初中数学沪科版七年级下册9.2 分式的运算习题课件ppt
展开(2)
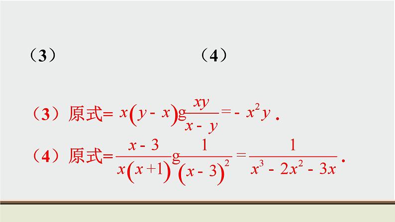
(3)
初中数学沪科版七年级下册第9章 分式9.1 分式及其基本性质习题ppt课件: 这是一份初中数学沪科版七年级下册第9章 分式9.1 分式及其基本性质习题ppt课件,共14页。PPT课件主要包含了x+2,a2x,ab+b2等内容,欢迎下载使用。
初中数学沪科版七年级下册9.2 分式的运算习题课件ppt: 这是一份初中数学沪科版七年级下册9.2 分式的运算习题课件ppt,共18页。
初中数学沪科版七年级下册9.1 分式及其基本性质习题ppt课件: 这是一份初中数学沪科版七年级下册9.1 分式及其基本性质习题ppt课件,共14页。PPT课件主要包含了x+2,a2x,ab+b2等内容,欢迎下载使用。

