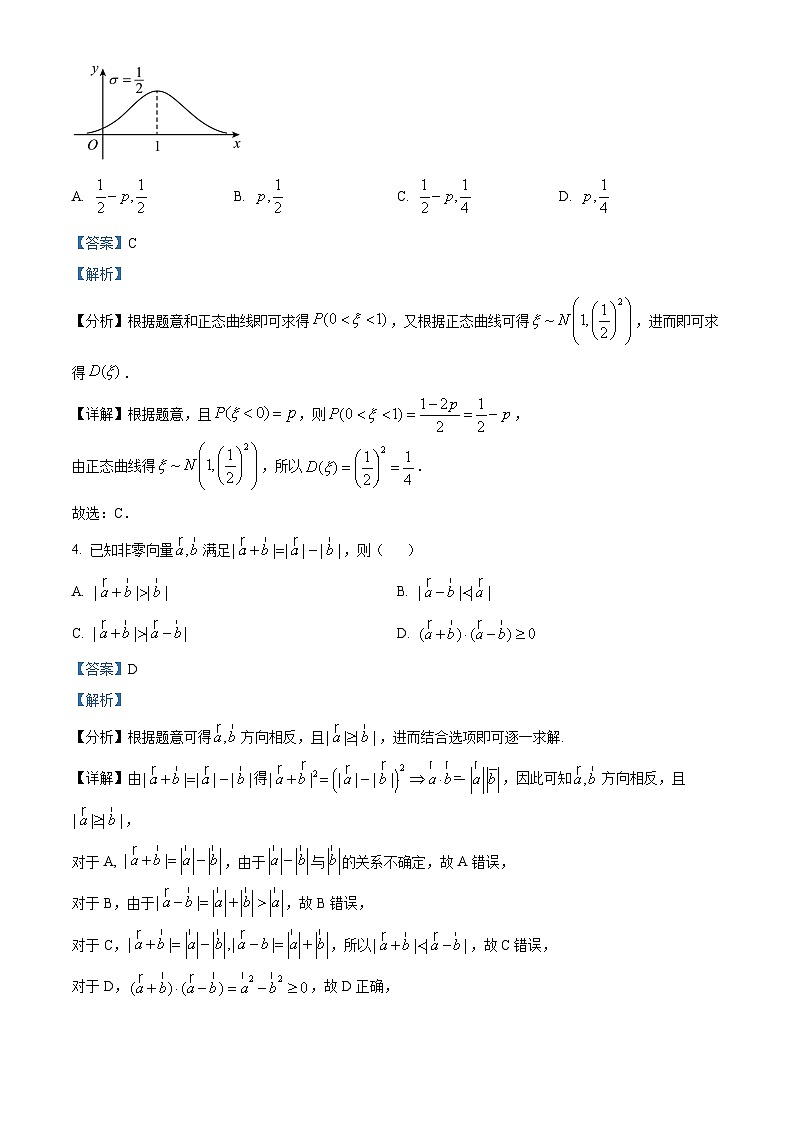
3. 设随机变量服从正态分布,的分布密度曲线如图所示,若,则与分别为( )
A. B. C. D.
【答案】C
【解析】
【分析】根据题意和正态曲线即可求得,又根据正态曲线可得,进而即可求得.
【详解】根据题意,且,则,
由正态曲线得,所以.
故选:C.
4. 已知非零向量满足,则( )
A. B.
C. D.
【答案】D
【解析】
【分析】根据题意可得方向相反,且,进而结合选项即可逐一求解.
【详解】由得,因此可知方向相反,且,
对于A, ,由于与的关系不确定,故A错误,
对于B,由于,故B错误,
对于C,,所以,故C错误,
对于D,,故D正确,
故选:D
5. 我国古代数学名著《数书九章》中有“天池盆测雨”题,在下雨时,用一个圆台形的天池盆接雨水,天池盆盆口直径为36寸,盆底直径为12寸,盆深18寸.若某次下雨盆中积水的深度恰好是盆深的一半,则平均降雨量是(注:平均降雨量等于盆中积水体积除以盆口面积)( )
A. 寸 B. 2寸 C. 寸 D. 3寸
【答案】C
【解析】
【分析】由题意求得盆中水的上地面半径,代入圆台体积公式求得水的体积,除以盆口面积得答案.
【详解】如图,由题意可知,天池盆上底面半径为18寸,下底面半径为6寸,高为18寸.
积水深9寸,水面半径为寸,
则盆中水的体积为(立方寸).
平地降雨量等于(寸.
故选:C.
6. 已知函数的图象关于直线对称,且在上没有最小值,则的值为( )
A. 2 B. 4 C. 6 D. 10
【答案】A
【解析】
【分析】根据对称轴可得或进而根据三角函数的性子即可求解.
【详解】由的图象关于直线对称可得解得或
由,由于在上没有最小值,所以
,又或
所以,
故选:A
7. 设椭圆的右焦点为,点在椭圆外,P,Q在椭圆上,且P是线段AQ的中点.若直线PQ,PF的斜率之积为,则椭圆的离心率为( )
A. B. C. D.
【答案】B
【解析】
【分析】利用中点弦问题,结合点差法可得,即可求离心率.
详解】
如图,取的中点为,连接,
则由题意可得,,
所以相似,所以,
因为直线PQ,PF的斜率之积为,
所以,
设,
则有,两式相减可得,
即,即,
即,所以椭圆的离心率为,
故选:B.
8. 已知函数,则的零点个数为( )
A. 2023 B. 2025 C. 2027 D. 2029
【答案】C
【解析】
【分析】因为 ,得出,进而依此类推,可得,易知单调性,数形结合函数的图像与这一系列直线 确定交点个数即可.
【详解】因为 ,所以当时, ,
得或,
得或,
由得或,
由得,进而可得,
故由可得,或或.
依此类推,可得,其中 k =0,1.2....,2023.
易知,,可得在上单调递增,在上单调递增,
可得在上单调递减,画出函数的图像,如图所示.
结合图像易知,函数的图像与这一系列直线 ,,共有2027个交点.
故选 :C
二、选择题:本题共4小题,每小题5分,共20分.在每小题给出的四个选项中,有多项符合题目要求.全部选对的得5分,部分选对的得2分,有选错的得0分.
9. 根据某地3月5日到3月15日的每天最高气温与最低气温数据(单位:)绘制如下折线图,那么下列叙述正确的是( )
A. 5号到11号的最低气温与日期之间呈线性相关关系且为正相关
B. 9号的最高气温与最低气温的差值最大
C. 最高气温的众数为
D. 5号到15号的最低气温的极差比最高气温的极差大
【答案】AC
【解析】
【分析】根据最低气温以及最高气温的折线图,结合选项即可逐一求解.
【详解】由5号到11号的最低气温的散点分布是从左下到右上可知:最低气温与日期之间呈线性相关关系且为正相关,故A正确,
由图可知6号的最高气温与最低气温的差值最大,故B错误,
最高气温出现了两次,其他数据出现为1次,故是最高气温的众数,故C正确,
5号到15号的最低气温的极差小于,5号到15号的最高气温的极差约等于,故D错误,
故选:AC
10. 已知函数与及其导函数与的定义域均为,是偶函数,的图象关于点对称,则( )
A. B.
C. D.
【答案】ABC
【解析】
【分析】先证明定理1:若函数连续且可导,则图象关于直线对称导函数图象关于点对称.定理2:若函数连续且可导,则图象关于点对称导函数图象关于直线对称.令,即可判断A,D;令,即可判断B,C.
【详解】定理1:若函数连续且可导,则图象关于直线对称导函数图象关于点对称.
定理2:若函数连续且可导,则图象关于点对称导函数图象关于直线对称.
以下证明定理1,定理2:
证明:
若函数图象关于直线对称,则,
则,所以导函数图象关于点对称.
若导函数图象关于点对称,则,
令,则,则(c为常数),
又,所以,
则,所以图象关于直线对称.
若函数图象关于点对称,则,
则,所以图象关于直线对称.
若导函数图象关于直线对称,则,
令,则,则(c为常数),
又,所以,
则,所以图象关于点对称.
故下面可以直接引用以上定理.
由是偶函数,的图象关于点对称,则有,,
由定理1,则图象关于点对称,所以,
和定理2,则的图象关于,所以,
对于A,令,则,所以,故A正确;
对于B,令,则,所以,故B正确;
对于C,令,则,所以,故C正确;
对于D,令,则,所以,故D错误.
故选:ABC.
11. 已知平面于点O,A,B是平面上的两个动点,且,则( )
A. SA与SB所成的角可能为 B. SA与OB所成的角可能为
C. SO与平面SAB所成的角可能为 D. 平面SOB与平面SAB的夹角可能为
【答案】AC
【解析】
【分析】建立空间直角坐标系,求出的坐标,利用空间向量的夹角公式求解可判断A,B;求出及平面SAB与平面SOB的法向量,利用线面角与面面夹角的空间向量公式求解可判断C,D.
【详解】设,则,
以为原点,分别以所在直线为轴,建立如图所示的空间直角坐标系,
则,设,且,
,
若SA与SB所成的角为,则,解得.当时,,不符合题意;当时,,方程有解,故A正确;
若SA与OB所成的角为,则,得,不符合题意,故B错误;
设平面SAB的法向量为,则,取,
若SO与平面SAB所成的角为,则 ,解得,故C正确;
设平面SOB的法向量为,则,取,
若平面SOB与平面SAB的夹角为,则,即,得,又,得,不符合题意,故D错误,
故选:AC.
12. 三支不同的曲线交抛物线于点,为抛物线的焦点,记的面积为,下列说法正确的是( )
A. 为定值 B.
C. 若,则 D. 若,则
【答案】AD
【解析】
【分析】设直线与抛物线的交于点,则与关于轴对称,设,则,联立,利用韦达定理求得,进而可求得,结合焦半径公式即可判断A;判断是否为定值即可判断B;求出,即可判断CD.
【详解】如图,设直线与抛物线的交于点,则与关于轴对称,
设,则,
联立,消得,
则,
又,
则,
则,
对于A,,
,故A正确;
对于B,,
因为不是定值,所以不是定值,故B错误;
对于C,设直线的倾斜角为,则,
则,
所以
,
又因,所以,所以,故C错误;
对于D,因为,所以,所以,故D正确.
故选:AD.
【点睛】方法点睛:解决直线和抛物线的位置关系类问题时,一般方法是设出直线方程并联立抛物线方程,得到根与系数的关系式,要结合题中条件进行化简,但要注意的是计算量一般都较大而复杂,要十分细心.
三、填空题:本题共4小题,每小题5分,共20分.
13. 若函数在区间上的最大值与最小值的差为2,则__________.
【答案】2
【解析】
【分析】根据指数函数的单调性求出函数的最值,即可得解.
【详解】因为函数在区间上递增,
所以,
则,解得或(舍去).
故答案为:.
14. 写出一个半径为1,且与圆和圆均外切的圆的方程__________.
【答案】或(填一个即可)
【解析】
【分析】根据两圆外切满足的关系即可列方程求解.
【详解】设所求圆的圆心为,则由外切关系可得 ,
化简得,解得 或,故满足条件的圆的圆心为或,
故答案为:
15. 任取一个正整数,若是奇数,就将该数乘3再加上1;若是偶数,就将该数除以2.反复进行上述两种运算,经过有限次步骤后,必进入循环圈“1→4→2→1”.这就是数学史上著名的“冰雹猜想”(又称“角谷猜想”等).如取正整数,根据上述运算法则得出6→3→10→5→16→8→4→2→1,共需经过8个步骤变成1(简称为8步“雹程”).猜想的递推关系如下:已知数列满足(m为正整数),若,则m所有可能取值的集合为___________.
【答案】
【解析】
【分析】根据递推公式逆向寻找结果即可.
【详解】若,则,则,或.
当时,则,则,或,则或;
当时,或(舍),若,则,则或;
即m所有可能取值的集合为.
故答案为:
16. 正四面体ABCD的棱长为3,P在棱AB上,且满足,记四面体ABCD的内切球为球,四面体PBCD的外接球为球,则_________.
【答案】
【解析】
【分析】设点为中心,连接,并延长交于点,则平面,点为的中点,,四面体ABCD的内切球的球心在上, 且四面体PBCD的外接球的球心在上,利用等体积法求出四面体ABCD的内切球的半径为,即,记的中点为,根据求出,即可得出,即可得解.
【详解】如图,设点为的中心,则平面,连接,并延长交于点,则点为的中点,,
则四面体ABCD的内切球的球心在上, 且四面体PBCD的外接球的球心在上,
设四面体ABCD的内切球的半径为,
,
则,
又,
则,解得,即,
由四面体PBCD的外接球的球心在上,得,
记的中点为,则,,
,所以,
则,所以.
故答案为:.
【点睛】方法定睛:多面体与球切、接问题的求解方法
(1)涉及球与棱柱、棱锥的切、接问题时,一般过球心及多面体的特殊点(一般为接、切点)或线作截面,把空间问题转化为平面问题求解.
(2)若球面上四点P、A、B、C构成的三条线段PA、PB、PC两两垂直,且PA=a,PB=b,PC=c,一般把有关元素“补形”成为一个球内接长方体,根据4R2=a2+b2+c2求解.
(3)正方体的内切球的直径为正方体的棱长.
(4)球和正方体的棱相切时,球的直径为正方体的面对角线长.
(5)利用平面几何知识寻找几何体中元素间的关系,或只画内切、外接的几何体的直观图,确定球心的位置,弄清球的半径(直径)与该几何体已知量的关系,列方程(组)求解.
四、解答题:本题共6小题,共70分.解答应写出文字说明、证明过程或演算步骤.
17. 在中,角A,B,C所对的边分别为a,b,c,且.
(1)若,求;
(2)若的最大角为最小角的2倍,求a的值.
【答案】(1)
(2)
【解析】
【分析】(1)根据余弦定理即可求解余弦值,进而根据同角关系即可求解正弦值,
(2)根据正弦定理以及二倍角公式得,结合余弦定理即可求解.
【小问1详解】
当时,,在中,由余弦定理,得
,
所以.
【小问2详解】
由已知,最大角为角A,最小角为角C,即,
由正弦定理得,即,
又,所以,
将,代入上式得,
由于 解得.
18. 盲盒,是指消费者不能提前得知具体产品款式的玩具盒子,具有随机属性.某品牌推出2款盲盒套餐,A款盲盒套餐包含4款不同单品,且必包含隐藏款X;B款盲盒套餐包含2款不同单品,有的可能性出现隐藏款X.为避免盲目购买与黄牛囤积,每人每天只能购买1件盲盒套餐.开售第二日,销售门店对80名购买了套餐的消费者进行了问卷调查,得到如下列联表:
A款盲盒套餐
B款盲盒套餐
合计
年龄低于30岁
18
30
48
年龄不低于30岁
22
10
32
合计
40
40
80
(1)根据列联表,判断是否有的把握认为A,B款盲盒套餐的选择与年龄有关;
(2)甲、乙、丙三人每人购买1件B款盲盒套餐,记随机变量为其中隐藏款X的个数,求的分布列和数学期望;
(3)某消费者在开售首日与次日分别购买了A款盲盒套餐与B款盲盒套餐各1件,并将6件单品全部打乱放在一起,从中随机抽取1件打开后发现为隐藏款X,求该隐藏款来自于B款盲盒套餐的概率.
附:,其中,
P()
0.100
0.050
0.025
0.010
0.001
2.706
3.841
5.024
6.635
0.828
【答案】(1)表格见解析,有
(2)分布列见解析,
(3)
【解析】
【分析】(1)根据独立性检验计算,在进行判断即可;
(2)根据二项分布的概率公式,进行计算得分布列及数学期望即可;
(3)根据全概率公式及条件概率公式分析计算即可.
小问1详解】
零假设为::A,B款盲盒套餐的选择与年龄之间无关联.
根据列联表中的数据,经计算得,
根据小概率值的独立性检验,推断不成立,
即有的把握认为A,B款盲盒套餐的选择与年龄有关.
【小问2详解】
的所有可能取值为0,1,2,3,
,
所以的分布列为:
0
1
2
3
P
(或).
【小问3详解】
设事件A:随机抽取1件打开后发现为隐藏款X,
设事件:随机抽取的1件单品来自于A款盲盒套餐,
设事件:随机抽取的1件单品来自于B款盲盒套餐,
,
故由条件概率公式可得
.
19. 如图,在四棱锥中,平面平面ABCD,平面平面ABCD.
(1)求证:平面ABCD;
(2)设,,,平面PBC与平面PCD的夹角的余弦值为,求BC的长.
【答案】(1)证明见解析
(2)BC的长为.
【解析】
【分析】(1)在平面ABCD中取一点E,并过点E作直线,,利用面面垂直的性质可证,,再根据线面垂直的判定定理,即可证明平面ABCD;
(2)以A为原点,AD,AB,AP方向分别为x轴,y轴,z轴正方向,建立空间直角坐标系,设,利用向量法求出平面PBC与平面PCD的法向量,即可利用二面角的公式求出t,即为BC的长.
【小问1详解】
证明:如图,在平面ABCD中取一点E,并过点E作直线,
因为平面平面ABCD,平面平面,平面ABCD,
所以平面PAD,因为平面PAD,所以;
同理,过点E作直线,
因为平面平面ABCD,平面平面,
平面ABCD,所以平面PAB,
因平面PAB,所以;
因为,平面ABCD,所以平面ABCD.
【小问2详解】
由(1)知,如图,
以A为原点,AD,AB,AP方向分别为x轴,y轴,z轴正方向,建立空间直角坐标系,
设,则,,,,
所以, ,,,
设平面PBC的法向量为,
则,令,得,
设平面PCD的法向量为,
则,令,得,
由题知,即,解得,
所以BC的长为.
20. 已知等比数列的前n项和满足.
(1)求首项的值及的通项公式;
(2)设,求满足的最大正整数n的值.
【答案】(1),
(2)11
【解析】
【分析】(1)根据的关系即可求解,或者根据等比数列基本量的计算即可求解,
(2)由对数的运算性质化简,即可利用函数的单调性求解.
【小问1详解】
解法1:当时,,则,即,
因为数列是等比数列,所以公比为2,
当时,,即,所以,且满足题意,
所以的通项公式为.
解法2:由题知,,即,
由①代入②,得,
解得或.(舍去),
所以的通项公式为.
【小问2详解】
由(1)得,所以,所以
,
由得,即,
令,则,
所以在时单调递增,且,
而,
所以满足条件的最大正整数.
21. 已知双曲线,点与双曲线上的点的距离的最小值为.
(1)求双曲线E方程;
(2)直线与圆相切,且交双曲线E的左、右支于A,B两点,交渐近线于点M,N.记,的面积分别为,,当时,求直线l的方程.
【答案】(1)
(2)
【解析】
【分析】(1)设是双曲线上的任意一点,先求得,再结合题意即可求得的值,进而即可求出双曲线E的方程;
(2)先根据直线与圆相切得到,设,,再联立直线的方程和双曲线E的方程,求得,,根据题意求得的取值范围,设点到AB的距离,从而求得,再联立直线的方程和双曲线E的渐近线的方程,求得,,设点O到MN的距离,从而求得,再结合即可求得的值,进而即可求得直线l的方程.
【小问1详解】
设是双曲线上的任意一点,
则,
所以当时,的最小值为,所以,得,
所以双曲线E的方程为.
【小问2详解】
由直线与圆相切得,
由直线交双曲线的左、右支于A,B两点,设,,
联立,消整理得,
则,,,所以,
所以,即,解得,
又,则,解得或,
所以,
所以,
又点到AB的距离,故,
设,,
联立方程组,消整理得,
则,,,所以,
所以,
又点O到MN的距离,故,
所以当时,有,
整理得,即,
又,则,即,解得,(舍去),
所以,则,所以直线方程为.
【点睛】
方法点睛:本题考查直线与双曲线的位置关系,利用韦达定理解决弦长问题,进而解决面积相关的取值范围问题,属中难题,关键是熟练掌握弦长公式和直线与双曲线的位置关系的判定方法.
22. 已知函数.
(1)讨论函数的单调性:
(2)若是方程的两不等实根,求证:
(i);
(ii).
【答案】(1)当时,在上单调递增;
当时, 在上单调递增,在上单调递减.
(2)(i)证明见解析;(ii)证明见解析.
【解析】
【分析】(1)先求函数的定义域,再利用导数求得出单调性和单调区间. (2)先用换元法构造函数,进而导数讨论的单调性和最值,从而得到的取值范围.(i)构造函数,讨论的单调性和取值范围最值,通过化简变形得到,从而得到,即可证明要证的不等式成立.(ii)用分析法把要证的不等式转化为,分别令 和,得到关于的不等式组,化简即可得到所要证的不等式.
【小问1详解】
由题意得,函数的定义域为.
由得:,
当时,在上单调递增;
当时,由得,由得,
所以在上单调递增,在上单调递减.
【小问2详解】
因为是方程的两不等实根,
即是方程的两不等实根,
令,则,
即是方程的两不等实根.
令,则,
所以在上递增,在上递减,,
当时,;当时,且.
所以,即.
令.
(i)要证,只需证,
解法1:令,
则,
令,
则
,
所以在上递增,,
所以,所以,
所以,
所以,即,所以.
解法2:先证,
令,只需证,
只需证,
令,
,
所以在上单调递减,所以.
因为,所以,
所以,即,
所以.
解法3:由,
设,
所以,
即,
构造函数,
,
所以在上单调递增,所以.
(ii)要证:,只需证:,
只需证:,
只需证:,
只需证:,
令得
即 ①
令得
即 ②
①+②得:,
即.
【点睛】关键点点睛:本题第2小问的关键点在于构造函数,将不等式的证明转化为利用导数讨论函数的单调性和最值问题.构造函数是导数题里常用的方法,可以根据不等式形式上的特点进行适当的配凑和换元.在求函数的单调性和最值时,如果求一次导不能判断,则可以通过求二次导来解决.
浙江省宁波市2023届高三数学下学期4月模拟(二模)试题(Word版附解析): 这是一份浙江省宁波市2023届高三数学下学期4月模拟(二模)试题(Word版附解析),共27页。试卷主要包含了选择题,填空题,解答题等内容,欢迎下载使用。
2023届浙江省宁波市高三下学期4月模拟(二模)数学试题含解析: 这是一份2023届浙江省宁波市高三下学期4月模拟(二模)数学试题含解析,共23页。试卷主要包含了单选题,多选题,填空题,解答题等内容,欢迎下载使用。
浙江省宁波市2022-2023学年高三二模 数学试题及答案: 这是一份浙江省宁波市2022-2023学年高三二模 数学试题及答案,文件包含浙江省宁波市2022-2023学年高三下学期4月二模数学答案pdf、浙江省宁波市2022-2023学年高三下学期4月二模数学pdf等2份试卷配套教学资源,其中试卷共10页, 欢迎下载使用。

