安徽A10联盟2023届高考最后一卷数学
展开安徽A10联盟2023届高考最后一卷数学: 这是一份安徽A10联盟2023届高考最后一卷数学,文件包含2023安徽A10联盟最后一卷数学答案pdf、数学2023届安徽省皖智A10联盟最后一卷_001pdf等2份试卷配套教学资源,其中试卷共11页, 欢迎下载使用。
2016年安徽省a10联盟高考数学考前最后一卷(理科)(解析版): 这是一份2016年安徽省a10联盟高考数学考前最后一卷(理科)(解析版),共28页。试卷主要包含了选择题,填空题,解答题等内容,欢迎下载使用。
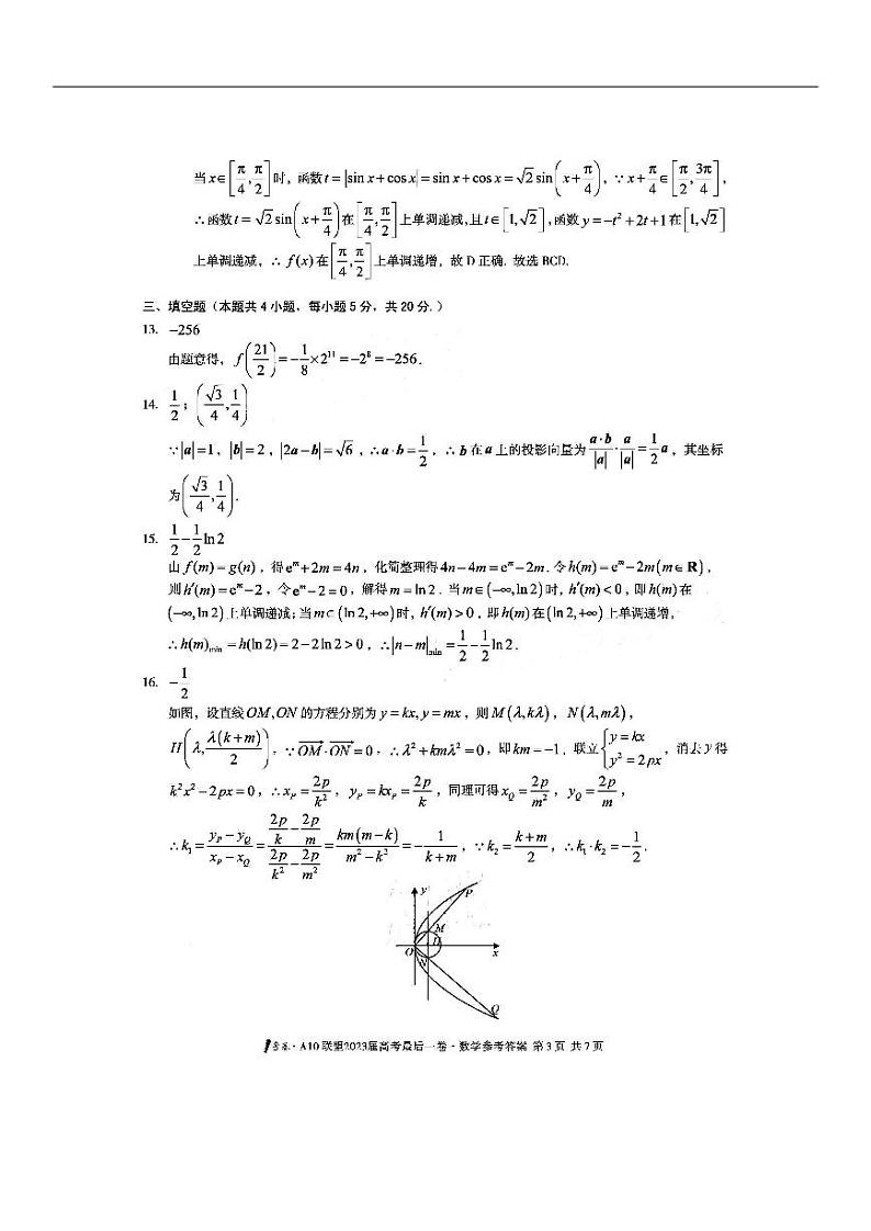
安徽省A10联盟2023届高三最后一卷数学试题及答案: 这是一份安徽省A10联盟2023届高三最后一卷数学试题及答案,共15页。试卷主要包含了选择题,解答题,填空题等内容,欢迎下载使用。

