新高考数学二轮复习 第1部分 专题6 培优点20 抛物线的焦点弦问题(含解析)课件PPT
展开直线与抛物线相交的问题,若直线过抛物线的焦点,可使用焦点弦长公式求弦长,利用焦点弦的特殊结论求解题目.
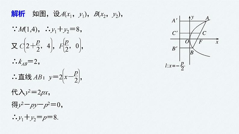
解析 如图,设A(x1,y1),B(x2,y2),
∵M(1,4),∴y1+y2=8,
代入y2=2px,得y2-py-p2=0,∴y1+y2=p=8.
解析 不妨设点A在x轴的上方,如图,设A,B在准线上的射影分别为D,C,作BE⊥AD于点E,
设|BF|=m,直线l的倾斜角为θ,则|AF|=2m,|AB|=3m,由抛物线的定义知|AD|=|AF|=2m,|BC|=|BF|=m,
例2 已知抛物线C:y2=8x,P为C上位于第一象限的任一点,直线l与C相切于点P,连接PF并延长交C于点M,过P点作l的垂线交C于另一点N,求△PMN的面积S的最小值.
因为y0≠y1,所以化简可得y0y1=-16.
所以点M到直线PN的距离为
当且仅当y0=4时,“=”成立,此时,△PMN的面积S取得最小值,为64.
设AB是抛物线y2=2px(p>0)的一条焦点弦,焦点为F,A(x1,y1),B(x2,y2),则
方法一 联立直线方程与抛物线方程,
解析 记抛物线y2=2px的准线为l′,如图,作AA1⊥l′,BB1⊥l′,AC⊥BB1,垂足分别是A1,B1,C,则
解析 抛物线C:y2=8x的焦点为F(2,0),由题意可知直线AB的斜率一定存在,所以设直线方程为y=k(x-2)(k≠0),代入抛物线方程可得k2x2-(4k2+8)x+4k2=0,设A(x1,y1),B(x2,y2),
4.如图,已知点F(1,0)为抛物线y2=2px(p>0)的焦点,过点F的直线交抛物线于A,B两点,点C在抛物线上,使得△ABC的重心G在x轴上,直线AC交x轴于点Q,且Q在点F右侧,记△AFG,△CQG的面积为S1,S2. (1)求p的值及抛物线的准线方程;
抛物线方程为y2=4x,准线方程为x=-1.
解 设A(x1,y1),B(x2,y2),直线AB的方程为y=k(x-1),k>0,与抛物线方程y2=4x联立可得,k2x2-(2k2+4)x+k2=0,
设C(x3,y3),由重心坐标公式可得,
新高考数学二轮复习 第1部分 专题6 培优点19 离心率范围的求法(含解析)课件PPT: 这是一份新高考数学二轮复习 第1部分 专题6 培优点19 离心率范围的求法(含解析)课件PPT,共18页。PPT课件主要包含了跟踪演练等内容,欢迎下载使用。
新高考数学二轮复习 第1部分 专题6 培优点18 隐圆问题(含解析)课件PPT: 这是一份新高考数学二轮复习 第1部分 专题6 培优点18 隐圆问题(含解析)课件PPT,共17页。PPT课件主要包含了所以m的最大值是6,跟踪演练等内容,欢迎下载使用。
新高考数学二轮复习 第1部分 专题5 培优点16 非线性回归问题(含解析)课件PPT: 这是一份新高考数学二轮复习 第1部分 专题5 培优点16 非线性回归问题(含解析)课件PPT,共18页。PPT课件主要包含了又z=lny,参考数据,跟踪演练等内容,欢迎下载使用。

