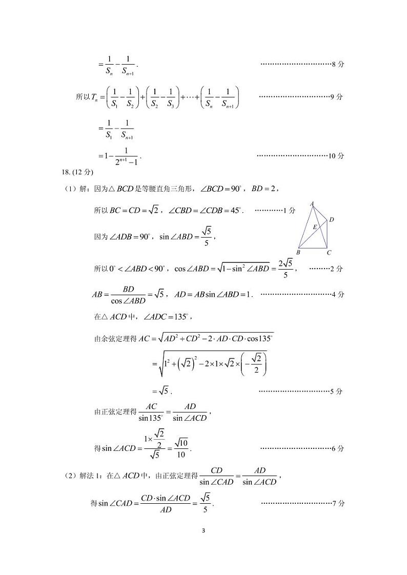
2021年广州二模广州市普通高中毕业班综合测试(二)数学参考答案
展开广东省广州市2024届普通高中毕业班综合测试(一)(一模)数学试卷: 这是一份广东省广州市2024届普通高中毕业班综合测试(一)(一模)数学试卷,共10页。
广东省广州市2024届普通高中毕业班综合测试(一)数学试卷及参考答案: 这是一份广东省广州市2024届普通高中毕业班综合测试(一)数学试卷及参考答案,文件包含广东省广州市2024届普通高中毕业班综合测试一数学试卷pdf、广东省广州市2024届普通高中毕业班综合测试一数学答案pdf等2份试卷配套教学资源,其中试卷共21页, 欢迎下载使用。
2024年广州市普通高中毕业班综合测试(一)附参考答案: 这是一份2024年广州市普通高中毕业班综合测试(一)附参考答案,文件包含广州2024一模数学参考答案非官方pdf、广州一模pdf等2份试卷配套教学资源,其中试卷共27页, 欢迎下载使用。

