2024年高考数学一轮复习(新高考版) 第6章 §6.6 数列中的综合问题课件PPT
展开数列的综合运算问题以及数列与函数、不等式等知识的交汇问题,是历年高考的热点内容.一般围绕等差数列、等比数列的知识命题,涉及数列的函数性质、通项公式、前n项和公式等.
例1 (2023·厦门模拟)已知数列{an}的前n项和为Sn,且 ,递增的等比数列{bn}满足b1+b4=18,b2·b3=32.(1)求数列{an},{bn}的通项公式;
等差数列、等比数列的综合运算
又∵当n=1时,a1=S1=2符合上式,∴an=3n-1.∵b2b3=b1b4,∴b1,b4是方程x2-18x+32=0的两根,又∵b4>b1,∴解得b1=2,b4=16,
∴q=2,∴bn=b1·qn-1=2n.
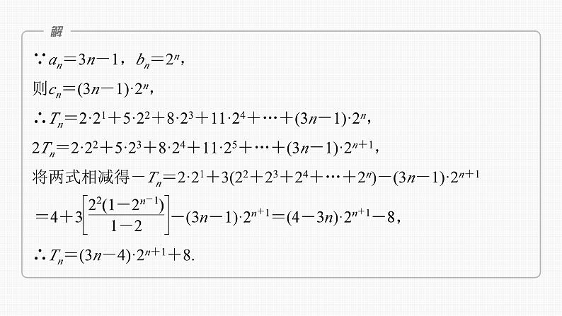
(2)若cn=an·bn,n∈N*,求数列{cn}的前n项和Tn.
∵an=3n-1,bn=2n,则cn=(3n-1)·2n,∴Tn=2·21+5·22+8·23+11·24+…+(3n-1)·2n,2Tn=2·22+5·23+8·24+11·25+…+(3n-1)·2n+1,将两式相减得-Tn=2·21+3(22+23+24+…+2n)-(3n-1)·2n+1
∴Tn=(3n-4)·2n+1+8.
数列的综合问题常将等差、等比数列结合,两者相互联系、相互转化,解答这类问题的方法:寻找通项公式,利用性质进行转化.
跟踪训练1 (2022·全国甲卷)记Sn为数列{an}的前n项和.已知 +n=2an+1.(1)证明:{an}是等差数列;
得2Sn+n2=2ann+n,①所以2Sn+1+(n+1)2=2an+1(n+1)+(n+1),②②-①,得2an+1+2n+1=2an+1(n+1)-2ann+1,化简得an+1-an=1,所以数列{an}是公差为1的等差数列.
(2)若a4,a7,a9成等比数列,求Sn的最小值.
由(1)知数列{an}的公差为1.由a4,a7,a9成等比数列,
即(a1+6)2=(a1+3)(a1+8),解得a1=-12.
所以当n=12或13时,Sn取得最小值,最小值为-78.
数列与其他知识的交汇问题
命题点1 数列与不等式的交汇
由已知得4an+1=3an+anan+1,
所以由递推关系可得an≠0恒成立,
例3 (1)(2023·龙岩模拟)已知函数f(x)= x3+4x,记等差数列{an}的前n项和为Sn,若f(a1+2)=100,f(a2 022+2)=-100,则S2 022等于A.-4 044 B.-2 022C.2 022 D.4 044
命题点2 数列与函数的交汇
因为f(a1+2)=100,f(a2 022+2)=-100,所以f(a1+2)=-f(a2 022+2),所以a1+2+a2 022+2=0,所以a1+a2 022=-4,
(2)数列{an}是等差数列,a1=1,公差d∈[1,2],且a4+λa10+a16=15,则实数λ的最大值为______.
因为a4+λa10+a16=15,所以a1+3d+λ(a1+9d)+a1+15d=15,
因为d∈[1,2],所以令t=1+9d,t∈[10,19],
当t∈[10,19]时,函数λ=f(t)是减函数,
(1)数列与不等式的综合问题及求解策略①判断数列问题的一些不等关系,可以利用数列的单调性比较大小或借助数列对应的函数的单调性比较大小.②以数列为载体,考查不等式恒成立的问题,此类问题可转化为函数的最值.③考查与数列有关的不等式证明问题,此类问题一般采用放缩法进行证明,有时也可通过构造函数进行证明.
(2)数列与函数交汇问题的主要类型及求解策略①已知函数条件,解决数列问题,此类问题一般利用函数的性质、图象研究数列问题.②已知数列条件,解决函数问题,解决此类问题一般要利用数列的通项公式、前n项和公式、求和方法等对式子化简变形.
跟踪训练2 (1)设{an}是等比数列,函数y=x2-x-2 023的两个零点是a2,a3,则a1a4等于A.2 023 B.1 C.-1 D.-2 023
由题意a2,a3是x2-x-2 023=0的两根.由根与系数的关系得a2a3=-2 023.又a1a4=a2a3,所以a1a4=-2 023.
(2)数列{an}满足a1=1,an+1=2an(n∈N*),Sn为其前n项和.数列{bn}为等差数列,且满足b1=a1,b4=S3.①求数列{an},{bn}的通项公式;
由题意知,{an}是首项为1,公比为2的等比数列,所以an=a1·2n-1=2n-1.所以Sn=2n-1.设等差数列{bn}的公差为d,则b1=a1=1,b4=1+3d=7,所以d=2,bn=1+(n-1)×2=2n-1.
因为lg2a2n+2=lg222n+1=2n+1,
1.(2022·汕头模拟)已知各项均为正数的等比数列{an}的前4项和为15,4a1,2a3,a5成等差数列,则a1等于
设各项均为正数的等比数列{an}的公比为q,q>0,由前4项和为15,4a1,2a3,a5成等差数列,可得a1+a1q+a1q2+a1q3=15,4a3=4a1+a5,即4a1+a1q4=4a1q2,即q2-2=0,
2.(2023·焦作模拟)直播带货是一种直播和电商相结合的销售手段,目前受到了广大消费者的追捧,针对这种现状,某传媒公司决定逐年加大直播带货的资金投入,若该公司今年投入的资金为2 000万元,并在此基础上,以后每年的资金投入均比上一年增长12%,则该公司需经过____年其投入资金开始超过7 000万元(参考数据:lg 1.12≈0.049,lg 2≈0.301,lg 7≈0.845)A.14 B.13 C.12 D.11
设该公司经过n年投入的资金为an万元,则a1=2 000×1.12,由题意可知,数列{an}是以2 000×1.12为首项,以1.12为公比的等比数列,所以an=2 000×1.12n,
因此,该公司需经过12年其投入资金开始超过7 000万元.
所以a6a14=3=a3a17,
所以a3+3a17的最小值为6.
4.(2023·岳阳模拟)在等比数列{an}中,a2=-2a5,1
5.(多选)(2023·贵阳模拟)已知函数f(x)=lg x,则下列四个命题中,是真命题的为A.f(2),f( ),f(5)成等差数列B.f(2),f(4),f(8)成等差数列C.f(2),f(12),f(72)成等比数列D.f(2),f(4),f(16)成等比数列
对于B,f(2)+f(8)=lg 2+lg 8=lg 16,2f(4)=2lg 4=lg 16,故f(2),f(4),f(8)成等差数列,故是真命题;
故f(2),f(12),f(72)不成等比数列,故是假命题;对于D,f(2)f(16)=lg 2×lg 16=4lg22=(2lg 2)2=lg24=f2(4),故f(2),f(4),f(16)成等比数列,故是真命题.
6.数学家也有许多美丽的错误,如法国数学家费马于1640年提出了Fn=22n+1(n=0,1,2,…) 是质数的猜想,直到1732年才被善于计算的大数学家欧拉算出F5=641×6 700 417,不是质数.现设an=lg4(Fn-1)(n=1,2,…),Sn表示数列{an}的前n项和.若32Sn=63an,则n等于A.5 B.6 C.7 D.8
因为Fn=22n+1(n=0,1,2,…),所以an=lg4(Fn-1)=lg4(22n+1-1)=lg422n=2n-1,所以{an}是等比数列,首项为1,公比为2,
所以32(2n-1)=63×2n-1,解得n=6.
7.宋元时期我国数学家朱世杰在《四元玉鉴》中所记载的“垛积术”,其中“落—形”就是每层为“三角形数”的三角锥垛,三角锥垛从上到下最上面是1个球,第二层是3个球,第三层是6个球,第四层是10个球,…,则这个三角锥垛的第十五层球的个数为______.
∵“三角形数”可写为1,1+2,1+2+3,1+2+3+4,1+2+3+4+5,…,
∴“三角形数”的通项公式为
8.已知数列{an}的通项公式为an=ln n,若存在p∈R,使得an≤pn对任意的n∈N*都成立,则p的取值范围为_____________.
数列{an}的通项公式为an=ln n,
故函数f(x)的单调递增区间为(0,e),单调递减区间为(e,+∞),所以函数在x=e处取最大值,
9.记关于x的不等式x2-4nx+3n2≤0(n∈N*)的整数解的个数为an,数列{bn}的前n项和为Tn,满足4Tn=3n+1-an-2.(1)求数列{bn}的通项公式;
由不等式x2-4nx+3n2≤0可得,n≤x≤3n,∴an=2n+1,
当n=1时,b1=T1=1,
(2)设 ,若对任意n∈N*,都有cn
选择条件①:因为an是2与Sn的等差中项,所以2an=2+Sn,所以当n≥2时,2an-1=2+Sn-1,两式相减得,2an-2an-1=an,即an=2an-1(n≥2),在2an=2+Sn中,令n=1,可得a1=2,所以数列{an}是首项为2,公比为2的等比数列,故an=2·2n-1=2n.
选择条件②:由a1=2,Sn+1=a1(Sn+1),知Sn+1=2(Sn+1),当n=1时,可求得a2=4,所以当n≥2时,Sn=2(Sn-1+1),两式相减得,an+1=2an(n≥2),又a1=2,a2=4也满足上式,所以数列{an}是首项为2,公比为2的等比数列,故an=2·2n-1=2n.
选择条件③:在Sn=2n+1-2中,令n=1,则a1=21+1-2=2,当n≥2时,有Sn-1=2n-2,两式相减得,an=2n(n≥2),当n=1时,a1=2满足上式,所以an=2n.
(2)若{an·bn}是以2为首项,4为公差的等差数列,求数列{bn}的前n项和Tn.
因为{an·bn}是以2为首项,4为公差的等差数列,所以an·bn=2+(n-1)·4=4n-2,
11.(2022·北京)设{an}是公差不为0的无穷等差数列,则“{an}为递增数列”是“存在正整数N0,当n>N0时,an>0”的A.充分不必要条件B.必要不充分条件C.充要条件D.既不充分也不必要条件
设无穷等差数列{an}的公差为d(d≠0),则an=a1+(n-1)d=dn+a1-d.若{an}为递增数列,则d>0,则存在正整数N0,使得当n>N0时,an=dn+a1-d>0,所以充分性成立;若存在正整数N0,使得当n>N0时,an=dn+a1-d>0,
所以d>0,{an}为递增数列,必要性成立.故选C.
12.已知a1,a2,a3,a4成等比数列,且a1+a2+a3+a4=ln(a1+a2+a3).若a1>1,则A.a1
因为ln x≤x-1(x>0),所以a1+a2+a3+a4=ln(a1+a2+a3)≤a1+a2+a3-1,所以a4=a1·q3≤-1.由a1>1,得q<0.若q≤-1,则ln(a1+a2+a3)=a1+a2+a3+a4=a1(1+q)·(1+q2)≤0.又a1+a2+a3=a1(1+q+q2)≥a1>1,所以ln(a1+a2+a3)>0,矛盾.因此-1
0,a2-a4=a1q(1-q2)<0,所以a1>a3,a213.函数y=f(x),x∈[1,+∞),数列{an}满足an=f(n),n∈N*,①函数f(x)是增函数;②数列{an}是递增数列.写出一个满足①的函数f(x)的解析式________.写出一个满足②但不满足①的函数f(x)的解析式_______________________.
由题意,可知在x∈[1,+∞)这个区间上是增函数的函数有许多,可写为f(x)=x2.第二个填空是找一个数列是递增数列,而对应的函数不是增函数,
14.设函数f(x)= 数列{an}满足an+1=f(an)(n∈N*),若{an}是等差数列.则a1的取值范围是____________________.
(-∞,-3]∪{-2,1}
画出函数f(x)的图象如图所示,当a1≤-3时,a2=f(a1)=a1-4≤-7,a3=f(a2)=a2-4≤-11,…,数列{an}是首项为a1,公差为-4的等差数列,符合题意,当a1>-3时,因为{an}是等差数列,
则当a1=-2时,an=-2为常数列,当a1=1时,an=1为常数列,此时{an}为等差数列,符合题意,
③若其公差d<0,则∃k0∈N*,使得 >-3且 ≤-3,则等差数列的公差必为-4,
因此 =-4,所以2- =-4,解得 =-3(舍去)或 =2.又当 =2时, =…=-2,这与公差为-4矛盾.综上所述,a1的取值范围是(-∞,-3]∪{-2,1}.
15.若数列{an}对于任意的正整数n满足:an>0且anan+1=n+1,则称数列{an}为“积增数列”.已知“积增数列”{an}中,a1=1,数列{ }的前n项和为Sn,则对于任意的正整数n,有A.Sn≤2n2+3 B.Sn≥n2+4nC.Sn≤n2+4n D.Sn≥n2+3n
16.设{an}是正数组成的数列,其前n项和为Sn,并且对于所有的正整数n,an与2的等差中项等于Sn与2的等比中项.(1)求数列{an}的通项公式;
整理得(an+1+an)(an+1-an-4)=0,由题意知an+1+an≠0,所以an+1-an=4,而a1=2,即数列{an}是a1=2,d=4的等差数列,所以an=a1+(n-1)d=4n-2.
高考数学二轮专题复习——数列中的综合问题课件PPT: 这是一份高考数学二轮专题复习——数列中的综合问题课件PPT,共60页。PPT课件主要包含了则Tn=,所以Tn=,课时精练,fx=x2等内容,欢迎下载使用。
2024年高考数学一轮复习(新高考版) 第6章 必刷大题12 数列的综合问题课件PPT: 这是一份2024年高考数学一轮复习(新高考版) 第6章 必刷大题12 数列的综合问题课件PPT,共24页。PPT课件主要包含了则当n为奇数时,综上Sn=等内容,欢迎下载使用。
新高考数学一轮复习课件 第6章 §6.6 数列中的综合问题: 这是一份新高考数学一轮复习课件 第6章 §6.6 数列中的综合问题

