还剩3页未读,
继续阅读
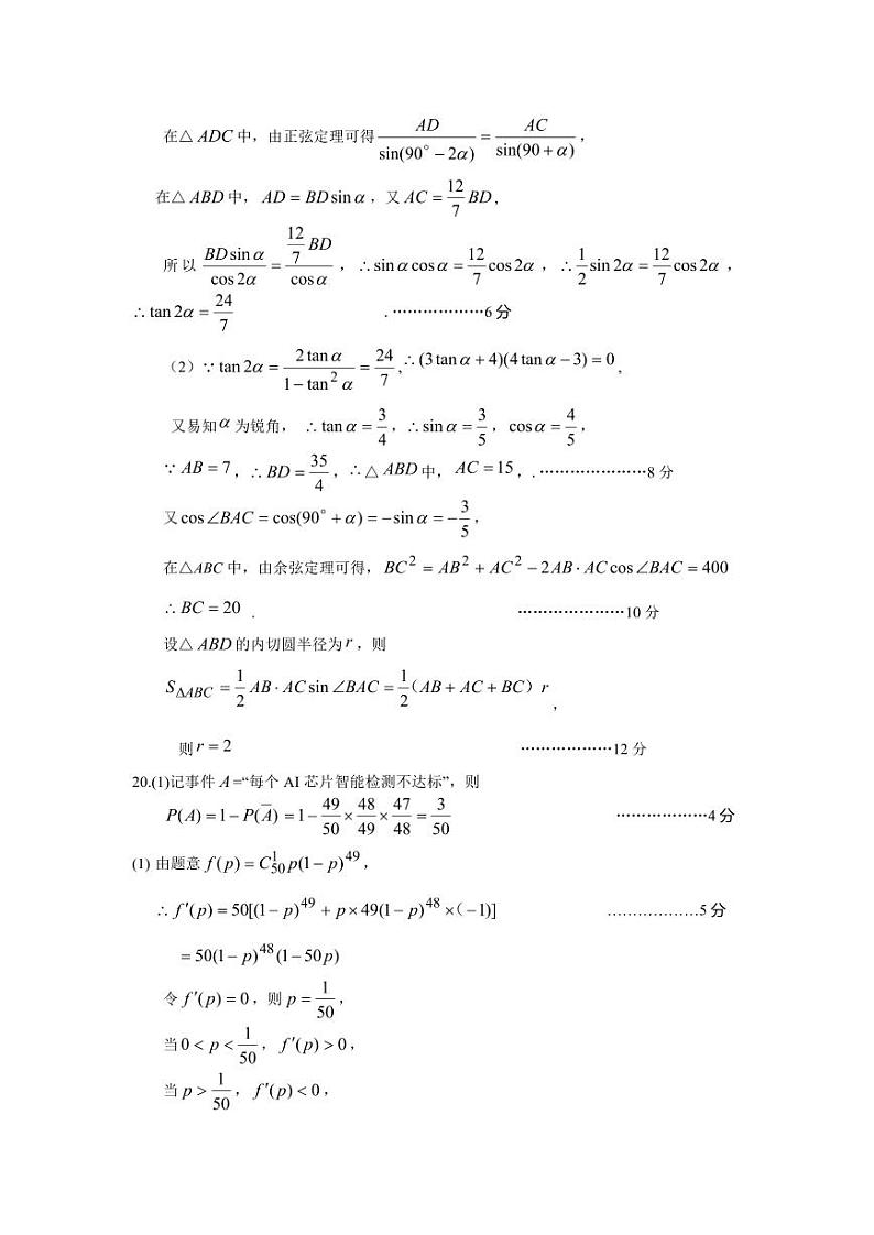
湖北省第八届高三(4月)调研模拟考试 数学答案
展开
这是一份湖北省第八届高三(4月)调研模拟考试 数学答案,共6页。
相关试卷
湖北省第八届高三(4月)调研模拟考试 数学:
这是一份湖北省第八届高三(4月)调研模拟考试 数学,共4页。
2023年第八届湖北省高三四月模拟调研考试数学试卷(附答案):
这是一份2023年第八届湖北省高三四月模拟调研考试数学试卷(附答案),文件包含数学试题答案pdf、2023年第八届湖北省高三四月模拟调研考试试卷pdf等2份试卷配套教学资源,其中试卷共10页, 欢迎下载使用。
2023湖北省高三下学期4月第八届调研模拟考试数学含答案:
这是一份2023湖北省高三下学期4月第八届调研模拟考试数学含答案,共13页。

