资料中包含下列文件,点击文件名可预览资料内容
还剩3页未读,
继续阅读
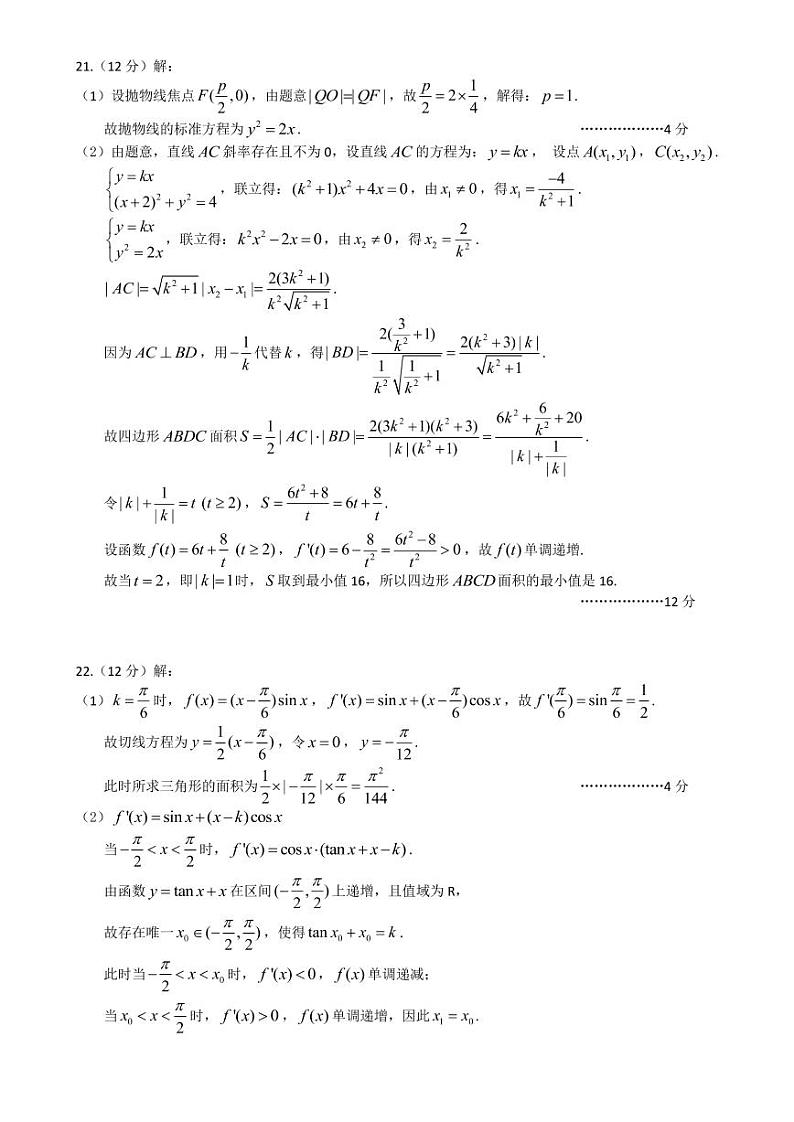
2022届湖北省武汉二中(武汉市)高三下学期4月调研考试数学试卷(PDF版)
展开这是一份2022届湖北省武汉二中(武汉市)高三下学期4月调研考试数学试卷(PDF版),文件包含2022届湖北省武汉二中武汉市四月调考数学答案pdf、2022届湖北省武汉二中武汉市高中毕业生四月调研考试数学试题wordpdf等2份试卷配套教学资源,其中试卷共14页, 欢迎下载使用。
相关试卷
2023届湖北省武汉市高三毕业生4月调研考试数学PDF版含答案:
这是一份2023届湖北省武汉市高三毕业生4月调研考试数学PDF版含答案,文件包含武汉4月调考数学答案pdf、湖北省武汉市2023届高三毕业生4月调研考试数学试卷pdf等2份试卷配套教学资源,其中试卷共18页, 欢迎下载使用。
湖北省武汉市2023届高三毕业生4月调研考试数学试卷:
这是一份湖北省武汉市2023届高三毕业生4月调研考试数学试卷,文件包含2023四月调考答案pdf、2023年武汉四调数学试卷pdf等2份试卷配套教学资源,其中试卷共6页, 欢迎下载使用。
2019届湖北省武汉市武昌区高三五月调研考试数学(文)试卷(PDF版):
这是一份2019届湖北省武汉市武昌区高三五月调研考试数学(文)试卷(PDF版),共5页。

